基于人工智能的3d分割量化多发性骨髓瘤患者肌肉减少症。

IF 3.3 3区 医学 Q1 MEDICINE, GENERAL & INTERNAL
Thuy-Duong Do, Tobias Nonnenmacher, Marieke Burghardt, Stefanie Zschaebitz, Marina Hajiyianni, Elias Karl Mai, Marc-Steffen Raab, Carsten Müller-Tidow, Hans-Ulrich Kauczor, Hartmut Goldschmidt, Ulrike Dapunt
{"title":"基于人工智能的3d分割量化多发性骨髓瘤患者肌肉减少症。","authors":"Thuy-Duong Do, Tobias Nonnenmacher, Marieke Burghardt, Stefanie Zschaebitz, Marina Hajiyianni, Elias Karl Mai, Marc-Steffen Raab, Carsten Müller-Tidow, Hans-Ulrich Kauczor, Hartmut Goldschmidt, Ulrike Dapunt","doi":"10.3390/diagnostics15192466","DOIUrl":null,"url":null,"abstract":"<p><p><b>Background:</b> Sarcopenia is characterized by a loss of muscle mass and strength, resulting in functional limitations and an increased risk of falls, injuries and fractures. The aim of this study was to obtain detailed information on skeletal muscle changes in patients with multiple myeloma (MM) during treatment. <b>Methods:</b> A total of 51 patients diagnosed with MM who had undergone whole-body low-dose computed tomography acquisition prior to induction therapy (T1) and post autologous stem cell transplantation (T2) were examined retrospectively. Total volume (TV), muscle volume (MV) and intramuscular adipose tissue volume (IMAT) of the autochthonous back muscles, the iliopsoas muscle and the gluteal muscles were evaluated on the basis of the resulting masks of the BOA tool with the fully automated combination of TotalSegmentator and a body composition analysis. An in-house trained artificial intelligence network was used to obtain a fully automated three-dimensional segmentation assessment. <b>Results:</b> Patients' median age was 58 years (IQR 52-66), 38 were male and follow-up CT-scans were performed after a mean of 11.8 months (SD ± 3). Changes in MV and IMAT correlated significantly with Body-Mass-Index (BMI) (r = 0.7, <i>p</i> < 0.0001). Patients (<i>n</i> = 28) with a decrease in BMI (mean -2.2 kg/m<sup>2</sup>) during therapy lost MV (T1: 3419 cm<sup>3</sup>, IQR 3176-4000 cm<sup>3</sup> vs. T2: 3226 cm<sup>3</sup>, IQR 3014-3662 cm<sup>3</sup>, <i>p</i> < 0.0001) whereas patients (<i>n</i> = 20) with an increased BMI (mean +1.4 kg/m<sup>2</sup>) showed an increase in IMAT (T1: 122 cm<sup>3</sup>, IQR 96.8-202.8 cm<sup>3</sup> vs. T2: 145.5 cm<sup>3</sup>, IQR 115-248 cm<sup>3</sup>, <i>p</i> = 0.0002). Loss of MV varied between different muscle groups and was most prominent in the iliopsoas muscle (-9.8%) > gluteus maximus (-9.1%) > gluteus medius (-5.8%) > autochthonous back muscles (-4.3%) > gluteus minimus (-1.5%). Increase in IMAT in patients who gained weight was similar between muscle groups. <b>Conclusions:</b> The artificial intelligence-based three-dimensional segmentation process is a reliable and time-saving method to acquire in-depth information on sarcopenia in MM patients. Loss of MV and increase in IMAT were reliably detectable and associated with changes in BMI. Loss of MV was highest in muscles with more type 2 muscle fibers (fast-twitch, high energy) whereas muscles with predominantly type 1 fibers (slow-twitch, postural control) were less affected. This study provides valuable insight into muscle changes of MM patients during treatment, which might aid in tailoring exercise interventions more precisely to patients' needs.</p>","PeriodicalId":11225,"journal":{"name":"Diagnostics","volume":"15 19","pages":""},"PeriodicalIF":3.3000,"publicationDate":"2025-09-26","publicationTypes":"Journal Article","fieldsOfStudy":null,"isOpenAccess":false,"openAccessPdf":"https://www.ncbi.nlm.nih.gov/pmc/articles/PMC12523729/pdf/","citationCount":"0","resultStr":"{\"title\":\"AI-Based 3D-Segmentation Quantifies Sarcopenia in Multiple Myeloma Patients.\",\"authors\":\"Thuy-Duong Do, Tobias Nonnenmacher, Marieke Burghardt, Stefanie Zschaebitz, Marina Hajiyianni, Elias Karl Mai, Marc-Steffen Raab, Carsten Müller-Tidow, Hans-Ulrich Kauczor, Hartmut Goldschmidt, Ulrike Dapunt\",\"doi\":\"10.3390/diagnostics15192466\",\"DOIUrl\":null,\"url\":null,\"abstract\":\"<p><p><b>Background:</b> Sarcopenia is characterized by a loss of muscle mass and strength, resulting in functional limitations and an increased risk of falls, injuries and fractures. The aim of this study was to obtain detailed information on skeletal muscle changes in patients with multiple myeloma (MM) during treatment. <b>Methods:</b> A total of 51 patients diagnosed with MM who had undergone whole-body low-dose computed tomography acquisition prior to induction therapy (T1) and post autologous stem cell transplantation (T2) were examined retrospectively. Total volume (TV), muscle volume (MV) and intramuscular adipose tissue volume (IMAT) of the autochthonous back muscles, the iliopsoas muscle and the gluteal muscles were evaluated on the basis of the resulting masks of the BOA tool with the fully automated combination of TotalSegmentator and a body composition analysis. An in-house trained artificial intelligence network was used to obtain a fully automated three-dimensional segmentation assessment. <b>Results:</b> Patients' median age was 58 years (IQR 52-66), 38 were male and follow-up CT-scans were performed after a mean of 11.8 months (SD ± 3). Changes in MV and IMAT correlated significantly with Body-Mass-Index (BMI) (r = 0.7, <i>p</i> < 0.0001). Patients (<i>n</i> = 28) with a decrease in BMI (mean -2.2 kg/m<sup>2</sup>) during therapy lost MV (T1: 3419 cm<sup>3</sup>, IQR 3176-4000 cm<sup>3</sup> vs. T2: 3226 cm<sup>3</sup>, IQR 3014-3662 cm<sup>3</sup>, <i>p</i> < 0.0001) whereas patients (<i>n</i> = 20) with an increased BMI (mean +1.4 kg/m<sup>2</sup>) showed an increase in IMAT (T1: 122 cm<sup>3</sup>, IQR 96.8-202.8 cm<sup>3</sup> vs. T2: 145.5 cm<sup>3</sup>, IQR 115-248 cm<sup>3</sup>, <i>p</i> = 0.0002). Loss of MV varied between different muscle groups and was most prominent in the iliopsoas muscle (-9.8%) > gluteus maximus (-9.1%) > gluteus medius (-5.8%) > autochthonous back muscles (-4.3%) > gluteus minimus (-1.5%). Increase in IMAT in patients who gained weight was similar between muscle groups. <b>Conclusions:</b> The artificial intelligence-based three-dimensional segmentation process is a reliable and time-saving method to acquire in-depth information on sarcopenia in MM patients. Loss of MV and increase in IMAT were reliably detectable and associated with changes in BMI. Loss of MV was highest in muscles with more type 2 muscle fibers (fast-twitch, high energy) whereas muscles with predominantly type 1 fibers (slow-twitch, postural control) were less affected. This study provides valuable insight into muscle changes of MM patients during treatment, which might aid in tailoring exercise interventions more precisely to patients' needs.</p>\",\"PeriodicalId\":11225,\"journal\":{\"name\":\"Diagnostics\",\"volume\":\"15 19\",\"pages\":\"\"},\"PeriodicalIF\":3.3000,\"publicationDate\":\"2025-09-26\",\"publicationTypes\":\"Journal Article\",\"fieldsOfStudy\":null,\"isOpenAccess\":false,\"openAccessPdf\":\"https://www.ncbi.nlm.nih.gov/pmc/articles/PMC12523729/pdf/\",\"citationCount\":\"0\",\"resultStr\":null,\"platform\":\"Semanticscholar\",\"paperid\":null,\"PeriodicalName\":\"Diagnostics\",\"FirstCategoryId\":\"3\",\"ListUrlMain\":\"https://doi.org/10.3390/diagnostics15192466\",\"RegionNum\":3,\"RegionCategory\":\"医学\",\"ArticlePicture\":[],\"TitleCN\":null,\"AbstractTextCN\":null,\"PMCID\":null,\"EPubDate\":\"\",\"PubModel\":\"\",\"JCR\":\"Q1\",\"JCRName\":\"MEDICINE, GENERAL & INTERNAL\",\"Score\":null,\"Total\":0}","platform":"Semanticscholar","paperid":null,"PeriodicalName":"Diagnostics","FirstCategoryId":"3","ListUrlMain":"https://doi.org/10.3390/diagnostics15192466","RegionNum":3,"RegionCategory":"医学","ArticlePicture":[],"TitleCN":null,"AbstractTextCN":null,"PMCID":null,"EPubDate":"","PubModel":"","JCR":"Q1","JCRName":"MEDICINE, GENERAL & INTERNAL","Score":null,"Total":0}
引用次数: 0

摘要

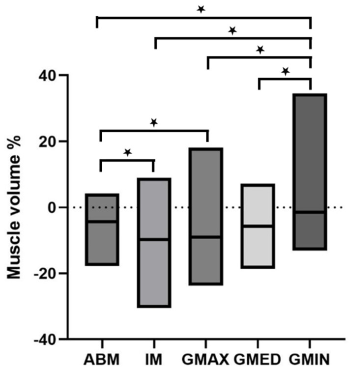
背景:肌肉减少症的特征是肌肉质量和力量的减少,导致功能限制和跌倒、受伤和骨折的风险增加。本研究的目的是获得多发性骨髓瘤(MM)患者在治疗期间骨骼肌变化的详细信息。方法:回顾性分析51例诊断为MM的患者,在诱导治疗(T1)和自体干细胞移植(T2)前接受了全身低剂量计算机断层扫描。利用全自动TotalSegmentator和体成分分析相结合的BOA工具生成的掩模,评估原位背部肌肉、髂腰肌和臀肌的总体积(TV)、肌肉体积(MV)和肌内脂肪组织体积(IMAT)。使用内部训练的人工智能网络获得全自动三维分割评估。结果:患者中位年龄58岁(IQR 52-66),男性38例,随访时间平均为11.8个月(SD±3)。MV和IMAT的变化与身体质量指数(BMI)显著相关(r = 0.7, p < 0.0001)。BMI下降(平均-2.2 kg/m2)的患者(n = 28)在治疗期间失去了MV (T1: 3419 cm3, IQR 3176-4000 cm3 vs. T2: 3226 cm3, IQR 3014-3662 cm3, p < 0.0001),而BMI增加(平均+1.4 kg/m2)的患者(n = 20) IMAT增加(T1: 122 cm3, IQR 96.8-202.8 cm3 vs. T2: 145.5 cm3, IQR 115-248 cm3, p = 0.0002)。不同肌群的MV损失不同,其中髂腰肌(-9.8%)、臀大肌(-9.1%)、臀中肌(-5.8%)、臀中肌(-4.3%)、臀小肌(-1.5%)的MV损失最为突出。体重增加的患者的IMAT增加在肌肉群之间是相似的。结论:基于人工智能的三维分割过程是一种可靠且节省时间的方法,可以获得MM患者肌少症的深入信息。MV的丧失和IMAT的增加可以可靠地检测到,并与BMI的变化相关。MV损失在2型肌纤维较多的肌肉(快速抽搐,高能量)中最高,而以1型肌纤维为主的肌肉(缓慢抽搐,姿势控制)受影响较小。这项研究为MM患者在治疗期间的肌肉变化提供了有价值的见解,这可能有助于更精确地根据患者的需要定制运动干预措施。
本文章由计算机程序翻译,如有差异,请以英文原文为准。

AI-Based 3D-Segmentation Quantifies Sarcopenia in Multiple Myeloma Patients.

AI-Based 3D-Segmentation Quantifies Sarcopenia in Multiple Myeloma Patients.

AI-Based 3D-Segmentation Quantifies Sarcopenia in Multiple Myeloma Patients.

AI-Based 3D-Segmentation Quantifies Sarcopenia in Multiple Myeloma Patients.

Background: Sarcopenia is characterized by a loss of muscle mass and strength, resulting in functional limitations and an increased risk of falls, injuries and fractures. The aim of this study was to obtain detailed information on skeletal muscle changes in patients with multiple myeloma (MM) during treatment. Methods: A total of 51 patients diagnosed with MM who had undergone whole-body low-dose computed tomography acquisition prior to induction therapy (T1) and post autologous stem cell transplantation (T2) were examined retrospectively. Total volume (TV), muscle volume (MV) and intramuscular adipose tissue volume (IMAT) of the autochthonous back muscles, the iliopsoas muscle and the gluteal muscles were evaluated on the basis of the resulting masks of the BOA tool with the fully automated combination of TotalSegmentator and a body composition analysis. An in-house trained artificial intelligence network was used to obtain a fully automated three-dimensional segmentation assessment. Results: Patients' median age was 58 years (IQR 52-66), 38 were male and follow-up CT-scans were performed after a mean of 11.8 months (SD ± 3). Changes in MV and IMAT correlated significantly with Body-Mass-Index (BMI) (r = 0.7, p < 0.0001). Patients (n = 28) with a decrease in BMI (mean -2.2 kg/m2) during therapy lost MV (T1: 3419 cm3, IQR 3176-4000 cm3 vs. T2: 3226 cm3, IQR 3014-3662 cm3, p < 0.0001) whereas patients (n = 20) with an increased BMI (mean +1.4 kg/m2) showed an increase in IMAT (T1: 122 cm3, IQR 96.8-202.8 cm3 vs. T2: 145.5 cm3, IQR 115-248 cm3, p = 0.0002). Loss of MV varied between different muscle groups and was most prominent in the iliopsoas muscle (-9.8%) > gluteus maximus (-9.1%) > gluteus medius (-5.8%) > autochthonous back muscles (-4.3%) > gluteus minimus (-1.5%). Increase in IMAT in patients who gained weight was similar between muscle groups. Conclusions: The artificial intelligence-based three-dimensional segmentation process is a reliable and time-saving method to acquire in-depth information on sarcopenia in MM patients. Loss of MV and increase in IMAT were reliably detectable and associated with changes in BMI. Loss of MV was highest in muscles with more type 2 muscle fibers (fast-twitch, high energy) whereas muscles with predominantly type 1 fibers (slow-twitch, postural control) were less affected. This study provides valuable insight into muscle changes of MM patients during treatment, which might aid in tailoring exercise interventions more precisely to patients' needs.

求助全文
通过发布文献求助,成功后即可免费获取论文全文。 去求助
来源期刊
Diagnostics
Diagnostics Biochemistry, Genetics and Molecular Biology-Clinical Biochemistry
CiteScore
4.70
自引率
8.30%
发文量
2699
审稿时长
19.64 days
期刊介绍: Diagnostics (ISSN 2075-4418) is an international scholarly open access journal on medical diagnostics. It publishes original research articles, reviews, communications and short notes on the research and development of medical diagnostics. There is no restriction on the length of the papers. Our aim is to encourage scientists to publish their experimental and theoretical research in as much detail as possible. Full experimental and/or methodological details must be provided for research articles.
×
引用
GB/T 7714-2015
复制
MLA
复制
APA
复制
导出至
BibTeX EndNote RefMan NoteFirst NoteExpress
×
提示
您的信息不完整,为了账户安全,请先补充。
现在去补充
×
提示
您因"违规操作"
具体请查看互助需知
我知道了
×
提示
确定
请完成安全验证×
copy
已复制链接
快去分享给好友吧!
我知道了
右上角分享
点击右上角分享
0
联系我们:info@booksci.cn Book学术提供免费学术资源搜索服务,方便国内外学者检索中英文文献。致力于提供最便捷和优质的服务体验。 Copyright © 2023 布克学术 All rights reserved.
京ICP备2023020795号-1
ghs 京公网安备 11010802042870号
Book学术文献互助
Book学术文献互助群
群 号:604180095
Book学术官方微信