SarcoNet:结合临床和运动特征进行肌肉减少症分类的初步研究。

IF 3.3 3区 医学 Q1 MEDICINE, GENERAL & INTERNAL
Muthamil Balakrishnan, Janardanan Kumar, Jaison Jacob Mathunny, Varshini Karthik, Ashok Kumar Devaraj
{"title":"SarcoNet:结合临床和运动特征进行肌肉减少症分类的初步研究。","authors":"Muthamil Balakrishnan, Janardanan Kumar, Jaison Jacob Mathunny, Varshini Karthik, Ashok Kumar Devaraj","doi":"10.3390/diagnostics15192513","DOIUrl":null,"url":null,"abstract":"<p><p><b>Background and Objectives:</b> Sarcopenia is a progressive loss of skeletal muscle mass and function in elderly adults, posing a significant risk of frailty, falls, and morbidity. The current study designs and evaluates SarcoNet, a novel artificial neural network (ANN)-based classification framework developed in order to classify Sarcopenic from non-Sarcopenic subjects using a comprehensive real-time dataset. <b>Methods:</b> This pilot study involved 30 subjects, who were divided into Sarcopenic and non-Sarcopenic groups based on physician assessment. The collected dataset consists of thirty-one clinical parameters like skeletal muscle mass, which is collected using various equipment such as Body Composition Analyser, along with ten kinetic features which are derived from video-based gait analysis of joint angles obtained during walking on three terrain types such as slope, steps, and parallel path. The performance of the designed ANN-based SarcoNet was benchmarked against the traditional machine learning classifiers utilised including Support Vector Machine (SVM), k-Nearest Neighbours (k-NN), and Random Forest (RF), as well as hard and soft voting ensemble classifiers. <b>Results:</b> SarcoNet achieved the highest overall classification accuracy of about 94%, with a specificity and precision of about 100%, an F1-score of about 92.4%, and an AUC of 0.94, outperforming all other models. The incorporation of lower-limb joint kinetics such as knee flexion, extension, ankle plantarflexion and dorsiflexion significantly enhanced predictive capability of the model and thus reflecting the functional deterioration characteristic of muscles in Sarcopenia. <b>Conclusions:</b> SarcoNet provides a promising AI-driven solution in Sarcopenia diagnosis, especially in low-resource healthcare settings. Future work will focus on improving the dataset, validating the model across diverse populations, and incorporating explainable AI to improve clinical adoption.</p>","PeriodicalId":11225,"journal":{"name":"Diagnostics","volume":"15 19","pages":""},"PeriodicalIF":3.3000,"publicationDate":"2025-10-03","publicationTypes":"Journal Article","fieldsOfStudy":null,"isOpenAccess":false,"openAccessPdf":"https://www.ncbi.nlm.nih.gov/pmc/articles/PMC12523922/pdf/","citationCount":"0","resultStr":"{\"title\":\"SarcoNet: A Pilot Study on Integrating Clinical and Kinematic Features for Sarcopenia Classification.\",\"authors\":\"Muthamil Balakrishnan, Janardanan Kumar, Jaison Jacob Mathunny, Varshini Karthik, Ashok Kumar Devaraj\",\"doi\":\"10.3390/diagnostics15192513\",\"DOIUrl\":null,\"url\":null,\"abstract\":\"<p><p><b>Background and Objectives:</b> Sarcopenia is a progressive loss of skeletal muscle mass and function in elderly adults, posing a significant risk of frailty, falls, and morbidity. The current study designs and evaluates SarcoNet, a novel artificial neural network (ANN)-based classification framework developed in order to classify Sarcopenic from non-Sarcopenic subjects using a comprehensive real-time dataset. <b>Methods:</b> This pilot study involved 30 subjects, who were divided into Sarcopenic and non-Sarcopenic groups based on physician assessment. The collected dataset consists of thirty-one clinical parameters like skeletal muscle mass, which is collected using various equipment such as Body Composition Analyser, along with ten kinetic features which are derived from video-based gait analysis of joint angles obtained during walking on three terrain types such as slope, steps, and parallel path. The performance of the designed ANN-based SarcoNet was benchmarked against the traditional machine learning classifiers utilised including Support Vector Machine (SVM), k-Nearest Neighbours (k-NN), and Random Forest (RF), as well as hard and soft voting ensemble classifiers. <b>Results:</b> SarcoNet achieved the highest overall classification accuracy of about 94%, with a specificity and precision of about 100%, an F1-score of about 92.4%, and an AUC of 0.94, outperforming all other models. The incorporation of lower-limb joint kinetics such as knee flexion, extension, ankle plantarflexion and dorsiflexion significantly enhanced predictive capability of the model and thus reflecting the functional deterioration characteristic of muscles in Sarcopenia. <b>Conclusions:</b> SarcoNet provides a promising AI-driven solution in Sarcopenia diagnosis, especially in low-resource healthcare settings. Future work will focus on improving the dataset, validating the model across diverse populations, and incorporating explainable AI to improve clinical adoption.</p>\",\"PeriodicalId\":11225,\"journal\":{\"name\":\"Diagnostics\",\"volume\":\"15 19\",\"pages\":\"\"},\"PeriodicalIF\":3.3000,\"publicationDate\":\"2025-10-03\",\"publicationTypes\":\"Journal Article\",\"fieldsOfStudy\":null,\"isOpenAccess\":false,\"openAccessPdf\":\"https://www.ncbi.nlm.nih.gov/pmc/articles/PMC12523922/pdf/\",\"citationCount\":\"0\",\"resultStr\":null,\"platform\":\"Semanticscholar\",\"paperid\":null,\"PeriodicalName\":\"Diagnostics\",\"FirstCategoryId\":\"3\",\"ListUrlMain\":\"https://doi.org/10.3390/diagnostics15192513\",\"RegionNum\":3,\"RegionCategory\":\"医学\",\"ArticlePicture\":[],\"TitleCN\":null,\"AbstractTextCN\":null,\"PMCID\":null,\"EPubDate\":\"\",\"PubModel\":\"\",\"JCR\":\"Q1\",\"JCRName\":\"MEDICINE, GENERAL & INTERNAL\",\"Score\":null,\"Total\":0}","platform":"Semanticscholar","paperid":null,"PeriodicalName":"Diagnostics","FirstCategoryId":"3","ListUrlMain":"https://doi.org/10.3390/diagnostics15192513","RegionNum":3,"RegionCategory":"医学","ArticlePicture":[],"TitleCN":null,"AbstractTextCN":null,"PMCID":null,"EPubDate":"","PubModel":"","JCR":"Q1","JCRName":"MEDICINE, GENERAL & INTERNAL","Score":null,"Total":0}
引用次数: 0

摘要

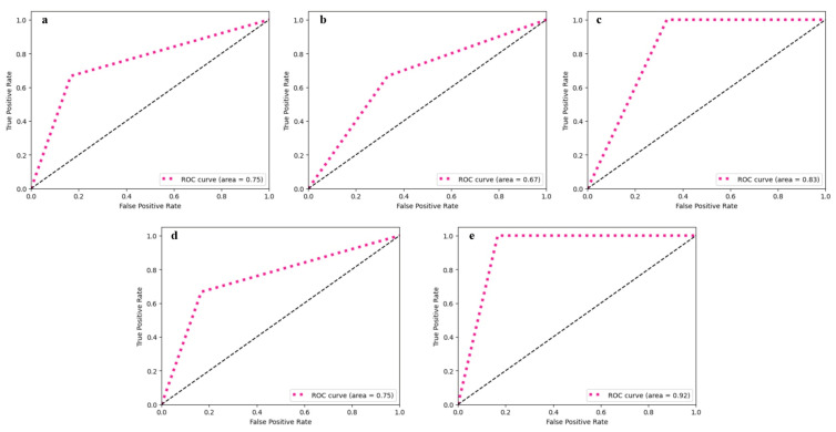
背景和目的:骨骼肌减少症是老年人骨骼肌质量和功能的进行性丧失,具有明显的虚弱、跌倒和发病风险。目前的研究设计并评估了SarcoNet,这是一种新的基于人工神经网络(ANN)的分类框架,旨在使用全面的实时数据集对肌肉减少症和非肌肉减少症受试者进行分类。方法:本初步研究纳入30名受试者,根据医师评估分为肌肉减少组和非肌肉减少组。收集到的数据集包括31个临床参数,如骨骼肌质量,这些参数是使用各种设备(如身体成分分析仪)收集的,以及10个动力学特征,这些特征来自基于视频的步态分析,该步态分析是在三种地形类型(如斜坡、台阶和平行路径)上行走时获得的关节角度。设计的基于人工神经网络的SarcoNet的性能与传统的机器学习分类器进行了基准测试,包括支持向量机(SVM)、k-近邻(k-NN)和随机森林(RF),以及硬投票和软投票集成分类器。结果:SarcoNet总体分类准确率最高,约为94%,特异性和精度约为100%,f1评分约为92.4%,AUC为0.94,优于其他所有模型。纳入膝关节屈曲、伸直、踝关节跖屈、背屈等下肢关节动力学显著增强了模型的预测能力,从而反映了肌少症患者肌肉功能退化的特征。结论:SarcoNet为肌少症诊断提供了一种有前途的人工智能驱动解决方案,特别是在资源匮乏的医疗环境中。未来的工作将侧重于改进数据集,在不同人群中验证模型,并结合可解释的人工智能来提高临床采用。
本文章由计算机程序翻译,如有差异,请以英文原文为准。

SarcoNet: A Pilot Study on Integrating Clinical and Kinematic Features for Sarcopenia Classification.

SarcoNet: A Pilot Study on Integrating Clinical and Kinematic Features for Sarcopenia Classification.

SarcoNet: A Pilot Study on Integrating Clinical and Kinematic Features for Sarcopenia Classification.

SarcoNet: A Pilot Study on Integrating Clinical and Kinematic Features for Sarcopenia Classification.

Background and Objectives: Sarcopenia is a progressive loss of skeletal muscle mass and function in elderly adults, posing a significant risk of frailty, falls, and morbidity. The current study designs and evaluates SarcoNet, a novel artificial neural network (ANN)-based classification framework developed in order to classify Sarcopenic from non-Sarcopenic subjects using a comprehensive real-time dataset. Methods: This pilot study involved 30 subjects, who were divided into Sarcopenic and non-Sarcopenic groups based on physician assessment. The collected dataset consists of thirty-one clinical parameters like skeletal muscle mass, which is collected using various equipment such as Body Composition Analyser, along with ten kinetic features which are derived from video-based gait analysis of joint angles obtained during walking on three terrain types such as slope, steps, and parallel path. The performance of the designed ANN-based SarcoNet was benchmarked against the traditional machine learning classifiers utilised including Support Vector Machine (SVM), k-Nearest Neighbours (k-NN), and Random Forest (RF), as well as hard and soft voting ensemble classifiers. Results: SarcoNet achieved the highest overall classification accuracy of about 94%, with a specificity and precision of about 100%, an F1-score of about 92.4%, and an AUC of 0.94, outperforming all other models. The incorporation of lower-limb joint kinetics such as knee flexion, extension, ankle plantarflexion and dorsiflexion significantly enhanced predictive capability of the model and thus reflecting the functional deterioration characteristic of muscles in Sarcopenia. Conclusions: SarcoNet provides a promising AI-driven solution in Sarcopenia diagnosis, especially in low-resource healthcare settings. Future work will focus on improving the dataset, validating the model across diverse populations, and incorporating explainable AI to improve clinical adoption.

求助全文
通过发布文献求助,成功后即可免费获取论文全文。 去求助
来源期刊
Diagnostics
Diagnostics Biochemistry, Genetics and Molecular Biology-Clinical Biochemistry
CiteScore
4.70
自引率
8.30%
发文量
2699
审稿时长
19.64 days
期刊介绍: Diagnostics (ISSN 2075-4418) is an international scholarly open access journal on medical diagnostics. It publishes original research articles, reviews, communications and short notes on the research and development of medical diagnostics. There is no restriction on the length of the papers. Our aim is to encourage scientists to publish their experimental and theoretical research in as much detail as possible. Full experimental and/or methodological details must be provided for research articles.
×
引用
GB/T 7714-2015
复制
MLA
复制
APA
复制
导出至
BibTeX EndNote RefMan NoteFirst NoteExpress
×
提示
您的信息不完整,为了账户安全,请先补充。
现在去补充
×
提示
您因"违规操作"
具体请查看互助需知
我知道了
×
提示
确定
请完成安全验证×
copy
已复制链接
快去分享给好友吧!
我知道了
右上角分享
点击右上角分享
0
联系我们:info@booksci.cn Book学术提供免费学术资源搜索服务,方便国内外学者检索中英文文献。致力于提供最便捷和优质的服务体验。 Copyright © 2023 布克学术 All rights reserved.
京ICP备2023020795号-1
ghs 京公网安备 11010802042870号
Book学术文献互助
Book学术文献互助群
群 号:604180095
Book学术官方微信