三阴性乳腺癌中肿瘤浸润淋巴细胞的评估:观察者之间的差异和影响因素。

IF 3.3 3区 医学 Q1 MEDICINE, GENERAL & INTERNAL
Nurkhairul Bariyah Baharun, Mohamed Afiq Hidayat Zailani, Afzan Adam, Qiaoyi Xu, Muaatamarulain Mustangin, Reena Rahayu Md Zin
{"title":"三阴性乳腺癌中肿瘤浸润淋巴细胞的评估:观察者之间的差异和影响因素。","authors":"Nurkhairul Bariyah Baharun, Mohamed Afiq Hidayat Zailani, Afzan Adam, Qiaoyi Xu, Muaatamarulain Mustangin, Reena Rahayu Md Zin","doi":"10.3390/diagnostics15192492","DOIUrl":null,"url":null,"abstract":"<p><p><b>Background/Objectives:</b> Tumor-infiltrating lymphocytes (TILs) are emerging as a crucial prognostic biomarker in triple-negative breast cancer (TNBC). However, their clinical utility remains constrained by the subjectivity and interobserver variability of manual scoring, despite standardization efforts by the International TILs Working Group (TIL-WG). This study aimed to evaluate the interobserver agreement among pathologists in scoring stromal and intratumoral TILs from H&E-stained TNBC slides and to identify contributing histological factors. <b>Methods:</b> Two consultant pathologists at Hospital Canselor Tuanku Muhriz, Kuala Lumpur, independently assessed 64 TNBC cases using TIL-WG guidelines. Interobserver agreement was quantified using the intraclass correlation coefficient (ICC) and Cohen's kappa coefficient. Cases with over 10% scoring discrepancies underwent review by a third pathologist, and a consensus discussion was held to explore the underlying confounders. <b>Results:</b> Our results showed moderate interobserver agreement for stromal TILs (ICC = 0.58) and strong agreement for intratumoral TILs (ICC = 0.71). Significant variability was attributed to three main confounding variables: heterogeneous TIL distribution, poorly defined tumor-stroma interface, and focal dense lymphoid infiltrates. <b>Conclusions:</b> These findings highlight the need for standardized TIL scoring protocols and suggest that validated AI-based tools may help mitigate observer variability in future TIL assessments.</p>","PeriodicalId":11225,"journal":{"name":"Diagnostics","volume":"15 19","pages":""},"PeriodicalIF":3.3000,"publicationDate":"2025-09-30","publicationTypes":"Journal Article","fieldsOfStudy":null,"isOpenAccess":false,"openAccessPdf":"https://www.ncbi.nlm.nih.gov/pmc/articles/PMC12524016/pdf/","citationCount":"0","resultStr":"{\"title\":\"Assessment of Tumor-Infiltrating Lymphocytes in Triple-Negative Breast Cancer: Interobserver Variability and Contributing Factors.\",\"authors\":\"Nurkhairul Bariyah Baharun, Mohamed Afiq Hidayat Zailani, Afzan Adam, Qiaoyi Xu, Muaatamarulain Mustangin, Reena Rahayu Md Zin\",\"doi\":\"10.3390/diagnostics15192492\",\"DOIUrl\":null,\"url\":null,\"abstract\":\"<p><p><b>Background/Objectives:</b> Tumor-infiltrating lymphocytes (TILs) are emerging as a crucial prognostic biomarker in triple-negative breast cancer (TNBC). However, their clinical utility remains constrained by the subjectivity and interobserver variability of manual scoring, despite standardization efforts by the International TILs Working Group (TIL-WG). This study aimed to evaluate the interobserver agreement among pathologists in scoring stromal and intratumoral TILs from H&E-stained TNBC slides and to identify contributing histological factors. <b>Methods:</b> Two consultant pathologists at Hospital Canselor Tuanku Muhriz, Kuala Lumpur, independently assessed 64 TNBC cases using TIL-WG guidelines. Interobserver agreement was quantified using the intraclass correlation coefficient (ICC) and Cohen's kappa coefficient. Cases with over 10% scoring discrepancies underwent review by a third pathologist, and a consensus discussion was held to explore the underlying confounders. <b>Results:</b> Our results showed moderate interobserver agreement for stromal TILs (ICC = 0.58) and strong agreement for intratumoral TILs (ICC = 0.71). Significant variability was attributed to three main confounding variables: heterogeneous TIL distribution, poorly defined tumor-stroma interface, and focal dense lymphoid infiltrates. <b>Conclusions:</b> These findings highlight the need for standardized TIL scoring protocols and suggest that validated AI-based tools may help mitigate observer variability in future TIL assessments.</p>\",\"PeriodicalId\":11225,\"journal\":{\"name\":\"Diagnostics\",\"volume\":\"15 19\",\"pages\":\"\"},\"PeriodicalIF\":3.3000,\"publicationDate\":\"2025-09-30\",\"publicationTypes\":\"Journal Article\",\"fieldsOfStudy\":null,\"isOpenAccess\":false,\"openAccessPdf\":\"https://www.ncbi.nlm.nih.gov/pmc/articles/PMC12524016/pdf/\",\"citationCount\":\"0\",\"resultStr\":null,\"platform\":\"Semanticscholar\",\"paperid\":null,\"PeriodicalName\":\"Diagnostics\",\"FirstCategoryId\":\"3\",\"ListUrlMain\":\"https://doi.org/10.3390/diagnostics15192492\",\"RegionNum\":3,\"RegionCategory\":\"医学\",\"ArticlePicture\":[],\"TitleCN\":null,\"AbstractTextCN\":null,\"PMCID\":null,\"EPubDate\":\"\",\"PubModel\":\"\",\"JCR\":\"Q1\",\"JCRName\":\"MEDICINE, GENERAL & INTERNAL\",\"Score\":null,\"Total\":0}","platform":"Semanticscholar","paperid":null,"PeriodicalName":"Diagnostics","FirstCategoryId":"3","ListUrlMain":"https://doi.org/10.3390/diagnostics15192492","RegionNum":3,"RegionCategory":"医学","ArticlePicture":[],"TitleCN":null,"AbstractTextCN":null,"PMCID":null,"EPubDate":"","PubModel":"","JCR":"Q1","JCRName":"MEDICINE, GENERAL & INTERNAL","Score":null,"Total":0}
引用次数: 0

摘要

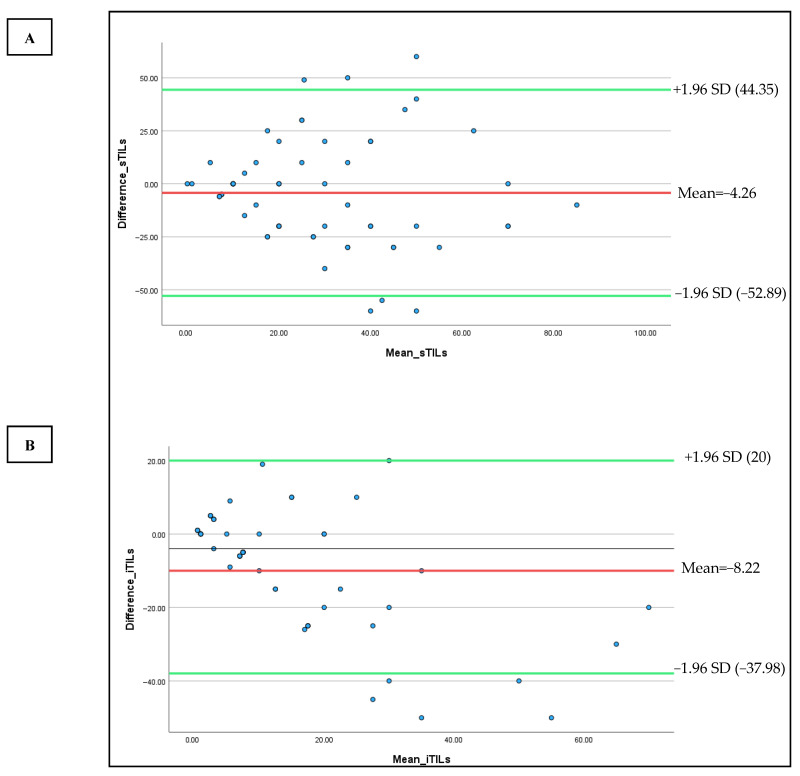
背景/目的:肿瘤浸润淋巴细胞(til)正在成为三阴性乳腺癌(TNBC)预后的重要生物标志物。然而,尽管国际TILs工作组(TIL-WG)进行了标准化工作,但其临床应用仍然受到人工评分的主观性和观察者之间的可变性的限制。本研究旨在评估病理学家之间对h&e染色TNBC载玻片间质和肿瘤内TILs评分的一致性,并确定相关的组织学因素。方法:吉隆坡Canselor Tuanku Muhriz医院的两名顾问病理学家使用TIL-WG指南独立评估64例TNBC病例。使用类内相关系数(ICC)和Cohen’s kappa系数来量化观察者间的一致性。评分差异超过10%的病例由第三位病理学家进行审查,并进行共识讨论,以探讨潜在的混杂因素。结果:我们的结果显示间质TILs的观察者间一致性中等(ICC = 0.58),瘤内TILs的观察者间一致性很强(ICC = 0.71)。显著的可变性归因于三个主要的混杂变量:异质性TIL分布、肿瘤-基质界面不明确和局灶性致密淋巴浸润。结论:这些发现强调了标准化TIL评分协议的必要性,并表明经过验证的基于人工智能的工具可能有助于减轻未来TIL评估中观察者的可变性。
本文章由计算机程序翻译,如有差异,请以英文原文为准。

Assessment of Tumor-Infiltrating Lymphocytes in Triple-Negative Breast Cancer: Interobserver Variability and Contributing Factors.

Assessment of Tumor-Infiltrating Lymphocytes in Triple-Negative Breast Cancer: Interobserver Variability and Contributing Factors.

Assessment of Tumor-Infiltrating Lymphocytes in Triple-Negative Breast Cancer: Interobserver Variability and Contributing Factors.

Assessment of Tumor-Infiltrating Lymphocytes in Triple-Negative Breast Cancer: Interobserver Variability and Contributing Factors.

Background/Objectives: Tumor-infiltrating lymphocytes (TILs) are emerging as a crucial prognostic biomarker in triple-negative breast cancer (TNBC). However, their clinical utility remains constrained by the subjectivity and interobserver variability of manual scoring, despite standardization efforts by the International TILs Working Group (TIL-WG). This study aimed to evaluate the interobserver agreement among pathologists in scoring stromal and intratumoral TILs from H&E-stained TNBC slides and to identify contributing histological factors. Methods: Two consultant pathologists at Hospital Canselor Tuanku Muhriz, Kuala Lumpur, independently assessed 64 TNBC cases using TIL-WG guidelines. Interobserver agreement was quantified using the intraclass correlation coefficient (ICC) and Cohen's kappa coefficient. Cases with over 10% scoring discrepancies underwent review by a third pathologist, and a consensus discussion was held to explore the underlying confounders. Results: Our results showed moderate interobserver agreement for stromal TILs (ICC = 0.58) and strong agreement for intratumoral TILs (ICC = 0.71). Significant variability was attributed to three main confounding variables: heterogeneous TIL distribution, poorly defined tumor-stroma interface, and focal dense lymphoid infiltrates. Conclusions: These findings highlight the need for standardized TIL scoring protocols and suggest that validated AI-based tools may help mitigate observer variability in future TIL assessments.

求助全文
通过发布文献求助,成功后即可免费获取论文全文。 去求助
来源期刊
Diagnostics
Diagnostics Biochemistry, Genetics and Molecular Biology-Clinical Biochemistry
CiteScore
4.70
自引率
8.30%
发文量
2699
审稿时长
19.64 days
期刊介绍: Diagnostics (ISSN 2075-4418) is an international scholarly open access journal on medical diagnostics. It publishes original research articles, reviews, communications and short notes on the research and development of medical diagnostics. There is no restriction on the length of the papers. Our aim is to encourage scientists to publish their experimental and theoretical research in as much detail as possible. Full experimental and/or methodological details must be provided for research articles.
×
引用
GB/T 7714-2015
复制
MLA
复制
APA
复制
导出至
BibTeX EndNote RefMan NoteFirst NoteExpress
×
提示
您的信息不完整,为了账户安全,请先补充。
现在去补充
×
提示
您因"违规操作"
具体请查看互助需知
我知道了
×
提示
确定
请完成安全验证×
copy
已复制链接
快去分享给好友吧!
我知道了
右上角分享
点击右上角分享
0
联系我们:info@booksci.cn Book学术提供免费学术资源搜索服务,方便国内外学者检索中英文文献。致力于提供最便捷和优质的服务体验。 Copyright © 2023 布克学术 All rights reserved.
京ICP备2023020795号-1
ghs 京公网安备 11010802042870号
Book学术文献互助
Book学术文献互助群
群 号:604180095
Book学术官方微信