实验性乳腺癌模型中与细胞凋亡相关的基因

IF 4.9 2区 生物学
Gloria M Calaf, Leodan A Crispin
{"title":"实验性乳腺癌模型中与细胞凋亡相关的基因","authors":"Gloria M Calaf, Leodan A Crispin","doi":"10.3390/ijms26199735","DOIUrl":null,"url":null,"abstract":"<p><p>Breast cancer remains a leading cause of global mortality. According to international cancer data, significant progress has been made in treating breast cancer; however, metastasis and drug resistance continue to be the primary causes of mortality for many patients. This study investigated the modulation of apoptosis-related genes in response to ionizing radiation and estrogen exposure based on a human breast epithelial cell model (MCF-10F and its transformed variants: Estrogen, Alpha3, Alpha5, Tumor2) previously established, where cells were treated with high linear energy transfer alpha particles, with or without 17β-estradiol. Gene expression profiling was performed using an Affymetrix U133A microarray, and bioinformatic analyses assessed differential expression, estrogen receptor status, and correlations with overall survival. Distinct gene expression patterns emerged across cell lines and tumor subtypes. <i>TP53</i> expression correlated positively with <i>TP63</i>, <i>BIK</i>, <i>CFLAR</i>, <i>BIRC3</i>, and <i>BCLAF1</i>. <i>TP63</i>, <i>PERP</i>, <i>CFLAR</i>, <i>BCLAF1</i>, <i>GULP1</i>, and <i>BIRC3</i> were elevated in normal tissue, whereas <i>BIK</i>, <i>PHLDA2</i>, and <i>BBC3</i> were upregulated in tumors. ER-positive tumors exhibited higher <i>TP63</i>, <i>BIK</i>, <i>BCLAF1</i>, and <i>BBC3</i> expression, while ER-negative tumors showed increased <i>PERP</i>, <i>CFLAR</i>, <i>BIRC3</i>, and <i>PHLDA2</i>. Notably, elevated <i>BCLAF1</i> expression was associated with poorer survival in Luminal A patients, and high <i>PHLDA2</i> expression correlated with reduced survival in Luminal B cases. These findings indicate that resistance to apoptosis is a fundamental mechanism in breast cancer progression and therapeutic evasion. Breast tumors selectively alter the expression of key genes to promote growth, evade apoptosis, and develop therapeutic resistance. The differential expression and correlations of these apoptosis-related genes highlight their potential as molecular targets for future personalized cancer therapies and as valuable biomarkers for prognostic stratification and predicting therapeutic response.</p>","PeriodicalId":14156,"journal":{"name":"International Journal of Molecular Sciences","volume":"26 19","pages":""},"PeriodicalIF":4.9000,"publicationDate":"2025-10-07","publicationTypes":"Journal Article","fieldsOfStudy":null,"isOpenAccess":false,"openAccessPdf":"https://www.ncbi.nlm.nih.gov/pmc/articles/PMC12524443/pdf/","citationCount":"0","resultStr":"{\"title\":\"Genes Associated with Apoptosis in an Experimental Breast Cancer Model.\",\"authors\":\"Gloria M Calaf, Leodan A Crispin\",\"doi\":\"10.3390/ijms26199735\",\"DOIUrl\":null,\"url\":null,\"abstract\":\"<p><p>Breast cancer remains a leading cause of global mortality. According to international cancer data, significant progress has been made in treating breast cancer; however, metastasis and drug resistance continue to be the primary causes of mortality for many patients. This study investigated the modulation of apoptosis-related genes in response to ionizing radiation and estrogen exposure based on a human breast epithelial cell model (MCF-10F and its transformed variants: Estrogen, Alpha3, Alpha5, Tumor2) previously established, where cells were treated with high linear energy transfer alpha particles, with or without 17β-estradiol. Gene expression profiling was performed using an Affymetrix U133A microarray, and bioinformatic analyses assessed differential expression, estrogen receptor status, and correlations with overall survival. Distinct gene expression patterns emerged across cell lines and tumor subtypes. <i>TP53</i> expression correlated positively with <i>TP63</i>, <i>BIK</i>, <i>CFLAR</i>, <i>BIRC3</i>, and <i>BCLAF1</i>. <i>TP63</i>, <i>PERP</i>, <i>CFLAR</i>, <i>BCLAF1</i>, <i>GULP1</i>, and <i>BIRC3</i> were elevated in normal tissue, whereas <i>BIK</i>, <i>PHLDA2</i>, and <i>BBC3</i> were upregulated in tumors. ER-positive tumors exhibited higher <i>TP63</i>, <i>BIK</i>, <i>BCLAF1</i>, and <i>BBC3</i> expression, while ER-negative tumors showed increased <i>PERP</i>, <i>CFLAR</i>, <i>BIRC3</i>, and <i>PHLDA2</i>. Notably, elevated <i>BCLAF1</i> expression was associated with poorer survival in Luminal A patients, and high <i>PHLDA2</i> expression correlated with reduced survival in Luminal B cases. These findings indicate that resistance to apoptosis is a fundamental mechanism in breast cancer progression and therapeutic evasion. Breast tumors selectively alter the expression of key genes to promote growth, evade apoptosis, and develop therapeutic resistance. The differential expression and correlations of these apoptosis-related genes highlight their potential as molecular targets for future personalized cancer therapies and as valuable biomarkers for prognostic stratification and predicting therapeutic response.</p>\",\"PeriodicalId\":14156,\"journal\":{\"name\":\"International Journal of Molecular Sciences\",\"volume\":\"26 19\",\"pages\":\"\"},\"PeriodicalIF\":4.9000,\"publicationDate\":\"2025-10-07\",\"publicationTypes\":\"Journal Article\",\"fieldsOfStudy\":null,\"isOpenAccess\":false,\"openAccessPdf\":\"https://www.ncbi.nlm.nih.gov/pmc/articles/PMC12524443/pdf/\",\"citationCount\":\"0\",\"resultStr\":null,\"platform\":\"Semanticscholar\",\"paperid\":null,\"PeriodicalName\":\"International Journal of Molecular Sciences\",\"FirstCategoryId\":\"99\",\"ListUrlMain\":\"https://doi.org/10.3390/ijms26199735\",\"RegionNum\":2,\"RegionCategory\":\"生物学\",\"ArticlePicture\":[],\"TitleCN\":null,\"AbstractTextCN\":null,\"PMCID\":null,\"EPubDate\":\"\",\"PubModel\":\"\",\"JCR\":\"\",\"JCRName\":\"\",\"Score\":null,\"Total\":0}","platform":"Semanticscholar","paperid":null,"PeriodicalName":"International Journal of Molecular Sciences","FirstCategoryId":"99","ListUrlMain":"https://doi.org/10.3390/ijms26199735","RegionNum":2,"RegionCategory":"生物学","ArticlePicture":[],"TitleCN":null,"AbstractTextCN":null,"PMCID":null,"EPubDate":"","PubModel":"","JCR":"","JCRName":"","Score":null,"Total":0}
引用次数: 0

摘要

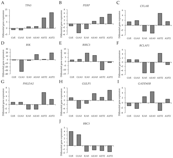
乳腺癌仍然是全球死亡的主要原因。根据国际癌症数据,在治疗乳腺癌方面取得了重大进展;然而,转移和耐药性仍然是许多患者死亡的主要原因。本研究基于先前建立的人乳腺上皮细胞模型(MCF-10F及其转化型:雌激素,Alpha3, Alpha5, Tumor2),研究了电离辐射和雌激素暴露对凋亡相关基因的调节,其中细胞用高线性能量转移α粒子处理,含或不含17β-雌二醇。使用Affymetrix U133A微阵列进行基因表达谱分析,生物信息学分析评估差异表达、雌激素受体状态以及与总生存率的相关性。不同的基因表达模式出现在不同的细胞系和肿瘤亚型中。TP53的表达与TP63、BIK、CFLAR、BIRC3、BCLAF1呈正相关。TP63、PERP、CFLAR、BCLAF1、GULP1和BIRC3在正常组织中升高,而BIK、PHLDA2和BBC3在肿瘤中上调。er阳性肿瘤TP63、BIK、BCLAF1、BBC3表达较高,而er阴性肿瘤PERP、CFLAR、BIRC3、PHLDA2表达较高。值得注意的是,在Luminal A患者中,BCLAF1表达升高与较差的生存率相关,而在Luminal B患者中,PHLDA2高表达与较差的生存率相关。这些发现表明对细胞凋亡的抵抗是乳腺癌进展和治疗逃避的基本机制。乳腺肿瘤选择性地改变关键基因的表达,以促进生长,逃避细胞凋亡,并产生治疗耐药性。这些细胞凋亡相关基因的差异表达和相关性突出了它们作为未来个性化癌症治疗的分子靶点的潜力,以及作为预后分层和预测治疗反应的有价值的生物标志物。
本文章由计算机程序翻译,如有差异,请以英文原文为准。

Genes Associated with Apoptosis in an Experimental Breast Cancer Model.

Genes Associated with Apoptosis in an Experimental Breast Cancer Model.

Genes Associated with Apoptosis in an Experimental Breast Cancer Model.

Genes Associated with Apoptosis in an Experimental Breast Cancer Model.

Breast cancer remains a leading cause of global mortality. According to international cancer data, significant progress has been made in treating breast cancer; however, metastasis and drug resistance continue to be the primary causes of mortality for many patients. This study investigated the modulation of apoptosis-related genes in response to ionizing radiation and estrogen exposure based on a human breast epithelial cell model (MCF-10F and its transformed variants: Estrogen, Alpha3, Alpha5, Tumor2) previously established, where cells were treated with high linear energy transfer alpha particles, with or without 17β-estradiol. Gene expression profiling was performed using an Affymetrix U133A microarray, and bioinformatic analyses assessed differential expression, estrogen receptor status, and correlations with overall survival. Distinct gene expression patterns emerged across cell lines and tumor subtypes. TP53 expression correlated positively with TP63, BIK, CFLAR, BIRC3, and BCLAF1. TP63, PERP, CFLAR, BCLAF1, GULP1, and BIRC3 were elevated in normal tissue, whereas BIK, PHLDA2, and BBC3 were upregulated in tumors. ER-positive tumors exhibited higher TP63, BIK, BCLAF1, and BBC3 expression, while ER-negative tumors showed increased PERP, CFLAR, BIRC3, and PHLDA2. Notably, elevated BCLAF1 expression was associated with poorer survival in Luminal A patients, and high PHLDA2 expression correlated with reduced survival in Luminal B cases. These findings indicate that resistance to apoptosis is a fundamental mechanism in breast cancer progression and therapeutic evasion. Breast tumors selectively alter the expression of key genes to promote growth, evade apoptosis, and develop therapeutic resistance. The differential expression and correlations of these apoptosis-related genes highlight their potential as molecular targets for future personalized cancer therapies and as valuable biomarkers for prognostic stratification and predicting therapeutic response.

求助全文
通过发布文献求助,成功后即可免费获取论文全文。 去求助
来源期刊
自引率
10.70%
发文量
13472
审稿时长
1.7 months
期刊介绍: The International Journal of Molecular Sciences (ISSN 1422-0067) provides an advanced forum for chemistry, molecular physics (chemical physics and physical chemistry) and molecular biology. It publishes research articles, reviews, communications and short notes. Our aim is to encourage scientists to publish their theoretical and experimental results in as much detail as possible. Therefore, there is no restriction on the length of the papers or the number of electronics supplementary files. For articles with computational results, the full experimental details must be provided so that the results can be reproduced. Electronic files regarding the full details of the calculation and experimental procedure, if unable to be published in a normal way, can be deposited as supplementary material (including animated pictures, videos, interactive Excel sheets, software executables and others).
×
引用
GB/T 7714-2015
复制
MLA
复制
APA
复制
导出至
BibTeX EndNote RefMan NoteFirst NoteExpress
×
提示
您的信息不完整,为了账户安全,请先补充。
现在去补充
×
提示
您因"违规操作"
具体请查看互助需知
我知道了
×
提示
确定
请完成安全验证×
copy
已复制链接
快去分享给好友吧!
我知道了
右上角分享
点击右上角分享
0
联系我们:info@booksci.cn Book学术提供免费学术资源搜索服务,方便国内外学者检索中英文文献。致力于提供最便捷和优质的服务体验。 Copyright © 2023 布克学术 All rights reserved.
京ICP备2023020795号-1
ghs 京公网安备 11010802042870号
Book学术文献互助
Book学术文献互助群
群 号:604180095
Book学术官方微信