相同耐药突变对B亚型和CRF01_AE HIV-1株逆转录酶抑制剂的体外敏感性比较

IF 3.9 2区 综合性期刊 Q1 MULTIDISCIPLINARY SCIENCES
Hanping Li, Kuiling Shen, Jingwan Han, Yongjian Liu, Lixuan Zhang, Xiling Liu, Lei Jia, Bohan Zhang, Xiaolin Wang, Jingyun Li, Erhei Dai, Huimin Yan, Lin Li
{"title":"相同耐药突变对B亚型和CRF01_AE HIV-1株逆转录酶抑制剂的体外敏感性比较","authors":"Hanping Li, Kuiling Shen, Jingwan Han, Yongjian Liu, Lixuan Zhang, Xiling Liu, Lei Jia, Bohan Zhang, Xiaolin Wang, Jingyun Li, Erhei Dai, Huimin Yan, Lin Li","doi":"10.1038/s41598-025-04144-8","DOIUrl":null,"url":null,"abstract":"<p><p>As the recommended drugs for first-line regimens in HIV-1 infections, reverse-transcriptase inhibitors (RTIs) are widely used around the world. To escape from the selective pressure imposed by RTIs, HIV-1 constantly mutates to adapt to its environment. However, it is unclear how resistance mutations emerging in response to RTIs affect drug susceptibility in strains of different subtypes. To explored this phenomenon, typical RTI-induced drug resistance mutations (DRMs) were selected to test their effects on the susceptibility of different subtype strains. The same RTI-induced DRMs were introduced into infectious clones of subtypes B and CRF01_AE, and phenotypic resistance tests were performed to compare the differences in susceptibilities to various RTIs. The experimental results revealed that mutations such as M41L and V106M were more likely to occur in the CRF01_AE subtype. However, phenotypic analysis of reconstructed clones containing these resistance mutations revealed that CRF01_AE exhibited significantly lower sensitivity to RTIs than did subtype B. For azvudine (FNC), a novel nucleoside reverse transcriptase inhibitor (NRTI), the resistance level of CRF01_AE was significantly lower than that of subtype B. In conclusion, the same mutation affecting resistance to RTIs can have significantly different impacts depending on the subtype of the HIV-1 strain. This finding serves as a reference for guiding rational drug use in the future. Moreover, relying solely on phenotypic experimental results from subtype B to evaluate resistance levels of unclear mutations in other subtypes may be inappropriate and should be approached with caution.</p>","PeriodicalId":21811,"journal":{"name":"Scientific Reports","volume":"15 1","pages":"35936"},"PeriodicalIF":3.9000,"publicationDate":"2025-10-15","publicationTypes":"Journal Article","fieldsOfStudy":null,"isOpenAccess":false,"openAccessPdf":"https://www.ncbi.nlm.nih.gov/pmc/articles/PMC12528743/pdf/","citationCount":"0","resultStr":"{\"title\":\"In vitro comparison of the susceptibilities of the same drug resistance mutations to reverse-transcriptase inhibitors of subtype B and CRF01_AE HIV-1 strains.\",\"authors\":\"Hanping Li, Kuiling Shen, Jingwan Han, Yongjian Liu, Lixuan Zhang, Xiling Liu, Lei Jia, Bohan Zhang, Xiaolin Wang, Jingyun Li, Erhei Dai, Huimin Yan, Lin Li\",\"doi\":\"10.1038/s41598-025-04144-8\",\"DOIUrl\":null,\"url\":null,\"abstract\":\"<p><p>As the recommended drugs for first-line regimens in HIV-1 infections, reverse-transcriptase inhibitors (RTIs) are widely used around the world. To escape from the selective pressure imposed by RTIs, HIV-1 constantly mutates to adapt to its environment. However, it is unclear how resistance mutations emerging in response to RTIs affect drug susceptibility in strains of different subtypes. To explored this phenomenon, typical RTI-induced drug resistance mutations (DRMs) were selected to test their effects on the susceptibility of different subtype strains. The same RTI-induced DRMs were introduced into infectious clones of subtypes B and CRF01_AE, and phenotypic resistance tests were performed to compare the differences in susceptibilities to various RTIs. The experimental results revealed that mutations such as M41L and V106M were more likely to occur in the CRF01_AE subtype. However, phenotypic analysis of reconstructed clones containing these resistance mutations revealed that CRF01_AE exhibited significantly lower sensitivity to RTIs than did subtype B. For azvudine (FNC), a novel nucleoside reverse transcriptase inhibitor (NRTI), the resistance level of CRF01_AE was significantly lower than that of subtype B. In conclusion, the same mutation affecting resistance to RTIs can have significantly different impacts depending on the subtype of the HIV-1 strain. This finding serves as a reference for guiding rational drug use in the future. Moreover, relying solely on phenotypic experimental results from subtype B to evaluate resistance levels of unclear mutations in other subtypes may be inappropriate and should be approached with caution.</p>\",\"PeriodicalId\":21811,\"journal\":{\"name\":\"Scientific Reports\",\"volume\":\"15 1\",\"pages\":\"35936\"},\"PeriodicalIF\":3.9000,\"publicationDate\":\"2025-10-15\",\"publicationTypes\":\"Journal Article\",\"fieldsOfStudy\":null,\"isOpenAccess\":false,\"openAccessPdf\":\"https://www.ncbi.nlm.nih.gov/pmc/articles/PMC12528743/pdf/\",\"citationCount\":\"0\",\"resultStr\":null,\"platform\":\"Semanticscholar\",\"paperid\":null,\"PeriodicalName\":\"Scientific Reports\",\"FirstCategoryId\":\"103\",\"ListUrlMain\":\"https://doi.org/10.1038/s41598-025-04144-8\",\"RegionNum\":2,\"RegionCategory\":\"综合性期刊\",\"ArticlePicture\":[],\"TitleCN\":null,\"AbstractTextCN\":null,\"PMCID\":null,\"EPubDate\":\"\",\"PubModel\":\"\",\"JCR\":\"Q1\",\"JCRName\":\"MULTIDISCIPLINARY SCIENCES\",\"Score\":null,\"Total\":0}","platform":"Semanticscholar","paperid":null,"PeriodicalName":"Scientific Reports","FirstCategoryId":"103","ListUrlMain":"https://doi.org/10.1038/s41598-025-04144-8","RegionNum":2,"RegionCategory":"综合性期刊","ArticlePicture":[],"TitleCN":null,"AbstractTextCN":null,"PMCID":null,"EPubDate":"","PubModel":"","JCR":"Q1","JCRName":"MULTIDISCIPLINARY SCIENCES","Score":null,"Total":0}
引用次数: 0

摘要

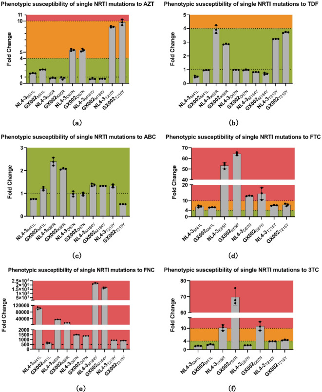
作为HIV-1感染一线治疗方案的推荐药物,逆转录酶抑制剂(RTIs)在世界范围内被广泛使用。为了逃避rti施加的选择压力,HIV-1不断变异以适应其环境。然而,目前尚不清楚针对RTIs出现的耐药突变如何影响不同亚型菌株的药物敏感性。为了探索这一现象,我们选择了典型的rti诱导的耐药突变(DRMs),测试它们对不同亚型菌株的敏感性影响。将相同的rti诱导DRMs引入B和CRF01_AE亚型的感染克隆,进行表型抗性试验,比较不同rti的敏感性差异。实验结果显示,M41L和V106M等突变更容易发生在CRF01_AE亚型中。然而,对含有这些耐药突变的重建克隆进行表型分析发现,CRF01_AE对RTIs的敏感性明显低于b亚型。对于新型核苷类逆转录酶抑制剂(NRTI)阿兹夫定(FNC), CRF01_AE的耐药水平明显低于b亚型。由此可见,影响RTIs耐药的同一突变对不同亚型HIV-1毒株的影响存在显著差异。这一发现可为指导今后合理用药提供参考。此外,仅依靠B亚型的表型实验结果来评估其他亚型的不明确突变的耐药水平可能是不合适的,应谨慎处理。
本文章由计算机程序翻译,如有差异,请以英文原文为准。

In vitro comparison of the susceptibilities of the same drug resistance mutations to reverse-transcriptase inhibitors of subtype B and CRF01_AE HIV-1 strains.

In vitro comparison of the susceptibilities of the same drug resistance mutations to reverse-transcriptase inhibitors of subtype B and CRF01_AE HIV-1 strains.

In vitro comparison of the susceptibilities of the same drug resistance mutations to reverse-transcriptase inhibitors of subtype B and CRF01_AE HIV-1 strains.

As the recommended drugs for first-line regimens in HIV-1 infections, reverse-transcriptase inhibitors (RTIs) are widely used around the world. To escape from the selective pressure imposed by RTIs, HIV-1 constantly mutates to adapt to its environment. However, it is unclear how resistance mutations emerging in response to RTIs affect drug susceptibility in strains of different subtypes. To explored this phenomenon, typical RTI-induced drug resistance mutations (DRMs) were selected to test their effects on the susceptibility of different subtype strains. The same RTI-induced DRMs were introduced into infectious clones of subtypes B and CRF01_AE, and phenotypic resistance tests were performed to compare the differences in susceptibilities to various RTIs. The experimental results revealed that mutations such as M41L and V106M were more likely to occur in the CRF01_AE subtype. However, phenotypic analysis of reconstructed clones containing these resistance mutations revealed that CRF01_AE exhibited significantly lower sensitivity to RTIs than did subtype B. For azvudine (FNC), a novel nucleoside reverse transcriptase inhibitor (NRTI), the resistance level of CRF01_AE was significantly lower than that of subtype B. In conclusion, the same mutation affecting resistance to RTIs can have significantly different impacts depending on the subtype of the HIV-1 strain. This finding serves as a reference for guiding rational drug use in the future. Moreover, relying solely on phenotypic experimental results from subtype B to evaluate resistance levels of unclear mutations in other subtypes may be inappropriate and should be approached with caution.

求助全文
通过发布文献求助,成功后即可免费获取论文全文。 去求助
来源期刊
Scientific Reports
Scientific Reports Natural Science Disciplines-
CiteScore
7.50
自引率
4.30%
发文量
19567
审稿时长
3.9 months
期刊介绍: We publish original research from all areas of the natural sciences, psychology, medicine and engineering. You can learn more about what we publish by browsing our specific scientific subject areas below or explore Scientific Reports by browsing all articles and collections. Scientific Reports has a 2-year impact factor: 4.380 (2021), and is the 6th most-cited journal in the world, with more than 540,000 citations in 2020 (Clarivate Analytics, 2021). •Engineering Engineering covers all aspects of engineering, technology, and applied science. It plays a crucial role in the development of technologies to address some of the world''s biggest challenges, helping to save lives and improve the way we live. •Physical sciences Physical sciences are those academic disciplines that aim to uncover the underlying laws of nature — often written in the language of mathematics. It is a collective term for areas of study including astronomy, chemistry, materials science and physics. •Earth and environmental sciences Earth and environmental sciences cover all aspects of Earth and planetary science and broadly encompass solid Earth processes, surface and atmospheric dynamics, Earth system history, climate and climate change, marine and freshwater systems, and ecology. It also considers the interactions between humans and these systems. •Biological sciences Biological sciences encompass all the divisions of natural sciences examining various aspects of vital processes. The concept includes anatomy, physiology, cell biology, biochemistry and biophysics, and covers all organisms from microorganisms, animals to plants. •Health sciences The health sciences study health, disease and healthcare. This field of study aims to develop knowledge, interventions and technology for use in healthcare to improve the treatment of patients.
×
引用
GB/T 7714-2015
复制
MLA
复制
APA
复制
导出至
BibTeX EndNote RefMan NoteFirst NoteExpress
×
提示
您的信息不完整,为了账户安全,请先补充。
现在去补充
×
提示
您因"违规操作"
具体请查看互助需知
我知道了
×
提示
确定
请完成安全验证×
copy
已复制链接
快去分享给好友吧!
我知道了
右上角分享
点击右上角分享
0
联系我们:info@booksci.cn Book学术提供免费学术资源搜索服务,方便国内外学者检索中英文文献。致力于提供最便捷和优质的服务体验。 Copyright © 2023 布克学术 All rights reserved.
京ICP备2023020795号-1
ghs 京公网安备 11010802042870号
Book学术文献互助
Book学术文献互助群
群 号:604180095
Book学术官方微信