生物质-甲烷共热解生产富氢合成气:热力学分析。

IF 4.9 3区 工程技术 Q1 POLYMER SCIENCE
Polymers Pub Date : 2025-10-05 DOI:10.3390/polym17192695
Haiyan Guo, Zhiling Wang, Kang Kang, Dongbing Li
{"title":"生物质-甲烷共热解生产富氢合成气:热力学分析。","authors":"Haiyan Guo, Zhiling Wang, Kang Kang, Dongbing Li","doi":"10.3390/polym17192695","DOIUrl":null,"url":null,"abstract":"<p><p>This study presents a thermodynamic equilibrium analysis of hydrogen-rich syngas production via biomass-methane co-pyrolysis, employing the Gibbs free energy minimization method. A critical temperature threshold at 700 °C is identified, below which methanation and carbon deposition are thermodynamically favored, and above which cracking and reforming reactions dominate, enabling high-purity syngas generation. Methane addition shifts the reaction pathway towards increased reduction, significantly enhancing carbon and H<sub>2</sub> yields while limiting CO and CO<sub>2</sub> emissions. At 1200 °C and a 1:1 methane-to-biomass ratio, cellulose produces 50.84 mol C/kg, 119.69 mol H<sub>2</sub>/kg, and 30.65 mol CO/kg; lignin yields 78.16 mol C/kg, 117.69 mol H<sub>2</sub>/kg, and 19.14 mol CO/kg. The H<sub>2</sub>/CO ratio rises to 3.90 for cellulose and 6.15 for lignin, with energy contents reaching 43.16 MJ/kg and 52.91 MJ/kg, respectively. Notably, biomass enhances methane conversion from 25% to over 53% while sustaining a 67% H<sub>2</sub> selectivity. These findings demonstrate that syngas composition and energy content can be precisely controlled via methane co-feeding ratio and temperature, offering a promising approach for sustainable, tunable syngas production.</p>","PeriodicalId":20416,"journal":{"name":"Polymers","volume":"17 19","pages":""},"PeriodicalIF":4.9000,"publicationDate":"2025-10-05","publicationTypes":"Journal Article","fieldsOfStudy":null,"isOpenAccess":false,"openAccessPdf":"https://www.ncbi.nlm.nih.gov/pmc/articles/PMC12526537/pdf/","citationCount":"0","resultStr":"{\"title\":\"Production of Hydrogen-Rich Syngas via Biomass-Methane Co-Pyrolysis: Thermodynamic Analysis.\",\"authors\":\"Haiyan Guo, Zhiling Wang, Kang Kang, Dongbing Li\",\"doi\":\"10.3390/polym17192695\",\"DOIUrl\":null,\"url\":null,\"abstract\":\"<p><p>This study presents a thermodynamic equilibrium analysis of hydrogen-rich syngas production via biomass-methane co-pyrolysis, employing the Gibbs free energy minimization method. A critical temperature threshold at 700 °C is identified, below which methanation and carbon deposition are thermodynamically favored, and above which cracking and reforming reactions dominate, enabling high-purity syngas generation. Methane addition shifts the reaction pathway towards increased reduction, significantly enhancing carbon and H<sub>2</sub> yields while limiting CO and CO<sub>2</sub> emissions. At 1200 °C and a 1:1 methane-to-biomass ratio, cellulose produces 50.84 mol C/kg, 119.69 mol H<sub>2</sub>/kg, and 30.65 mol CO/kg; lignin yields 78.16 mol C/kg, 117.69 mol H<sub>2</sub>/kg, and 19.14 mol CO/kg. The H<sub>2</sub>/CO ratio rises to 3.90 for cellulose and 6.15 for lignin, with energy contents reaching 43.16 MJ/kg and 52.91 MJ/kg, respectively. Notably, biomass enhances methane conversion from 25% to over 53% while sustaining a 67% H<sub>2</sub> selectivity. These findings demonstrate that syngas composition and energy content can be precisely controlled via methane co-feeding ratio and temperature, offering a promising approach for sustainable, tunable syngas production.</p>\",\"PeriodicalId\":20416,\"journal\":{\"name\":\"Polymers\",\"volume\":\"17 19\",\"pages\":\"\"},\"PeriodicalIF\":4.9000,\"publicationDate\":\"2025-10-05\",\"publicationTypes\":\"Journal Article\",\"fieldsOfStudy\":null,\"isOpenAccess\":false,\"openAccessPdf\":\"https://www.ncbi.nlm.nih.gov/pmc/articles/PMC12526537/pdf/\",\"citationCount\":\"0\",\"resultStr\":null,\"platform\":\"Semanticscholar\",\"paperid\":null,\"PeriodicalName\":\"Polymers\",\"FirstCategoryId\":\"5\",\"ListUrlMain\":\"https://doi.org/10.3390/polym17192695\",\"RegionNum\":3,\"RegionCategory\":\"工程技术\",\"ArticlePicture\":[],\"TitleCN\":null,\"AbstractTextCN\":null,\"PMCID\":null,\"EPubDate\":\"\",\"PubModel\":\"\",\"JCR\":\"Q1\",\"JCRName\":\"POLYMER SCIENCE\",\"Score\":null,\"Total\":0}","platform":"Semanticscholar","paperid":null,"PeriodicalName":"Polymers","FirstCategoryId":"5","ListUrlMain":"https://doi.org/10.3390/polym17192695","RegionNum":3,"RegionCategory":"工程技术","ArticlePicture":[],"TitleCN":null,"AbstractTextCN":null,"PMCID":null,"EPubDate":"","PubModel":"","JCR":"Q1","JCRName":"POLYMER SCIENCE","Score":null,"Total":0}
引用次数: 0

摘要

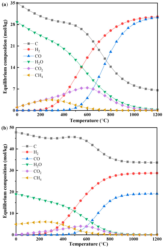
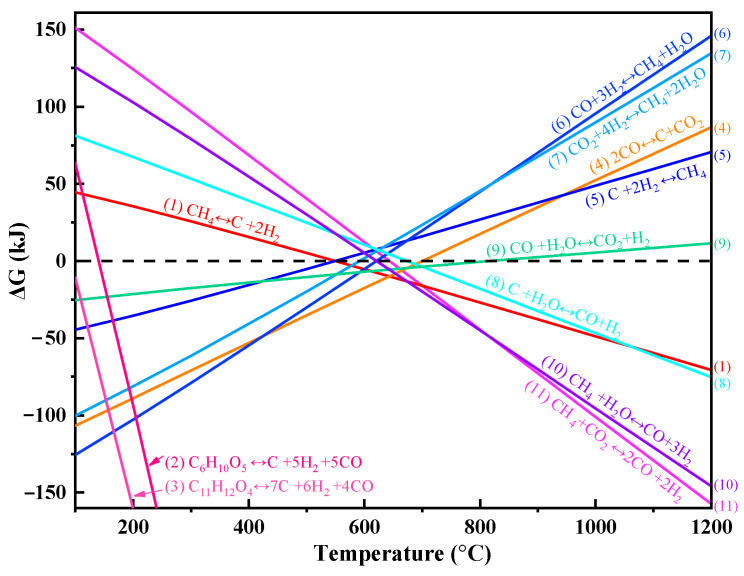
本研究采用Gibbs自由能最小化方法,对生物质-甲烷共热解生产富氢合成气的热力学平衡进行了分析。在700°C的临界温度阈值下,甲烷化和碳沉积在热力学上是有利的,在700°C以上,裂化和重整反应占主导地位,可以产生高纯度的合成气。甲烷的加入使反应途径转向增加还原,显著提高了碳和氢的产率,同时限制了CO和CO2的排放。在1200°C和1:1的甲烷与生物质比下,纤维素产生50.84 mol C/kg, 119.69 mol H2/kg和30.65 mol CO/kg;木质素产生78.16 mol C/kg, 117.69 mol H2/kg和19.14 mol CO/kg。纤维素和木质素的H2/CO比分别达到3.90和6.15,能含量分别达到43.16和52.91 MJ/kg。值得注意的是,生物质将甲烷转化率从25%提高到53%以上,同时保持67%的H2选择性。这些发现表明,合成气的组成和能量含量可以通过甲烷共投料比和温度来精确控制,为可持续的、可调的合成气生产提供了一种有前途的方法。
本文章由计算机程序翻译,如有差异,请以英文原文为准。

Production of Hydrogen-Rich Syngas via Biomass-Methane Co-Pyrolysis: Thermodynamic Analysis.

Production of Hydrogen-Rich Syngas via Biomass-Methane Co-Pyrolysis: Thermodynamic Analysis.

Production of Hydrogen-Rich Syngas via Biomass-Methane Co-Pyrolysis: Thermodynamic Analysis.

Production of Hydrogen-Rich Syngas via Biomass-Methane Co-Pyrolysis: Thermodynamic Analysis.

This study presents a thermodynamic equilibrium analysis of hydrogen-rich syngas production via biomass-methane co-pyrolysis, employing the Gibbs free energy minimization method. A critical temperature threshold at 700 °C is identified, below which methanation and carbon deposition are thermodynamically favored, and above which cracking and reforming reactions dominate, enabling high-purity syngas generation. Methane addition shifts the reaction pathway towards increased reduction, significantly enhancing carbon and H2 yields while limiting CO and CO2 emissions. At 1200 °C and a 1:1 methane-to-biomass ratio, cellulose produces 50.84 mol C/kg, 119.69 mol H2/kg, and 30.65 mol CO/kg; lignin yields 78.16 mol C/kg, 117.69 mol H2/kg, and 19.14 mol CO/kg. The H2/CO ratio rises to 3.90 for cellulose and 6.15 for lignin, with energy contents reaching 43.16 MJ/kg and 52.91 MJ/kg, respectively. Notably, biomass enhances methane conversion from 25% to over 53% while sustaining a 67% H2 selectivity. These findings demonstrate that syngas composition and energy content can be precisely controlled via methane co-feeding ratio and temperature, offering a promising approach for sustainable, tunable syngas production.

求助全文
通过发布文献求助,成功后即可免费获取论文全文。 去求助
来源期刊
Polymers
Polymers POLYMER SCIENCE-
CiteScore
8.00
自引率
16.00%
发文量
4697
审稿时长
1.3 months
期刊介绍: Polymers (ISSN 2073-4360) is an international, open access journal of polymer science. It publishes research papers, short communications and review papers. Our aim is to encourage scientists to publish their experimental and theoretical results in as much detail as possible. Therefore, there is no restriction on the length of the papers. The full experimental details must be provided so that the results can be reproduced. Polymers provides an interdisciplinary forum for publishing papers which advance the fields of (i) polymerization methods, (ii) theory, simulation, and modeling, (iii) understanding of new physical phenomena, (iv) advances in characterization techniques, and (v) harnessing of self-assembly and biological strategies for producing complex multifunctional structures.
×
引用
GB/T 7714-2015
复制
MLA
复制
APA
复制
导出至
BibTeX EndNote RefMan NoteFirst NoteExpress
×
提示
您的信息不完整,为了账户安全,请先补充。
现在去补充
×
提示
您因"违规操作"
具体请查看互助需知
我知道了
×
提示
确定
请完成安全验证×
copy
已复制链接
快去分享给好友吧!
我知道了
右上角分享
点击右上角分享
0
联系我们:info@booksci.cn Book学术提供免费学术资源搜索服务,方便国内外学者检索中英文文献。致力于提供最便捷和优质的服务体验。 Copyright © 2023 布克学术 All rights reserved.
京ICP备2023020795号-1
ghs 京公网安备 11010802042870号
Book学术文献互助
Book学术文献互助群
群 号:604180095
Book学术官方微信