青少年抑郁症非自杀性自伤的nomogram预测模型的构建与验证。

IF 3 3区 心理学 Q1 PSYCHOLOGY, MULTIDISCIPLINARY
Yuehong Gao, Yun Chen, Jiajia Shi, Xiaoli Mao, Jinhong Wang, Jialu He, Hongmei Huang, Xujuan Xu
{"title":"青少年抑郁症非自杀性自伤的nomogram预测模型的构建与验证。","authors":"Yuehong Gao, Yun Chen, Jiajia Shi, Xiaoli Mao, Jinhong Wang, Jialu He, Hongmei Huang, Xujuan Xu","doi":"10.1186/s40359-025-02789-8","DOIUrl":null,"url":null,"abstract":"<p><strong>Background: </strong>Accurate identification of high-risk individuals for NSSI and timely intervention are critical for mitigating self-harm risk. This study aimed to develop a predictive model for NSSI behaviors in adolescents with depression.</p><p><strong>Methods: </strong>A convenience sample of 596 adolescents with depression was assessed, with 455 assigned to the training and internal validation set and 144 to the external validation set. Nine key predictors were identified through univariate analysis, LASSO regression, and binary logistic regression, including birth mode, history of peer self-harm, parental psychiatric disorders, sleep duration, social life events, self-esteem, psychological resilience, social support, and depression severity. A nomogram-based prediction model was constructed from these factors, with model performance evaluated via ROC curves, AUC values, Hosmer-Lemeshow test, and calibration curves. Clinical applicability was determined using decision curve analysis (DCA).</p><p><strong>Results: </strong>The model exhibited an AUC of 0.880 (P < 0.001), with sensitivity of 0.933 and specificity of 0.765. The Hosmer-Lemeshow test confirmed good model fit (χ<sup>2</sup> = 7.19, P = 0.516). Both internal and external validations demonstrated strong discrimination, calibration, and clinical relevance.</p><p><strong>Conclusion: </strong>The nomogram-based risk model developed in this study effectively predicts NSSI behaviors in adolescents with depression, offering significant scientific and clinical value and warranting further implementation.</p>","PeriodicalId":37867,"journal":{"name":"BMC Psychology","volume":"13 1","pages":"1153"},"PeriodicalIF":3.0000,"publicationDate":"2025-10-15","publicationTypes":"Journal Article","fieldsOfStudy":null,"isOpenAccess":false,"openAccessPdf":"https://www.ncbi.nlm.nih.gov/pmc/articles/PMC12522271/pdf/","citationCount":"0","resultStr":"{\"title\":\"Construction and verification of nomogram prediction model for non-suicidal self-injury in adolescents with depression.\",\"authors\":\"Yuehong Gao, Yun Chen, Jiajia Shi, Xiaoli Mao, Jinhong Wang, Jialu He, Hongmei Huang, Xujuan Xu\",\"doi\":\"10.1186/s40359-025-02789-8\",\"DOIUrl\":null,\"url\":null,\"abstract\":\"<p><strong>Background: </strong>Accurate identification of high-risk individuals for NSSI and timely intervention are critical for mitigating self-harm risk. This study aimed to develop a predictive model for NSSI behaviors in adolescents with depression.</p><p><strong>Methods: </strong>A convenience sample of 596 adolescents with depression was assessed, with 455 assigned to the training and internal validation set and 144 to the external validation set. Nine key predictors were identified through univariate analysis, LASSO regression, and binary logistic regression, including birth mode, history of peer self-harm, parental psychiatric disorders, sleep duration, social life events, self-esteem, psychological resilience, social support, and depression severity. A nomogram-based prediction model was constructed from these factors, with model performance evaluated via ROC curves, AUC values, Hosmer-Lemeshow test, and calibration curves. Clinical applicability was determined using decision curve analysis (DCA).</p><p><strong>Results: </strong>The model exhibited an AUC of 0.880 (P < 0.001), with sensitivity of 0.933 and specificity of 0.765. The Hosmer-Lemeshow test confirmed good model fit (χ<sup>2</sup> = 7.19, P = 0.516). Both internal and external validations demonstrated strong discrimination, calibration, and clinical relevance.</p><p><strong>Conclusion: </strong>The nomogram-based risk model developed in this study effectively predicts NSSI behaviors in adolescents with depression, offering significant scientific and clinical value and warranting further implementation.</p>\",\"PeriodicalId\":37867,\"journal\":{\"name\":\"BMC Psychology\",\"volume\":\"13 1\",\"pages\":\"1153\"},\"PeriodicalIF\":3.0000,\"publicationDate\":\"2025-10-15\",\"publicationTypes\":\"Journal Article\",\"fieldsOfStudy\":null,\"isOpenAccess\":false,\"openAccessPdf\":\"https://www.ncbi.nlm.nih.gov/pmc/articles/PMC12522271/pdf/\",\"citationCount\":\"0\",\"resultStr\":null,\"platform\":\"Semanticscholar\",\"paperid\":null,\"PeriodicalName\":\"BMC Psychology\",\"FirstCategoryId\":\"102\",\"ListUrlMain\":\"https://doi.org/10.1186/s40359-025-02789-8\",\"RegionNum\":3,\"RegionCategory\":\"心理学\",\"ArticlePicture\":[],\"TitleCN\":null,\"AbstractTextCN\":null,\"PMCID\":null,\"EPubDate\":\"\",\"PubModel\":\"\",\"JCR\":\"Q1\",\"JCRName\":\"PSYCHOLOGY, MULTIDISCIPLINARY\",\"Score\":null,\"Total\":0}","platform":"Semanticscholar","paperid":null,"PeriodicalName":"BMC Psychology","FirstCategoryId":"102","ListUrlMain":"https://doi.org/10.1186/s40359-025-02789-8","RegionNum":3,"RegionCategory":"心理学","ArticlePicture":[],"TitleCN":null,"AbstractTextCN":null,"PMCID":null,"EPubDate":"","PubModel":"","JCR":"Q1","JCRName":"PSYCHOLOGY, MULTIDISCIPLINARY","Score":null,"Total":0}
引用次数: 0

摘要

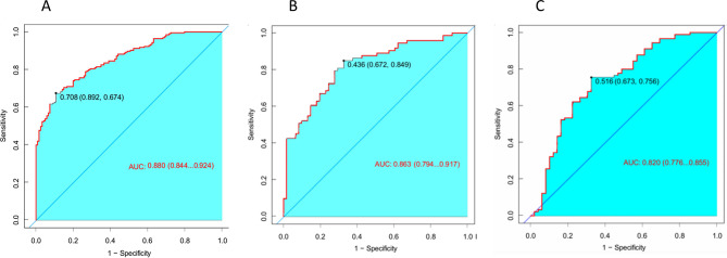
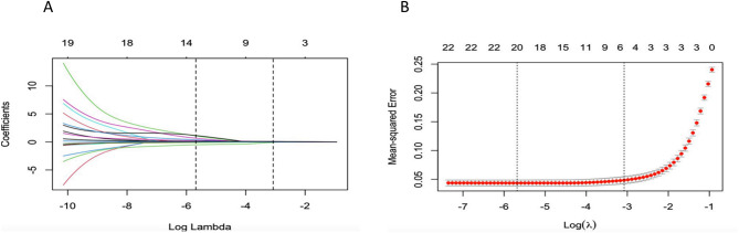
背景:准确识别自伤高危个体并及时干预对降低自伤风险至关重要。本研究旨在建立抑郁症青少年自伤行为的预测模型。方法:选取方便样本596例青少年抑郁症患者进行评估,其中455例为训练和内部验证组,144例为外部验证组。通过单变量分析、LASSO回归和二元logistic回归,确定了9个关键预测因子,包括出生方式、同伴自残史、父母精神障碍、睡眠时间、社交生活事件、自尊、心理弹性、社会支持和抑郁严重程度。以这些因素为基础构建基于模态图的预测模型,并通过ROC曲线、AUC值、Hosmer-Lemeshow检验和校准曲线评价模型的性能。采用决策曲线分析(DCA)确定临床适用性。结果:模型的AUC为0.880 (P 2 = 7.19, P = 0.516)。内部和外部验证都显示出强烈的区分、校准和临床相关性。结论:本研究建立的基于nomogram风险模型能够有效预测青少年抑郁症自伤行为,具有重要的科学和临床价值,值得进一步推广。
本文章由计算机程序翻译,如有差异,请以英文原文为准。

Construction and verification of nomogram prediction model for non-suicidal self-injury in adolescents with depression.

Construction and verification of nomogram prediction model for non-suicidal self-injury in adolescents with depression.

Construction and verification of nomogram prediction model for non-suicidal self-injury in adolescents with depression.

Construction and verification of nomogram prediction model for non-suicidal self-injury in adolescents with depression.

Background: Accurate identification of high-risk individuals for NSSI and timely intervention are critical for mitigating self-harm risk. This study aimed to develop a predictive model for NSSI behaviors in adolescents with depression.

Methods: A convenience sample of 596 adolescents with depression was assessed, with 455 assigned to the training and internal validation set and 144 to the external validation set. Nine key predictors were identified through univariate analysis, LASSO regression, and binary logistic regression, including birth mode, history of peer self-harm, parental psychiatric disorders, sleep duration, social life events, self-esteem, psychological resilience, social support, and depression severity. A nomogram-based prediction model was constructed from these factors, with model performance evaluated via ROC curves, AUC values, Hosmer-Lemeshow test, and calibration curves. Clinical applicability was determined using decision curve analysis (DCA).

Results: The model exhibited an AUC of 0.880 (P < 0.001), with sensitivity of 0.933 and specificity of 0.765. The Hosmer-Lemeshow test confirmed good model fit (χ2 = 7.19, P = 0.516). Both internal and external validations demonstrated strong discrimination, calibration, and clinical relevance.

Conclusion: The nomogram-based risk model developed in this study effectively predicts NSSI behaviors in adolescents with depression, offering significant scientific and clinical value and warranting further implementation.

求助全文
通过发布文献求助,成功后即可免费获取论文全文。 去求助
来源期刊
BMC Psychology
BMC Psychology Psychology-Psychology (all)
CiteScore
3.90
自引率
2.80%
发文量
265
审稿时长
24 weeks
期刊介绍: BMC Psychology is an open access, peer-reviewed journal that considers manuscripts on all aspects of psychology, human behavior and the mind, including developmental, clinical, cognitive, experimental, health and social psychology, as well as personality and individual differences. The journal welcomes quantitative and qualitative research methods, including animal studies.
×
引用
GB/T 7714-2015
复制
MLA
复制
APA
复制
导出至
BibTeX EndNote RefMan NoteFirst NoteExpress
×
提示
您的信息不完整,为了账户安全,请先补充。
现在去补充
×
提示
您因"违规操作"
具体请查看互助需知
我知道了
×
提示
确定
请完成安全验证×
copy
已复制链接
快去分享给好友吧!
我知道了
右上角分享
点击右上角分享
0
联系我们:info@booksci.cn Book学术提供免费学术资源搜索服务,方便国内外学者检索中英文文献。致力于提供最便捷和优质的服务体验。 Copyright © 2023 布克学术 All rights reserved.
京ICP备2023020795号-1
ghs 京公网安备 11010802042870号
Book学术文献互助
Book学术文献互助群
群 号:604180095
Book学术官方微信