基于田口法和人工神经网络的3d打印防弹衣性能评估

IF 4.9 3区 工程技术 Q1 POLYMER SCIENCE
Polymers Pub Date : 2025-10-07 DOI:10.3390/polym17192699
Umur Cicek
{"title":"基于田口法和人工神经网络的3d打印防弹衣性能评估","authors":"Umur Cicek","doi":"10.3390/polym17192699","DOIUrl":null,"url":null,"abstract":"<p><p>Additive manufacturing has promising potential for the development of 3D-printed protective structures such as stab-resistant body armor. However, no research to date has examined the impact of 3D printing parameters on the protective performance of such 3D-printed structures manufactured using fused filament fabrication technology. This study, therefore, investigates the effects of five key printing parameters: layer thickness, print speed, print temperature, infill density (Id), and layer width, on the mechanical and protective performance of 3D-printed polycarbonate (PC) armor. A Taguchi L<sub>27</sub> matrix was employed to systematically analyze these parameters, with toughness, stab penetration depth, and armor panel weight as the primary responses. ANOVA results, along with the Taguchi approach, demonstrated that Id was the most influential factor across all print parameters. This is because a higher Id led to denser structures, reduced voids and porosities, and enhanced energy absorption, significantly increasing toughness while reducing penetration depth. Morphological analysis supported the statistical findings regarding the role of Id on the performance of such structures. With optimized printing parameters, no penetration to the armor panels was recorded, outperforming the UK body armor standard of a maximum permitted knife penetration depth of 8 mm. Moreover, an artificial neural network (ANN) utilizing the 5-14-12-3 topology was created to predict the toughness, stab penetration depth, and armor panel weight of 3D-printed armors. The ANN model demonstrated better prediction performance for stab penetration depth compared to the Taguchi method, confirming the successful application of such an approach. These findings provide a critical foundation for the development of high-performance 3D-printed protective structures.</p>","PeriodicalId":20416,"journal":{"name":"Polymers","volume":"17 19","pages":""},"PeriodicalIF":4.9000,"publicationDate":"2025-10-07","publicationTypes":"Journal Article","fieldsOfStudy":null,"isOpenAccess":false,"openAccessPdf":"https://www.ncbi.nlm.nih.gov/pmc/articles/PMC12526826/pdf/","citationCount":"0","resultStr":"{\"title\":\"Evaluating the Performance of 3D-Printed Stab-Resistant Body Armor Using the Taguchi Method and Artificial Neural Networks.\",\"authors\":\"Umur Cicek\",\"doi\":\"10.3390/polym17192699\",\"DOIUrl\":null,\"url\":null,\"abstract\":\"<p><p>Additive manufacturing has promising potential for the development of 3D-printed protective structures such as stab-resistant body armor. However, no research to date has examined the impact of 3D printing parameters on the protective performance of such 3D-printed structures manufactured using fused filament fabrication technology. This study, therefore, investigates the effects of five key printing parameters: layer thickness, print speed, print temperature, infill density (Id), and layer width, on the mechanical and protective performance of 3D-printed polycarbonate (PC) armor. A Taguchi L<sub>27</sub> matrix was employed to systematically analyze these parameters, with toughness, stab penetration depth, and armor panel weight as the primary responses. ANOVA results, along with the Taguchi approach, demonstrated that Id was the most influential factor across all print parameters. This is because a higher Id led to denser structures, reduced voids and porosities, and enhanced energy absorption, significantly increasing toughness while reducing penetration depth. Morphological analysis supported the statistical findings regarding the role of Id on the performance of such structures. With optimized printing parameters, no penetration to the armor panels was recorded, outperforming the UK body armor standard of a maximum permitted knife penetration depth of 8 mm. Moreover, an artificial neural network (ANN) utilizing the 5-14-12-3 topology was created to predict the toughness, stab penetration depth, and armor panel weight of 3D-printed armors. The ANN model demonstrated better prediction performance for stab penetration depth compared to the Taguchi method, confirming the successful application of such an approach. These findings provide a critical foundation for the development of high-performance 3D-printed protective structures.</p>\",\"PeriodicalId\":20416,\"journal\":{\"name\":\"Polymers\",\"volume\":\"17 19\",\"pages\":\"\"},\"PeriodicalIF\":4.9000,\"publicationDate\":\"2025-10-07\",\"publicationTypes\":\"Journal Article\",\"fieldsOfStudy\":null,\"isOpenAccess\":false,\"openAccessPdf\":\"https://www.ncbi.nlm.nih.gov/pmc/articles/PMC12526826/pdf/\",\"citationCount\":\"0\",\"resultStr\":null,\"platform\":\"Semanticscholar\",\"paperid\":null,\"PeriodicalName\":\"Polymers\",\"FirstCategoryId\":\"5\",\"ListUrlMain\":\"https://doi.org/10.3390/polym17192699\",\"RegionNum\":3,\"RegionCategory\":\"工程技术\",\"ArticlePicture\":[],\"TitleCN\":null,\"AbstractTextCN\":null,\"PMCID\":null,\"EPubDate\":\"\",\"PubModel\":\"\",\"JCR\":\"Q1\",\"JCRName\":\"POLYMER SCIENCE\",\"Score\":null,\"Total\":0}","platform":"Semanticscholar","paperid":null,"PeriodicalName":"Polymers","FirstCategoryId":"5","ListUrlMain":"https://doi.org/10.3390/polym17192699","RegionNum":3,"RegionCategory":"工程技术","ArticlePicture":[],"TitleCN":null,"AbstractTextCN":null,"PMCID":null,"EPubDate":"","PubModel":"","JCR":"Q1","JCRName":"POLYMER SCIENCE","Score":null,"Total":0}
引用次数: 0

摘要

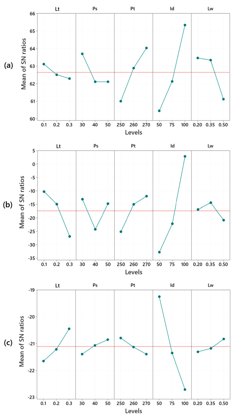
增材制造在开发3d打印防护结构(如防刺防弹衣)方面具有广阔的潜力。然而,迄今为止还没有研究考察3D打印参数对使用熔丝制造技术制造的3D打印结构防护性能的影响。因此,本研究调查了五个关键打印参数:层厚度、打印速度、打印温度、填充密度(Id)和层宽度对3d打印聚碳酸酯(PC)装甲的机械和防护性能的影响。采用田口L27矩阵对这些参数进行了系统分析,并以韧性、刺穿深度和装甲板重量为主要响应。方差分析结果以及田口方法表明,Id是所有打印参数中影响最大的因素。这是因为较高的Id导致更致密的结构,减少空隙和孔隙率,增强能量吸收,显著提高韧性,同时降低渗透深度。形态学分析支持了有关Id对此类结构性能的作用的统计结果。通过优化的打印参数,没有穿透装甲面板的记录,超过了英国防弹衣标准的最大允许刀穿透深度8毫米。此外,利用5-14-12-3拓扑结构建立人工神经网络(ANN)来预测3d打印装甲的韧性、刺穿深度和装甲面板重量。与Taguchi方法相比,人工神经网络模型对刺入深度的预测效果更好,证实了该方法的成功应用。这些发现为高性能3d打印防护结构的开发提供了重要的基础。
本文章由计算机程序翻译,如有差异,请以英文原文为准。

Evaluating the Performance of 3D-Printed Stab-Resistant Body Armor Using the Taguchi Method and Artificial Neural Networks.

Evaluating the Performance of 3D-Printed Stab-Resistant Body Armor Using the Taguchi Method and Artificial Neural Networks.

Evaluating the Performance of 3D-Printed Stab-Resistant Body Armor Using the Taguchi Method and Artificial Neural Networks.

Evaluating the Performance of 3D-Printed Stab-Resistant Body Armor Using the Taguchi Method and Artificial Neural Networks.

Additive manufacturing has promising potential for the development of 3D-printed protective structures such as stab-resistant body armor. However, no research to date has examined the impact of 3D printing parameters on the protective performance of such 3D-printed structures manufactured using fused filament fabrication technology. This study, therefore, investigates the effects of five key printing parameters: layer thickness, print speed, print temperature, infill density (Id), and layer width, on the mechanical and protective performance of 3D-printed polycarbonate (PC) armor. A Taguchi L27 matrix was employed to systematically analyze these parameters, with toughness, stab penetration depth, and armor panel weight as the primary responses. ANOVA results, along with the Taguchi approach, demonstrated that Id was the most influential factor across all print parameters. This is because a higher Id led to denser structures, reduced voids and porosities, and enhanced energy absorption, significantly increasing toughness while reducing penetration depth. Morphological analysis supported the statistical findings regarding the role of Id on the performance of such structures. With optimized printing parameters, no penetration to the armor panels was recorded, outperforming the UK body armor standard of a maximum permitted knife penetration depth of 8 mm. Moreover, an artificial neural network (ANN) utilizing the 5-14-12-3 topology was created to predict the toughness, stab penetration depth, and armor panel weight of 3D-printed armors. The ANN model demonstrated better prediction performance for stab penetration depth compared to the Taguchi method, confirming the successful application of such an approach. These findings provide a critical foundation for the development of high-performance 3D-printed protective structures.

求助全文
通过发布文献求助,成功后即可免费获取论文全文。 去求助
来源期刊
Polymers
Polymers POLYMER SCIENCE-
CiteScore
8.00
自引率
16.00%
发文量
4697
审稿时长
1.3 months
期刊介绍: Polymers (ISSN 2073-4360) is an international, open access journal of polymer science. It publishes research papers, short communications and review papers. Our aim is to encourage scientists to publish their experimental and theoretical results in as much detail as possible. Therefore, there is no restriction on the length of the papers. The full experimental details must be provided so that the results can be reproduced. Polymers provides an interdisciplinary forum for publishing papers which advance the fields of (i) polymerization methods, (ii) theory, simulation, and modeling, (iii) understanding of new physical phenomena, (iv) advances in characterization techniques, and (v) harnessing of self-assembly and biological strategies for producing complex multifunctional structures.
×
引用
GB/T 7714-2015
复制
MLA
复制
APA
复制
导出至
BibTeX EndNote RefMan NoteFirst NoteExpress
×
提示
您的信息不完整,为了账户安全,请先补充。
现在去补充
×
提示
您因"违规操作"
具体请查看互助需知
我知道了
×
提示
确定
请完成安全验证×
copy
已复制链接
快去分享给好友吧!
我知道了
右上角分享
点击右上角分享
0
联系我们:info@booksci.cn Book学术提供免费学术资源搜索服务,方便国内外学者检索中英文文献。致力于提供最便捷和优质的服务体验。 Copyright © 2023 布克学术 All rights reserved.
京ICP备2023020795号-1
ghs 京公网安备 11010802042870号
Book学术文献互助
Book学术文献互助群
群 号:604180095
Book学术官方微信