洗后时间和构建方向对增材制造永久性牙用树脂材料力学性能和生物相容性的影响。

IF 4.9 3区 工程技术 Q1 POLYMER SCIENCE
Polymers Pub Date : 2025-10-05 DOI:10.3390/polym17192694
Pei-Wen Peng, Jia-Syuan Chou, Le-Xin Chen, Po-En Chuang, Hidekazu Takahashi, Min-Chieh Hsieh, Wei-Fang Lee
{"title":"洗后时间和构建方向对增材制造永久性牙用树脂材料力学性能和生物相容性的影响。","authors":"Pei-Wen Peng, Jia-Syuan Chou, Le-Xin Chen, Po-En Chuang, Hidekazu Takahashi, Min-Chieh Hsieh, Wei-Fang Lee","doi":"10.3390/polym17192694","DOIUrl":null,"url":null,"abstract":"<p><strong>Background: </strong>Digital light processing (DLP) is widely used in permanent dental restorations for its precision and efficiency, yet the effects of build orientation and post-washing time on resin properties remain unclear. This study aims to investigate the factors that impact the performance and biocompatibility of DLP-printed dental resins.</p><p><strong>Methods: </strong>Specimens were additively manufactured using permanent dental resin at 0°, 15°, and 90° orientations and post-washed for 90, 120, or 150 s. Evaluated properties included dimensional accuracy, hardness, flexural strength and modulus, degree of conversion, water sorption/solubility, and cytotoxicity.</p><p><strong>Results: </strong>Build orientation and post-washing time significantly affected dimensional accuracy, with thickness showing the least deviation. Flexural strength (<i>p</i> < 0.001) and modulus (<i>p</i> < 0.01) were highest at the 0° orientation. Post-washing for 90 s led to the greatest water absorption, while solubility remained unaffected. Cell viability increased with longer post-washing times, peaking at 150 s, with significant effects observed on days 5 and 7 (<i>p</i> < 0.05).</p><p><strong>Conclusions: </strong>Build orientation significantly affected dimensional accuracy and flexural strength, while post-washing time had minimal impact on physical properties. Notably, extended post-washing improved cell viability and reduced cytotoxicity, indicating its potential to enhance the clinical biocompatibility of DLP-fabricated dental resin.</p>","PeriodicalId":20416,"journal":{"name":"Polymers","volume":"17 19","pages":""},"PeriodicalIF":4.9000,"publicationDate":"2025-10-05","publicationTypes":"Journal Article","fieldsOfStudy":null,"isOpenAccess":false,"openAccessPdf":"https://www.ncbi.nlm.nih.gov/pmc/articles/PMC12526595/pdf/","citationCount":"0","resultStr":"{\"title\":\"Influence of Post-Washing Time and Build Orientation on Mechanical Properties and Biocompatibility of Additively Manufactured Permanent Dental Resin Material.\",\"authors\":\"Pei-Wen Peng, Jia-Syuan Chou, Le-Xin Chen, Po-En Chuang, Hidekazu Takahashi, Min-Chieh Hsieh, Wei-Fang Lee\",\"doi\":\"10.3390/polym17192694\",\"DOIUrl\":null,\"url\":null,\"abstract\":\"<p><strong>Background: </strong>Digital light processing (DLP) is widely used in permanent dental restorations for its precision and efficiency, yet the effects of build orientation and post-washing time on resin properties remain unclear. This study aims to investigate the factors that impact the performance and biocompatibility of DLP-printed dental resins.</p><p><strong>Methods: </strong>Specimens were additively manufactured using permanent dental resin at 0°, 15°, and 90° orientations and post-washed for 90, 120, or 150 s. Evaluated properties included dimensional accuracy, hardness, flexural strength and modulus, degree of conversion, water sorption/solubility, and cytotoxicity.</p><p><strong>Results: </strong>Build orientation and post-washing time significantly affected dimensional accuracy, with thickness showing the least deviation. Flexural strength (<i>p</i> < 0.001) and modulus (<i>p</i> < 0.01) were highest at the 0° orientation. Post-washing for 90 s led to the greatest water absorption, while solubility remained unaffected. Cell viability increased with longer post-washing times, peaking at 150 s, with significant effects observed on days 5 and 7 (<i>p</i> < 0.05).</p><p><strong>Conclusions: </strong>Build orientation significantly affected dimensional accuracy and flexural strength, while post-washing time had minimal impact on physical properties. Notably, extended post-washing improved cell viability and reduced cytotoxicity, indicating its potential to enhance the clinical biocompatibility of DLP-fabricated dental resin.</p>\",\"PeriodicalId\":20416,\"journal\":{\"name\":\"Polymers\",\"volume\":\"17 19\",\"pages\":\"\"},\"PeriodicalIF\":4.9000,\"publicationDate\":\"2025-10-05\",\"publicationTypes\":\"Journal Article\",\"fieldsOfStudy\":null,\"isOpenAccess\":false,\"openAccessPdf\":\"https://www.ncbi.nlm.nih.gov/pmc/articles/PMC12526595/pdf/\",\"citationCount\":\"0\",\"resultStr\":null,\"platform\":\"Semanticscholar\",\"paperid\":null,\"PeriodicalName\":\"Polymers\",\"FirstCategoryId\":\"5\",\"ListUrlMain\":\"https://doi.org/10.3390/polym17192694\",\"RegionNum\":3,\"RegionCategory\":\"工程技术\",\"ArticlePicture\":[],\"TitleCN\":null,\"AbstractTextCN\":null,\"PMCID\":null,\"EPubDate\":\"\",\"PubModel\":\"\",\"JCR\":\"Q1\",\"JCRName\":\"POLYMER SCIENCE\",\"Score\":null,\"Total\":0}","platform":"Semanticscholar","paperid":null,"PeriodicalName":"Polymers","FirstCategoryId":"5","ListUrlMain":"https://doi.org/10.3390/polym17192694","RegionNum":3,"RegionCategory":"工程技术","ArticlePicture":[],"TitleCN":null,"AbstractTextCN":null,"PMCID":null,"EPubDate":"","PubModel":"","JCR":"Q1","JCRName":"POLYMER SCIENCE","Score":null,"Total":0}
引用次数: 0

摘要

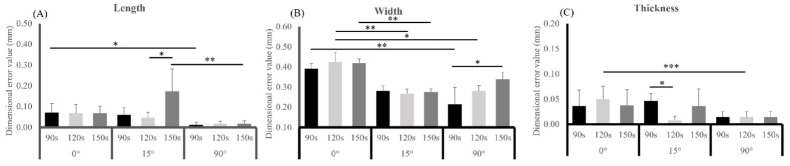
背景:数字光处理(Digital light processing, DLP)因其精度高、效率高而被广泛应用于恒牙修复中,但构建方位和洗后时间对树脂性能的影响尚不清楚。本研究旨在探讨影响dlp打印牙用树脂性能和生物相容性的因素。方法:用恒牙树脂在0°、15°和90°方向上加料制作标本,洗后90、120或150 s。评估的性能包括尺寸精度、硬度、弯曲强度和模量、转化程度、吸水/溶解度和细胞毒性。结果:造模方位和洗后时间对尺寸精度有显著影响,厚度偏差最小。弯曲强度(p < 0.001)和模量(p < 0.01)在0°方向最高。水洗后90 s吸水率最大,但溶解度未受影响。细胞活力随着洗涤时间的延长而增加,在150 s时达到峰值,在第5天和第7天效果显著(p < 0.05)。结论:构建方向显著影响尺寸精度和抗弯强度,而洗涤后时间对物理性能影响最小。值得注意的是,延长洗涤后的时间可以提高细胞活力,降低细胞毒性,这表明它有可能增强dlp制造的牙科树脂的临床生物相容性。
本文章由计算机程序翻译,如有差异,请以英文原文为准。

Influence of Post-Washing Time and Build Orientation on Mechanical Properties and Biocompatibility of Additively Manufactured Permanent Dental Resin Material.

Influence of Post-Washing Time and Build Orientation on Mechanical Properties and Biocompatibility of Additively Manufactured Permanent Dental Resin Material.

Influence of Post-Washing Time and Build Orientation on Mechanical Properties and Biocompatibility of Additively Manufactured Permanent Dental Resin Material.

Influence of Post-Washing Time and Build Orientation on Mechanical Properties and Biocompatibility of Additively Manufactured Permanent Dental Resin Material.

Background: Digital light processing (DLP) is widely used in permanent dental restorations for its precision and efficiency, yet the effects of build orientation and post-washing time on resin properties remain unclear. This study aims to investigate the factors that impact the performance and biocompatibility of DLP-printed dental resins.

Methods: Specimens were additively manufactured using permanent dental resin at 0°, 15°, and 90° orientations and post-washed for 90, 120, or 150 s. Evaluated properties included dimensional accuracy, hardness, flexural strength and modulus, degree of conversion, water sorption/solubility, and cytotoxicity.

Results: Build orientation and post-washing time significantly affected dimensional accuracy, with thickness showing the least deviation. Flexural strength (p < 0.001) and modulus (p < 0.01) were highest at the 0° orientation. Post-washing for 90 s led to the greatest water absorption, while solubility remained unaffected. Cell viability increased with longer post-washing times, peaking at 150 s, with significant effects observed on days 5 and 7 (p < 0.05).

Conclusions: Build orientation significantly affected dimensional accuracy and flexural strength, while post-washing time had minimal impact on physical properties. Notably, extended post-washing improved cell viability and reduced cytotoxicity, indicating its potential to enhance the clinical biocompatibility of DLP-fabricated dental resin.

求助全文
通过发布文献求助,成功后即可免费获取论文全文。 去求助
来源期刊
Polymers
Polymers POLYMER SCIENCE-
CiteScore
8.00
自引率
16.00%
发文量
4697
审稿时长
1.3 months
期刊介绍: Polymers (ISSN 2073-4360) is an international, open access journal of polymer science. It publishes research papers, short communications and review papers. Our aim is to encourage scientists to publish their experimental and theoretical results in as much detail as possible. Therefore, there is no restriction on the length of the papers. The full experimental details must be provided so that the results can be reproduced. Polymers provides an interdisciplinary forum for publishing papers which advance the fields of (i) polymerization methods, (ii) theory, simulation, and modeling, (iii) understanding of new physical phenomena, (iv) advances in characterization techniques, and (v) harnessing of self-assembly and biological strategies for producing complex multifunctional structures.
×
引用
GB/T 7714-2015
复制
MLA
复制
APA
复制
导出至
BibTeX EndNote RefMan NoteFirst NoteExpress
×
提示
您的信息不完整,为了账户安全,请先补充。
现在去补充
×
提示
您因"违规操作"
具体请查看互助需知
我知道了
×
提示
确定
请完成安全验证×
copy
已复制链接
快去分享给好友吧!
我知道了
右上角分享
点击右上角分享
0
联系我们:info@booksci.cn Book学术提供免费学术资源搜索服务,方便国内外学者检索中英文文献。致力于提供最便捷和优质的服务体验。 Copyright © 2023 布克学术 All rights reserved.
京ICP备2023020795号-1
ghs 京公网安备 11010802042870号
Book学术文献互助
Book学术文献互助群
群 号:604180095
Book学术官方微信