预测急性大面积脑梗死住院死亡率的动态图的建立和验证:一项中国人群的回顾性研究。

IF 3.4 3区 医学 Q2 MEDICINE, RESEARCH & EXPERIMENTAL
Xuhui Liu, Xujie Wang, Rongfei Xie, Zhaohui Liu, Shasha Liang, Jinyin Bai, Chunjian Ma
{"title":"预测急性大面积脑梗死住院死亡率的动态图的建立和验证:一项中国人群的回顾性研究。","authors":"Xuhui Liu, Xujie Wang, Rongfei Xie, Zhaohui Liu, Shasha Liang, Jinyin Bai, Chunjian Ma","doi":"10.1186/s40001-025-03300-0","DOIUrl":null,"url":null,"abstract":"<p><strong>Background: </strong>Massive cerebral infarction (MCI) is a severe form of ischemic stroke that can result in adverse outcomes, including death. This study aimed to identify the independent risk factors associated with MCI mortality by developing a multivariate model using stepwise logistic regression analysis.</p><p><strong>Methods: </strong>This retrospective study included 159 hospitalized patients between January 15, 2022, and October 20, 2023. The diagnosis of MCI was based on clinical symptoms, the National Institutes of Health Stroke Scale (NIHSS), the Glasgow Coma Scale (GCS), and brain MRI. Potential mortality-related predictors were identified by analyzing patient histories, coagulation profiles, renal function, and serum biochemical indicators such as fasting blood glucose (FBG), homocysteine (HCY), and hemoglobin (Hb).</p><p><strong>Results: </strong>Among the 159 patients, optimized multivariate logistic regression analysis revealed that smoking (OR = 10.48, 95% CI 2.85-42.80), FBG (OR = 1.97, 95% CI 1.45-2.82), HCY (OR = 8.62, 95% CI 1.29-76.21), Hb (OR = 0.96, 95% CI 0.94-0.99), and GCS score (OR = 0.67, 95% CI 0.52-0.83) were significantly associated with in-hospital mortality (all P < 0.05). The model showed good discrimination (AUC = 0.943, 95% CI 0.903-0.982), with a marginal R-squared (R<sup>2</sup>M) of 0.660. Calibration and decision curve analyses suggested good predictive performance and potential clinical utility of the nomogram.</p><p><strong>Conclusion: </strong>Smoking, elevated FBG and HCY, low Hb, and lower GCS scores were identified as independent predictors of mortality in MCI patients. Managing these factors may help reduce the risk of death.</p>","PeriodicalId":11949,"journal":{"name":"European Journal of Medical Research","volume":"30 1","pages":"981"},"PeriodicalIF":3.4000,"publicationDate":"2025-10-16","publicationTypes":"Journal Article","fieldsOfStudy":null,"isOpenAccess":false,"openAccessPdf":"https://www.ncbi.nlm.nih.gov/pmc/articles/PMC12529824/pdf/","citationCount":"0","resultStr":"{\"title\":\"Development and validation of a dynamic nomogram for predicting in-hospital mortality in acute massive cerebral infarction: a retrospective study in a Chinese population.\",\"authors\":\"Xuhui Liu, Xujie Wang, Rongfei Xie, Zhaohui Liu, Shasha Liang, Jinyin Bai, Chunjian Ma\",\"doi\":\"10.1186/s40001-025-03300-0\",\"DOIUrl\":null,\"url\":null,\"abstract\":\"<p><strong>Background: </strong>Massive cerebral infarction (MCI) is a severe form of ischemic stroke that can result in adverse outcomes, including death. This study aimed to identify the independent risk factors associated with MCI mortality by developing a multivariate model using stepwise logistic regression analysis.</p><p><strong>Methods: </strong>This retrospective study included 159 hospitalized patients between January 15, 2022, and October 20, 2023. The diagnosis of MCI was based on clinical symptoms, the National Institutes of Health Stroke Scale (NIHSS), the Glasgow Coma Scale (GCS), and brain MRI. Potential mortality-related predictors were identified by analyzing patient histories, coagulation profiles, renal function, and serum biochemical indicators such as fasting blood glucose (FBG), homocysteine (HCY), and hemoglobin (Hb).</p><p><strong>Results: </strong>Among the 159 patients, optimized multivariate logistic regression analysis revealed that smoking (OR = 10.48, 95% CI 2.85-42.80), FBG (OR = 1.97, 95% CI 1.45-2.82), HCY (OR = 8.62, 95% CI 1.29-76.21), Hb (OR = 0.96, 95% CI 0.94-0.99), and GCS score (OR = 0.67, 95% CI 0.52-0.83) were significantly associated with in-hospital mortality (all P < 0.05). The model showed good discrimination (AUC = 0.943, 95% CI 0.903-0.982), with a marginal R-squared (R<sup>2</sup>M) of 0.660. Calibration and decision curve analyses suggested good predictive performance and potential clinical utility of the nomogram.</p><p><strong>Conclusion: </strong>Smoking, elevated FBG and HCY, low Hb, and lower GCS scores were identified as independent predictors of mortality in MCI patients. Managing these factors may help reduce the risk of death.</p>\",\"PeriodicalId\":11949,\"journal\":{\"name\":\"European Journal of Medical Research\",\"volume\":\"30 1\",\"pages\":\"981\"},\"PeriodicalIF\":3.4000,\"publicationDate\":\"2025-10-16\",\"publicationTypes\":\"Journal Article\",\"fieldsOfStudy\":null,\"isOpenAccess\":false,\"openAccessPdf\":\"https://www.ncbi.nlm.nih.gov/pmc/articles/PMC12529824/pdf/\",\"citationCount\":\"0\",\"resultStr\":null,\"platform\":\"Semanticscholar\",\"paperid\":null,\"PeriodicalName\":\"European Journal of Medical Research\",\"FirstCategoryId\":\"3\",\"ListUrlMain\":\"https://doi.org/10.1186/s40001-025-03300-0\",\"RegionNum\":3,\"RegionCategory\":\"医学\",\"ArticlePicture\":[],\"TitleCN\":null,\"AbstractTextCN\":null,\"PMCID\":null,\"EPubDate\":\"\",\"PubModel\":\"\",\"JCR\":\"Q2\",\"JCRName\":\"MEDICINE, RESEARCH & EXPERIMENTAL\",\"Score\":null,\"Total\":0}","platform":"Semanticscholar","paperid":null,"PeriodicalName":"European Journal of Medical Research","FirstCategoryId":"3","ListUrlMain":"https://doi.org/10.1186/s40001-025-03300-0","RegionNum":3,"RegionCategory":"医学","ArticlePicture":[],"TitleCN":null,"AbstractTextCN":null,"PMCID":null,"EPubDate":"","PubModel":"","JCR":"Q2","JCRName":"MEDICINE, RESEARCH & EXPERIMENTAL","Score":null,"Total":0}
引用次数: 0

摘要

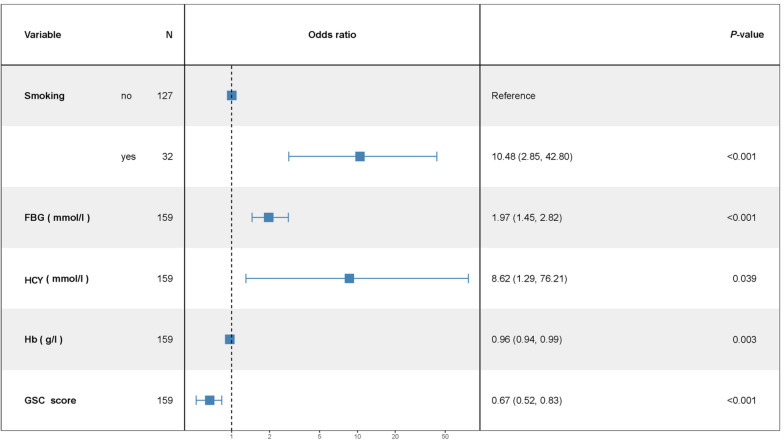
背景:大面积脑梗死(MCI)是缺血性中风的一种严重形式,可导致包括死亡在内的不良后果。本研究旨在通过逐步logistic回归分析建立多变量模型,确定与轻度认知损伤死亡率相关的独立危险因素。方法:本回顾性研究纳入了2022年1月15日至2023年10月20日期间159例住院患者。MCI的诊断基于临床症状、美国国立卫生研究院卒中量表(NIHSS)、格拉斯哥昏迷量表(GCS)和脑部MRI。通过分析患者病史、凝血特征、肾功能和血清生化指标,如空腹血糖(FBG)、同型半胱氨酸(HCY)和血红蛋白(Hb),确定潜在的死亡率相关预测因素。结果:159例患者中,经优化的多因素logistic回归分析显示,吸烟(OR = 10.48, 95% CI 2.85 ~ 42.80)、空腹血糖(OR = 1.97, 95% CI 1.45 ~ 2.82)、HCY (OR = 8.62, 95% CI 1.29 ~ 76.21)、Hb (OR = 0.96, 95% CI 0.94 ~ 0.99)、GCS评分(OR = 0.67, 95% CI 0.52 ~ 0.83)与住院死亡率(均P 2M)显著相关(均P 2M)为0.660。校准和决策曲线分析表明,nomogram具有良好的预测性能和潜在的临床应用价值。结论:吸烟、FBG和HCY升高、Hb低和GCS评分较低被确定为MCI患者死亡率的独立预测因素。控制这些因素可能有助于降低死亡风险。
本文章由计算机程序翻译,如有差异,请以英文原文为准。

Development and validation of a dynamic nomogram for predicting in-hospital mortality in acute massive cerebral infarction: a retrospective study in a Chinese population.

Development and validation of a dynamic nomogram for predicting in-hospital mortality in acute massive cerebral infarction: a retrospective study in a Chinese population.

Development and validation of a dynamic nomogram for predicting in-hospital mortality in acute massive cerebral infarction: a retrospective study in a Chinese population.

Development and validation of a dynamic nomogram for predicting in-hospital mortality in acute massive cerebral infarction: a retrospective study in a Chinese population.

Background: Massive cerebral infarction (MCI) is a severe form of ischemic stroke that can result in adverse outcomes, including death. This study aimed to identify the independent risk factors associated with MCI mortality by developing a multivariate model using stepwise logistic regression analysis.

Methods: This retrospective study included 159 hospitalized patients between January 15, 2022, and October 20, 2023. The diagnosis of MCI was based on clinical symptoms, the National Institutes of Health Stroke Scale (NIHSS), the Glasgow Coma Scale (GCS), and brain MRI. Potential mortality-related predictors were identified by analyzing patient histories, coagulation profiles, renal function, and serum biochemical indicators such as fasting blood glucose (FBG), homocysteine (HCY), and hemoglobin (Hb).

Results: Among the 159 patients, optimized multivariate logistic regression analysis revealed that smoking (OR = 10.48, 95% CI 2.85-42.80), FBG (OR = 1.97, 95% CI 1.45-2.82), HCY (OR = 8.62, 95% CI 1.29-76.21), Hb (OR = 0.96, 95% CI 0.94-0.99), and GCS score (OR = 0.67, 95% CI 0.52-0.83) were significantly associated with in-hospital mortality (all P < 0.05). The model showed good discrimination (AUC = 0.943, 95% CI 0.903-0.982), with a marginal R-squared (R2M) of 0.660. Calibration and decision curve analyses suggested good predictive performance and potential clinical utility of the nomogram.

Conclusion: Smoking, elevated FBG and HCY, low Hb, and lower GCS scores were identified as independent predictors of mortality in MCI patients. Managing these factors may help reduce the risk of death.

求助全文
通过发布文献求助,成功后即可免费获取论文全文。 去求助
来源期刊
European Journal of Medical Research
European Journal of Medical Research 医学-医学:研究与实验
CiteScore
3.20
自引率
0.00%
发文量
247
审稿时长
>12 weeks
期刊介绍: European Journal of Medical Research publishes translational and clinical research of international interest across all medical disciplines, enabling clinicians and other researchers to learn about developments and innovations within these disciplines and across the boundaries between disciplines. The journal publishes high quality research and reviews and aims to ensure that the results of all well-conducted research are published, regardless of their outcome.
×
引用
GB/T 7714-2015
复制
MLA
复制
APA
复制
导出至
BibTeX EndNote RefMan NoteFirst NoteExpress
×
提示
您的信息不完整,为了账户安全,请先补充。
现在去补充
×
提示
您因"违规操作"
具体请查看互助需知
我知道了
×
提示
确定
请完成安全验证×
copy
已复制链接
快去分享给好友吧!
我知道了
右上角分享
点击右上角分享
0
联系我们:info@booksci.cn Book学术提供免费学术资源搜索服务,方便国内外学者检索中英文文献。致力于提供最便捷和优质的服务体验。 Copyright © 2023 布克学术 All rights reserved.
京ICP备2023020795号-1
ghs 京公网安备 11010802042870号
Book学术文献互助
Book学术文献互助群
群 号:604180095
Book学术官方微信