探讨原发性醛固酮增多症的血浆脂肪酸特征:与原发性高血压及纵向治疗效果的比较。

IF 3.3 3区 医学 Q1 MEDICINE, GENERAL & INTERNAL
Gabriele Mango, Annalisa Castagna, Patrizia Pattini, Sergio De Marchi, Carlotta Spillere, Khulah Sadia, Francesca Begali, Sara Moruzzi, Nicola Martinelli, Luigi Marzano, Simonetta Friso, Francesca Pizzolo
{"title":"探讨原发性醛固酮增多症的血浆脂肪酸特征:与原发性高血压及纵向治疗效果的比较。","authors":"Gabriele Mango, Annalisa Castagna, Patrizia Pattini, Sergio De Marchi, Carlotta Spillere, Khulah Sadia, Francesca Begali, Sara Moruzzi, Nicola Martinelli, Luigi Marzano, Simonetta Friso, Francesca Pizzolo","doi":"10.3390/diagnostics15192465","DOIUrl":null,"url":null,"abstract":"<p><p><b>Background/Objectives</b>: Fatty acids (FAs) play crucial roles in human physiology, and their levels have been associated with hypertension, although with inconsistent findings. Primary Aldosteronism (PA), a common, often underdiagnosed form of secondary hypertension, carries a higher risk of organ damage compared to essential hypertension (EH). This study aimed to compare plasma FA profiles of patients with unilateral PA and EH and explore the impact of therapies. <b>Methods</b>: Participants were recruited at the Hypertension Unit of Verona University Hospital. PA diagnosis/subtype was confirmed according to guidelines. Blood samples were collected at enrollment and at follow-up (after treatment with a mineralocorticoid receptor antagonist (MRA) and adrenalectomy). Plasma long- and very-long-chain FAs were extracted and analyzed using gas chromatography. <b>Results</b>: Each sample was assessed for a panel of 19 selected FA species. Compared to EH (<i>n</i> = 60), PA patients (<i>n</i> = 22) exhibited lower plasma levels of behenic acid (<i>p</i> = 0.03), total monounsaturated fatty acids (<i>p</i> = 0.02), specifically palmitoleic (<i>p</i> = 0.005) and erucic acids (<i>p</i> = 0.02), and higher levels of ω6 polyunsaturated fatty acids (PUFAs, <i>p</i> = 0.02). Longitudinal analysis in PA patients showed that MRAs decreased total saturated FAs (<i>p</i><sub>ADJ</sub> = 0.01) and increased total PUFAs (<i>p</i><sub>ADJ</sub> = 0.006), and these changes were largely maintained even after adrenalectomy. <b>Conclusions</b>: This pilot study reveals significant alterations in the plasma FA profiles of PA patients compared to EH, suggesting a more prominent inflammatory state in PA. Both pharmacological and surgical interventions induced a positive shift in the FA profile of PA patients. These findings highlight the potential of FAs as biomarkers for PA risk stratification and may offer novel therapeutic opportunities.</p>","PeriodicalId":11225,"journal":{"name":"Diagnostics","volume":"15 19","pages":""},"PeriodicalIF":3.3000,"publicationDate":"2025-09-26","publicationTypes":"Journal Article","fieldsOfStudy":null,"isOpenAccess":false,"openAccessPdf":"https://www.ncbi.nlm.nih.gov/pmc/articles/PMC12524198/pdf/","citationCount":"0","resultStr":"{\"title\":\"Exploring the Plasma Fatty Acid Signature of Primary Aldosteronism: Comparison with Essential Hypertension and Longitudinal Therapy Effects.\",\"authors\":\"Gabriele Mango, Annalisa Castagna, Patrizia Pattini, Sergio De Marchi, Carlotta Spillere, Khulah Sadia, Francesca Begali, Sara Moruzzi, Nicola Martinelli, Luigi Marzano, Simonetta Friso, Francesca Pizzolo\",\"doi\":\"10.3390/diagnostics15192465\",\"DOIUrl\":null,\"url\":null,\"abstract\":\"<p><p><b>Background/Objectives</b>: Fatty acids (FAs) play crucial roles in human physiology, and their levels have been associated with hypertension, although with inconsistent findings. Primary Aldosteronism (PA), a common, often underdiagnosed form of secondary hypertension, carries a higher risk of organ damage compared to essential hypertension (EH). This study aimed to compare plasma FA profiles of patients with unilateral PA and EH and explore the impact of therapies. <b>Methods</b>: Participants were recruited at the Hypertension Unit of Verona University Hospital. PA diagnosis/subtype was confirmed according to guidelines. Blood samples were collected at enrollment and at follow-up (after treatment with a mineralocorticoid receptor antagonist (MRA) and adrenalectomy). Plasma long- and very-long-chain FAs were extracted and analyzed using gas chromatography. <b>Results</b>: Each sample was assessed for a panel of 19 selected FA species. Compared to EH (<i>n</i> = 60), PA patients (<i>n</i> = 22) exhibited lower plasma levels of behenic acid (<i>p</i> = 0.03), total monounsaturated fatty acids (<i>p</i> = 0.02), specifically palmitoleic (<i>p</i> = 0.005) and erucic acids (<i>p</i> = 0.02), and higher levels of ω6 polyunsaturated fatty acids (PUFAs, <i>p</i> = 0.02). Longitudinal analysis in PA patients showed that MRAs decreased total saturated FAs (<i>p</i><sub>ADJ</sub> = 0.01) and increased total PUFAs (<i>p</i><sub>ADJ</sub> = 0.006), and these changes were largely maintained even after adrenalectomy. <b>Conclusions</b>: This pilot study reveals significant alterations in the plasma FA profiles of PA patients compared to EH, suggesting a more prominent inflammatory state in PA. Both pharmacological and surgical interventions induced a positive shift in the FA profile of PA patients. These findings highlight the potential of FAs as biomarkers for PA risk stratification and may offer novel therapeutic opportunities.</p>\",\"PeriodicalId\":11225,\"journal\":{\"name\":\"Diagnostics\",\"volume\":\"15 19\",\"pages\":\"\"},\"PeriodicalIF\":3.3000,\"publicationDate\":\"2025-09-26\",\"publicationTypes\":\"Journal Article\",\"fieldsOfStudy\":null,\"isOpenAccess\":false,\"openAccessPdf\":\"https://www.ncbi.nlm.nih.gov/pmc/articles/PMC12524198/pdf/\",\"citationCount\":\"0\",\"resultStr\":null,\"platform\":\"Semanticscholar\",\"paperid\":null,\"PeriodicalName\":\"Diagnostics\",\"FirstCategoryId\":\"3\",\"ListUrlMain\":\"https://doi.org/10.3390/diagnostics15192465\",\"RegionNum\":3,\"RegionCategory\":\"医学\",\"ArticlePicture\":[],\"TitleCN\":null,\"AbstractTextCN\":null,\"PMCID\":null,\"EPubDate\":\"\",\"PubModel\":\"\",\"JCR\":\"Q1\",\"JCRName\":\"MEDICINE, GENERAL & INTERNAL\",\"Score\":null,\"Total\":0}","platform":"Semanticscholar","paperid":null,"PeriodicalName":"Diagnostics","FirstCategoryId":"3","ListUrlMain":"https://doi.org/10.3390/diagnostics15192465","RegionNum":3,"RegionCategory":"医学","ArticlePicture":[],"TitleCN":null,"AbstractTextCN":null,"PMCID":null,"EPubDate":"","PubModel":"","JCR":"Q1","JCRName":"MEDICINE, GENERAL & INTERNAL","Score":null,"Total":0}
引用次数: 0

摘要

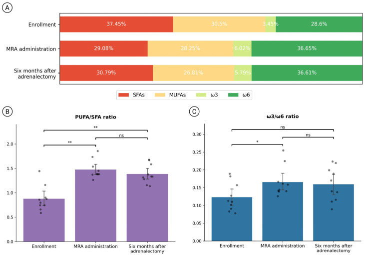
背景/目的:脂肪酸(FAs)在人体生理中起着至关重要的作用,其水平与高血压有关,尽管研究结果不一致。原发性醛固酮增多症(PA)是一种常见但常被误诊的继发性高血压,与原发性高血压(EH)相比,它具有更高的器官损伤风险。本研究旨在比较单侧PA和EH患者的血浆FA谱,并探讨治疗的影响。方法:在维罗纳大学医院高血压科招募参与者。根据指南确认PA诊断/亚型。在入组时和随访时(在矿皮质激素受体拮抗剂(MRA)治疗和肾上腺切除术后)采集血样。用气相色谱法提取和分析血浆长链和超长链脂肪酸。结果:每个样本被评估为19个选定的FA物种。与EH (n = 60)相比,PA患者(n = 22)血浆中behen酸(p = 0.03)、总单不饱和脂肪酸(p = 0.02),特别是棕榈油酸(p = 0.005)和芥酸(p = 0.02)水平较低,ω6多不饱和脂肪酸(PUFAs, p = 0.02)水平较高。PA患者的纵向分析显示,MRAs降低了总饱和FAs (pADJ = 0.01),增加了总PUFAs (pADJ = 0.006),即使在肾上腺切除术后,这些变化也基本保持不变。结论:这项初步研究显示,与EH相比,PA患者的血浆FA谱发生了显著变化,表明PA的炎症状态更为突出。药物和手术干预均可诱导PA患者FA谱的积极转变。这些发现强调了FAs作为PA风险分层生物标志物的潜力,并可能提供新的治疗机会。
本文章由计算机程序翻译,如有差异,请以英文原文为准。

Exploring the Plasma Fatty Acid Signature of Primary Aldosteronism: Comparison with Essential Hypertension and Longitudinal Therapy Effects.

Exploring the Plasma Fatty Acid Signature of Primary Aldosteronism: Comparison with Essential Hypertension and Longitudinal Therapy Effects.

Exploring the Plasma Fatty Acid Signature of Primary Aldosteronism: Comparison with Essential Hypertension and Longitudinal Therapy Effects.

Background/Objectives: Fatty acids (FAs) play crucial roles in human physiology, and their levels have been associated with hypertension, although with inconsistent findings. Primary Aldosteronism (PA), a common, often underdiagnosed form of secondary hypertension, carries a higher risk of organ damage compared to essential hypertension (EH). This study aimed to compare plasma FA profiles of patients with unilateral PA and EH and explore the impact of therapies. Methods: Participants were recruited at the Hypertension Unit of Verona University Hospital. PA diagnosis/subtype was confirmed according to guidelines. Blood samples were collected at enrollment and at follow-up (after treatment with a mineralocorticoid receptor antagonist (MRA) and adrenalectomy). Plasma long- and very-long-chain FAs were extracted and analyzed using gas chromatography. Results: Each sample was assessed for a panel of 19 selected FA species. Compared to EH (n = 60), PA patients (n = 22) exhibited lower plasma levels of behenic acid (p = 0.03), total monounsaturated fatty acids (p = 0.02), specifically palmitoleic (p = 0.005) and erucic acids (p = 0.02), and higher levels of ω6 polyunsaturated fatty acids (PUFAs, p = 0.02). Longitudinal analysis in PA patients showed that MRAs decreased total saturated FAs (pADJ = 0.01) and increased total PUFAs (pADJ = 0.006), and these changes were largely maintained even after adrenalectomy. Conclusions: This pilot study reveals significant alterations in the plasma FA profiles of PA patients compared to EH, suggesting a more prominent inflammatory state in PA. Both pharmacological and surgical interventions induced a positive shift in the FA profile of PA patients. These findings highlight the potential of FAs as biomarkers for PA risk stratification and may offer novel therapeutic opportunities.

求助全文
通过发布文献求助,成功后即可免费获取论文全文。 去求助
来源期刊
Diagnostics
Diagnostics Biochemistry, Genetics and Molecular Biology-Clinical Biochemistry
CiteScore
4.70
自引率
8.30%
发文量
2699
审稿时长
19.64 days
期刊介绍: Diagnostics (ISSN 2075-4418) is an international scholarly open access journal on medical diagnostics. It publishes original research articles, reviews, communications and short notes on the research and development of medical diagnostics. There is no restriction on the length of the papers. Our aim is to encourage scientists to publish their experimental and theoretical research in as much detail as possible. Full experimental and/or methodological details must be provided for research articles.
×
引用
GB/T 7714-2015
复制
MLA
复制
APA
复制
导出至
BibTeX EndNote RefMan NoteFirst NoteExpress
×
提示
您的信息不完整,为了账户安全,请先补充。
现在去补充
×
提示
您因"违规操作"
具体请查看互助需知
我知道了
×
提示
确定
请完成安全验证×
copy
已复制链接
快去分享给好友吧!
我知道了
右上角分享
点击右上角分享
0
联系我们:info@booksci.cn Book学术提供免费学术资源搜索服务,方便国内外学者检索中英文文献。致力于提供最便捷和优质的服务体验。 Copyright © 2023 布克学术 All rights reserved.
京ICP备2023020795号-1
ghs 京公网安备 11010802042870号
Book学术文献互助
Book学术文献互助群
群 号:604180095
Book学术官方微信