山兰旱地水稻酚类化合物和抗氧化活性的基因型变异及遗传控制。

IF 4.9 2区 生物学
Lin Zhang, Jing Yu, Bowen Deng, Yi Peng, Yafang Shao, Jinsong Bao
{"title":"山兰旱地水稻酚类化合物和抗氧化活性的基因型变异及遗传控制。","authors":"Lin Zhang, Jing Yu, Bowen Deng, Yi Peng, Yafang Shao, Jinsong Bao","doi":"10.3390/ijms26199800","DOIUrl":null,"url":null,"abstract":"<p><p>Shanlan rice, a unique drought-resistant rice germplasm resource in Hainan Province, China, holds significant potential for rice genetic improvement and breeding innovation. However, its genetic diversity and significance in rice breeding remain inadequately explored. This study conducted a comprehensive analysis of phenolic acid profiles and antioxidant properties in the brown rice of 84 Shanlan rice accessions. It was revealed that colored Shanlan rice accessions exhibited significantly higher total phenolic content (249.00-2408.33 mg gallic acid equivalents per 100 g of rice flour (mg GAE/100 g)) and antioxidant capacity (DPPH: 680.39-809.63 micromoles of Trolox equivalent per 100 g (μmol TE/100 g); ABTS: 529.93-1917.77 μmol TE/100 g) compared to white-grained varieties. High-performance liquid chromatography (HPLC) analysis identified eight phenolic acids in the bound fractions, among which the sinapic acid (55.08 μg/g) and vanillic acid (11.72 μg/g) were predominant, accounting for over 60% of total bound phenolic acid content. A genome-wide association study (GWAS) identified 84 significant loci associated with these phenolic-related traits. A major quantitative trait locus (QTL) on chromosome 7 for free phenolic content, total phenolic content, flavonoids, and DPPH activity was co-located at the <i>Rc</i> gene locus, a key regulator of red pericarp pigmentation and proanthocyanidin biosynthesis. Haplotype analysis identified ten haplotypes in <i>Rc</i>, with the haplotype H002 showing the highest antioxidant capacity. Another QTL on chromosome 11 was associated with p-coumaric, vanillic, and sinapic acids, although no significant difference was observed in haplotype analysis. These results highlight <i>Rc</i> as a key genetic factor underlying antioxidant properties in rice, while other loci require further validation. This research provides a foundation for breeding health-benefit, drought-tolerant rice cultivars using Hainan's unique germplasm.</p>","PeriodicalId":14156,"journal":{"name":"International Journal of Molecular Sciences","volume":"26 19","pages":""},"PeriodicalIF":4.9000,"publicationDate":"2025-10-08","publicationTypes":"Journal Article","fieldsOfStudy":null,"isOpenAccess":false,"openAccessPdf":"https://www.ncbi.nlm.nih.gov/pmc/articles/PMC12525001/pdf/","citationCount":"0","resultStr":"{\"title\":\"Genotypic Variation and Genetic Control of Phenolic Compounds and Antioxidant Activity in Shanlan Upland Rice Landrace.\",\"authors\":\"Lin Zhang, Jing Yu, Bowen Deng, Yi Peng, Yafang Shao, Jinsong Bao\",\"doi\":\"10.3390/ijms26199800\",\"DOIUrl\":null,\"url\":null,\"abstract\":\"<p><p>Shanlan rice, a unique drought-resistant rice germplasm resource in Hainan Province, China, holds significant potential for rice genetic improvement and breeding innovation. However, its genetic diversity and significance in rice breeding remain inadequately explored. This study conducted a comprehensive analysis of phenolic acid profiles and antioxidant properties in the brown rice of 84 Shanlan rice accessions. It was revealed that colored Shanlan rice accessions exhibited significantly higher total phenolic content (249.00-2408.33 mg gallic acid equivalents per 100 g of rice flour (mg GAE/100 g)) and antioxidant capacity (DPPH: 680.39-809.63 micromoles of Trolox equivalent per 100 g (μmol TE/100 g); ABTS: 529.93-1917.77 μmol TE/100 g) compared to white-grained varieties. High-performance liquid chromatography (HPLC) analysis identified eight phenolic acids in the bound fractions, among which the sinapic acid (55.08 μg/g) and vanillic acid (11.72 μg/g) were predominant, accounting for over 60% of total bound phenolic acid content. A genome-wide association study (GWAS) identified 84 significant loci associated with these phenolic-related traits. A major quantitative trait locus (QTL) on chromosome 7 for free phenolic content, total phenolic content, flavonoids, and DPPH activity was co-located at the <i>Rc</i> gene locus, a key regulator of red pericarp pigmentation and proanthocyanidin biosynthesis. Haplotype analysis identified ten haplotypes in <i>Rc</i>, with the haplotype H002 showing the highest antioxidant capacity. Another QTL on chromosome 11 was associated with p-coumaric, vanillic, and sinapic acids, although no significant difference was observed in haplotype analysis. These results highlight <i>Rc</i> as a key genetic factor underlying antioxidant properties in rice, while other loci require further validation. This research provides a foundation for breeding health-benefit, drought-tolerant rice cultivars using Hainan's unique germplasm.</p>\",\"PeriodicalId\":14156,\"journal\":{\"name\":\"International Journal of Molecular Sciences\",\"volume\":\"26 19\",\"pages\":\"\"},\"PeriodicalIF\":4.9000,\"publicationDate\":\"2025-10-08\",\"publicationTypes\":\"Journal Article\",\"fieldsOfStudy\":null,\"isOpenAccess\":false,\"openAccessPdf\":\"https://www.ncbi.nlm.nih.gov/pmc/articles/PMC12525001/pdf/\",\"citationCount\":\"0\",\"resultStr\":null,\"platform\":\"Semanticscholar\",\"paperid\":null,\"PeriodicalName\":\"International Journal of Molecular Sciences\",\"FirstCategoryId\":\"99\",\"ListUrlMain\":\"https://doi.org/10.3390/ijms26199800\",\"RegionNum\":2,\"RegionCategory\":\"生物学\",\"ArticlePicture\":[],\"TitleCN\":null,\"AbstractTextCN\":null,\"PMCID\":null,\"EPubDate\":\"\",\"PubModel\":\"\",\"JCR\":\"\",\"JCRName\":\"\",\"Score\":null,\"Total\":0}","platform":"Semanticscholar","paperid":null,"PeriodicalName":"International Journal of Molecular Sciences","FirstCategoryId":"99","ListUrlMain":"https://doi.org/10.3390/ijms26199800","RegionNum":2,"RegionCategory":"生物学","ArticlePicture":[],"TitleCN":null,"AbstractTextCN":null,"PMCID":null,"EPubDate":"","PubModel":"","JCR":"","JCRName":"","Score":null,"Total":0}
引用次数: 0

摘要

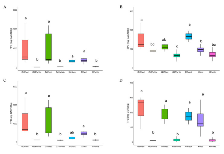
山兰稻是中国海南省特有的抗旱水稻种质资源,在水稻遗传改良和育种创新方面具有重要潜力。然而,其遗传多样性及其在水稻育种中的意义尚未得到充分探讨。对84份山兰糙米材料的酚酸谱和抗氧化特性进行了综合分析。结果表明,彩色山兰大米的总酚含量(每100 g米粉中没食子酸当量为249.00 ~ 2408.33 mg (mg GAE/100 g))和抗氧化能力(DPPH:每100 g中没食子酸当量为680.39 ~ 809.63微摩尔(μmol TE/100 g))显著高于其他品种;ABTS: 529.93 ~ 1917.77 μmol TE/100 g)。高效液相色谱(HPLC)分析鉴定出8种酚酸,其中以辛酸(55.08 μg/g)和香草酸(11.72 μg/g)居多,占总酚酸含量的60%以上。一项全基因组关联研究(GWAS)确定了84个与这些酚类相关性状相关的显著位点。7号染色体上的游离酚含量、总酚含量、黄酮类化合物和DPPH活性的主要数量性状位点(QTL)位于红果皮色素沉着和原花青素生物合成的关键调控因子Rc基因位点上。单倍型分析鉴定出Rc的10个单倍型,其中H002单倍型抗氧化能力最强。11号染色体上的另一个QTL与对香豆酸、香草酸和辛酸相关,尽管在单倍型分析中没有观察到显著差异。这些结果表明Rc是水稻抗氧化特性的关键遗传因子,而其他基因座需要进一步验证。本研究为利用海南独特的种质资源选育有益健康、耐旱的水稻品种奠定了基础。
本文章由计算机程序翻译,如有差异,请以英文原文为准。

Genotypic Variation and Genetic Control of Phenolic Compounds and Antioxidant Activity in Shanlan Upland Rice Landrace.

Genotypic Variation and Genetic Control of Phenolic Compounds and Antioxidant Activity in Shanlan Upland Rice Landrace.

Genotypic Variation and Genetic Control of Phenolic Compounds and Antioxidant Activity in Shanlan Upland Rice Landrace.

Genotypic Variation and Genetic Control of Phenolic Compounds and Antioxidant Activity in Shanlan Upland Rice Landrace.

Shanlan rice, a unique drought-resistant rice germplasm resource in Hainan Province, China, holds significant potential for rice genetic improvement and breeding innovation. However, its genetic diversity and significance in rice breeding remain inadequately explored. This study conducted a comprehensive analysis of phenolic acid profiles and antioxidant properties in the brown rice of 84 Shanlan rice accessions. It was revealed that colored Shanlan rice accessions exhibited significantly higher total phenolic content (249.00-2408.33 mg gallic acid equivalents per 100 g of rice flour (mg GAE/100 g)) and antioxidant capacity (DPPH: 680.39-809.63 micromoles of Trolox equivalent per 100 g (μmol TE/100 g); ABTS: 529.93-1917.77 μmol TE/100 g) compared to white-grained varieties. High-performance liquid chromatography (HPLC) analysis identified eight phenolic acids in the bound fractions, among which the sinapic acid (55.08 μg/g) and vanillic acid (11.72 μg/g) were predominant, accounting for over 60% of total bound phenolic acid content. A genome-wide association study (GWAS) identified 84 significant loci associated with these phenolic-related traits. A major quantitative trait locus (QTL) on chromosome 7 for free phenolic content, total phenolic content, flavonoids, and DPPH activity was co-located at the Rc gene locus, a key regulator of red pericarp pigmentation and proanthocyanidin biosynthesis. Haplotype analysis identified ten haplotypes in Rc, with the haplotype H002 showing the highest antioxidant capacity. Another QTL on chromosome 11 was associated with p-coumaric, vanillic, and sinapic acids, although no significant difference was observed in haplotype analysis. These results highlight Rc as a key genetic factor underlying antioxidant properties in rice, while other loci require further validation. This research provides a foundation for breeding health-benefit, drought-tolerant rice cultivars using Hainan's unique germplasm.

求助全文
通过发布文献求助,成功后即可免费获取论文全文。 去求助
来源期刊
自引率
10.70%
发文量
13472
审稿时长
1.7 months
期刊介绍: The International Journal of Molecular Sciences (ISSN 1422-0067) provides an advanced forum for chemistry, molecular physics (chemical physics and physical chemistry) and molecular biology. It publishes research articles, reviews, communications and short notes. Our aim is to encourage scientists to publish their theoretical and experimental results in as much detail as possible. Therefore, there is no restriction on the length of the papers or the number of electronics supplementary files. For articles with computational results, the full experimental details must be provided so that the results can be reproduced. Electronic files regarding the full details of the calculation and experimental procedure, if unable to be published in a normal way, can be deposited as supplementary material (including animated pictures, videos, interactive Excel sheets, software executables and others).
×
引用
GB/T 7714-2015
复制
MLA
复制
APA
复制
导出至
BibTeX EndNote RefMan NoteFirst NoteExpress
×
提示
您的信息不完整,为了账户安全,请先补充。
现在去补充
×
提示
您因"违规操作"
具体请查看互助需知
我知道了
×
提示
确定
请完成安全验证×
copy
已复制链接
快去分享给好友吧!
我知道了
右上角分享
点击右上角分享
0
联系我们:info@booksci.cn Book学术提供免费学术资源搜索服务,方便国内外学者检索中英文文献。致力于提供最便捷和优质的服务体验。 Copyright © 2023 布克学术 All rights reserved.
京ICP备2023020795号-1
ghs 京公网安备 11010802042870号
Book学术文献互助
Book学术文献互助群
群 号:604180095
Book学术官方微信