绿色合成的MnFe₂O₄/GO纳米复合材料:结构表征、细胞毒性和靶向宫颈癌治疗的潜力。

IF 6 2区 医学 Q1 ONCOLOGY
Amany I Almars
{"title":"绿色合成的MnFe₂O₄/GO纳米复合材料:结构表征、细胞毒性和靶向宫颈癌治疗的潜力。","authors":"Amany I Almars","doi":"10.1186/s12935-025-03953-1","DOIUrl":null,"url":null,"abstract":"<p><p>Cervical cancer remains a major global health challenge, with high mortality rates particularly in developing countries, and is often associated with poor prognosis in advanced stages. The limitations of conventional chemotherapeutics, such as systemic toxicity, poor targeting efficiency, and drug resistance, have prompted the exploration of nanotechnology-based therapeutic strategies. In this study, manganese ferrite (MnFe₂O₄) nanoparticles were synthesized via both chemical co-precipitation and a green hydrothermal method employing Urtica (nettle) extract as a natural reducing and stabilizing agent. Graphene oxide (GO) nanosheets were prepared through a modified Hummers method and integrated with MnFe₂O₄ to form MnFe₂O₄/GO nanocomposites. Physicochemical characterization using FT-IR, XRD, SEM-EDX, TEM, and DLS confirmed the successful synthesis of pure, crystalline spinel MnFe₂O₄ and its stable incorporation into GO matrices, with particle sizes in the nanoscale range and negative zeta potentials supporting colloidal stability. Magnetic measurements revealed superparamagnetic behavior for all samples, with saturation magnetization (Ms) values of 55 emu/g for pristine MnFe₂O₄, 40 emu/g for green-synthesized MnFe₂O₄, and 25 emu/g for MnFe₂O₄/GO, remaining within ranges suitable for magnetic targeting and hyperthermia. In vitro cytotoxicity against HeLa cells demonstrated enhanced anticancer activity for the MnFe₂O₄/GO composite (IC₅₀ = 120.7 µg/mL) compared to MnFe₂O₄ (IC₅₀ = 200.7 µg/mL) and GO (IC₅₀ = 1202 µg/mL), indicating a synergistic effect. qPCR analysis showed significant upregulation of pro-apoptotic genes (BAX, Caspase-3) and downregulation of the anti-apoptotic gene (Bcl-2), confirming apoptosis induction as a key mechanism of action. The results highlight MnFe₂O₄/GO nanocomposites as promising multifunctional platforms for targeted cervical cancer therapy, with combined magnetic responsiveness, structural stability, and potent pro-apoptotic activity.</p>","PeriodicalId":9385,"journal":{"name":"Cancer Cell International","volume":"25 1","pages":"355"},"PeriodicalIF":6.0000,"publicationDate":"2025-10-15","publicationTypes":"Journal Article","fieldsOfStudy":null,"isOpenAccess":false,"openAccessPdf":"https://www.ncbi.nlm.nih.gov/pmc/articles/PMC12523175/pdf/","citationCount":"0","resultStr":"{\"title\":\"Green-synthesized MnFe₂O₄/GO nanocomposites: structural characterization, cytotoxicity, and potential for targeted cervical cancer therapy.\",\"authors\":\"Amany I Almars\",\"doi\":\"10.1186/s12935-025-03953-1\",\"DOIUrl\":null,\"url\":null,\"abstract\":\"<p><p>Cervical cancer remains a major global health challenge, with high mortality rates particularly in developing countries, and is often associated with poor prognosis in advanced stages. The limitations of conventional chemotherapeutics, such as systemic toxicity, poor targeting efficiency, and drug resistance, have prompted the exploration of nanotechnology-based therapeutic strategies. In this study, manganese ferrite (MnFe₂O₄) nanoparticles were synthesized via both chemical co-precipitation and a green hydrothermal method employing Urtica (nettle) extract as a natural reducing and stabilizing agent. Graphene oxide (GO) nanosheets were prepared through a modified Hummers method and integrated with MnFe₂O₄ to form MnFe₂O₄/GO nanocomposites. Physicochemical characterization using FT-IR, XRD, SEM-EDX, TEM, and DLS confirmed the successful synthesis of pure, crystalline spinel MnFe₂O₄ and its stable incorporation into GO matrices, with particle sizes in the nanoscale range and negative zeta potentials supporting colloidal stability. Magnetic measurements revealed superparamagnetic behavior for all samples, with saturation magnetization (Ms) values of 55 emu/g for pristine MnFe₂O₄, 40 emu/g for green-synthesized MnFe₂O₄, and 25 emu/g for MnFe₂O₄/GO, remaining within ranges suitable for magnetic targeting and hyperthermia. In vitro cytotoxicity against HeLa cells demonstrated enhanced anticancer activity for the MnFe₂O₄/GO composite (IC₅₀ = 120.7 µg/mL) compared to MnFe₂O₄ (IC₅₀ = 200.7 µg/mL) and GO (IC₅₀ = 1202 µg/mL), indicating a synergistic effect. qPCR analysis showed significant upregulation of pro-apoptotic genes (BAX, Caspase-3) and downregulation of the anti-apoptotic gene (Bcl-2), confirming apoptosis induction as a key mechanism of action. The results highlight MnFe₂O₄/GO nanocomposites as promising multifunctional platforms for targeted cervical cancer therapy, with combined magnetic responsiveness, structural stability, and potent pro-apoptotic activity.</p>\",\"PeriodicalId\":9385,\"journal\":{\"name\":\"Cancer Cell International\",\"volume\":\"25 1\",\"pages\":\"355\"},\"PeriodicalIF\":6.0000,\"publicationDate\":\"2025-10-15\",\"publicationTypes\":\"Journal Article\",\"fieldsOfStudy\":null,\"isOpenAccess\":false,\"openAccessPdf\":\"https://www.ncbi.nlm.nih.gov/pmc/articles/PMC12523175/pdf/\",\"citationCount\":\"0\",\"resultStr\":null,\"platform\":\"Semanticscholar\",\"paperid\":null,\"PeriodicalName\":\"Cancer Cell International\",\"FirstCategoryId\":\"3\",\"ListUrlMain\":\"https://doi.org/10.1186/s12935-025-03953-1\",\"RegionNum\":2,\"RegionCategory\":\"医学\",\"ArticlePicture\":[],\"TitleCN\":null,\"AbstractTextCN\":null,\"PMCID\":null,\"EPubDate\":\"\",\"PubModel\":\"\",\"JCR\":\"Q1\",\"JCRName\":\"ONCOLOGY\",\"Score\":null,\"Total\":0}","platform":"Semanticscholar","paperid":null,"PeriodicalName":"Cancer Cell International","FirstCategoryId":"3","ListUrlMain":"https://doi.org/10.1186/s12935-025-03953-1","RegionNum":2,"RegionCategory":"医学","ArticlePicture":[],"TitleCN":null,"AbstractTextCN":null,"PMCID":null,"EPubDate":"","PubModel":"","JCR":"Q1","JCRName":"ONCOLOGY","Score":null,"Total":0}
引用次数: 0

摘要

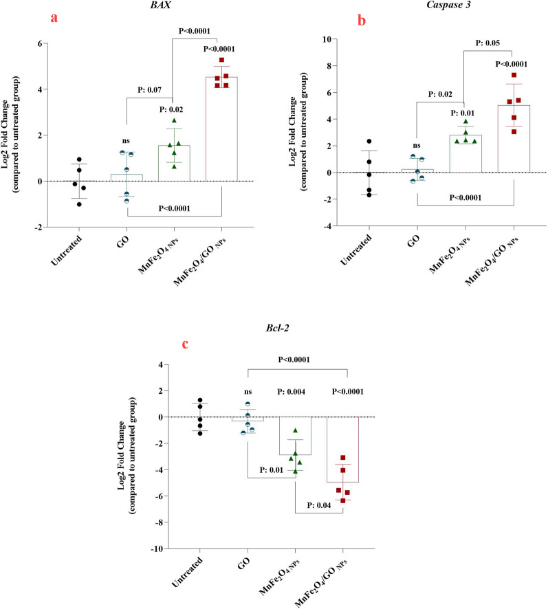
子宫颈癌仍然是一项重大的全球健康挑战,死亡率很高,特别是在发展中国家,而且往往与晚期预后不良有关。传统化疗药物的局限性,如全身毒性、低靶向效率和耐药,促使了基于纳米技术的治疗策略的探索。本研究以荨麻提取物为天然还原剂和稳定剂,采用化学共沉淀法和绿色水热法制备了铁酸锰(MnFe₂O₄)纳米颗粒。采用改进的Hummers法制备氧化石墨烯(GO)纳米片,并与MnFe₂O₄结合形成MnFe₂O₄/GO纳米复合材料。通过FT-IR、XRD、SEM-EDX、TEM和DLS等物理化学表征,证实了制备出纯净的结晶尖晶石MnFe₂O₄,并稳定地掺入氧化石墨烯基体中,其粒径在纳米级范围内,负zeta电位支持胶体稳定性。磁性测量显示所有样品的超顺磁性行为,原始MnFe₂O₄的饱和磁化(Ms)值为55 emu/g,绿色合成MnFe₂O₄的饱和磁化(Ms)值为40 emu/g, MnFe₂O₄/GO的饱和磁化(Ms)值为25 emu/g,保持在适合磁靶向和热疗的范围内。对HeLa细胞的体外细胞毒性表明,与MnFe₂O₄(IC₅₀= 200.7µg/mL)和GO (IC₅₀= 1202µg/mL)相比,MnFe₂O₄/GO复合物(IC₅₀= 120.7µg/mL)的抗癌活性增强,表明协同作用。qPCR分析显示促凋亡基因(BAX、Caspase-3)显著上调,抗凋亡基因(Bcl-2)显著下调,证实诱导凋亡是其关键作用机制。结果表明,MnFe₂O₄/GO纳米复合材料具有磁性响应性、结构稳定性和强大的促凋亡活性,是靶向宫颈癌治疗的有前途的多功能平台。
本文章由计算机程序翻译,如有差异,请以英文原文为准。

Green-synthesized MnFe₂O₄/GO nanocomposites: structural characterization, cytotoxicity, and potential for targeted cervical cancer therapy.

Green-synthesized MnFe₂O₄/GO nanocomposites: structural characterization, cytotoxicity, and potential for targeted cervical cancer therapy.

Green-synthesized MnFe₂O₄/GO nanocomposites: structural characterization, cytotoxicity, and potential for targeted cervical cancer therapy.

Green-synthesized MnFe₂O₄/GO nanocomposites: structural characterization, cytotoxicity, and potential for targeted cervical cancer therapy.

Cervical cancer remains a major global health challenge, with high mortality rates particularly in developing countries, and is often associated with poor prognosis in advanced stages. The limitations of conventional chemotherapeutics, such as systemic toxicity, poor targeting efficiency, and drug resistance, have prompted the exploration of nanotechnology-based therapeutic strategies. In this study, manganese ferrite (MnFe₂O₄) nanoparticles were synthesized via both chemical co-precipitation and a green hydrothermal method employing Urtica (nettle) extract as a natural reducing and stabilizing agent. Graphene oxide (GO) nanosheets were prepared through a modified Hummers method and integrated with MnFe₂O₄ to form MnFe₂O₄/GO nanocomposites. Physicochemical characterization using FT-IR, XRD, SEM-EDX, TEM, and DLS confirmed the successful synthesis of pure, crystalline spinel MnFe₂O₄ and its stable incorporation into GO matrices, with particle sizes in the nanoscale range and negative zeta potentials supporting colloidal stability. Magnetic measurements revealed superparamagnetic behavior for all samples, with saturation magnetization (Ms) values of 55 emu/g for pristine MnFe₂O₄, 40 emu/g for green-synthesized MnFe₂O₄, and 25 emu/g for MnFe₂O₄/GO, remaining within ranges suitable for magnetic targeting and hyperthermia. In vitro cytotoxicity against HeLa cells demonstrated enhanced anticancer activity for the MnFe₂O₄/GO composite (IC₅₀ = 120.7 µg/mL) compared to MnFe₂O₄ (IC₅₀ = 200.7 µg/mL) and GO (IC₅₀ = 1202 µg/mL), indicating a synergistic effect. qPCR analysis showed significant upregulation of pro-apoptotic genes (BAX, Caspase-3) and downregulation of the anti-apoptotic gene (Bcl-2), confirming apoptosis induction as a key mechanism of action. The results highlight MnFe₂O₄/GO nanocomposites as promising multifunctional platforms for targeted cervical cancer therapy, with combined magnetic responsiveness, structural stability, and potent pro-apoptotic activity.

求助全文
通过发布文献求助,成功后即可免费获取论文全文。 去求助
来源期刊
CiteScore
10.90
自引率
1.70%
发文量
360
审稿时长
1 months
期刊介绍: Cancer Cell International publishes articles on all aspects of cancer cell biology, originating largely from, but not limited to, work using cell culture techniques. The journal focuses on novel cancer studies reporting data from biological experiments performed on cells grown in vitro, in two- or three-dimensional systems, and/or in vivo (animal experiments). These types of experiments have provided crucial data in many fields, from cell proliferation and transformation, to epithelial-mesenchymal interaction, to apoptosis, and host immune response to tumors. Cancer Cell International also considers articles that focus on novel technologies or novel pathways in molecular analysis and on epidemiological studies that may affect patient care, as well as articles reporting translational cancer research studies where in vitro discoveries are bridged to the clinic. As such, the journal is interested in laboratory and animal studies reporting on novel biomarkers of tumor progression and response to therapy and on their applicability to human cancers.
×
引用
GB/T 7714-2015
复制
MLA
复制
APA
复制
导出至
BibTeX EndNote RefMan NoteFirst NoteExpress
×
提示
您的信息不完整,为了账户安全,请先补充。
现在去补充
×
提示
您因"违规操作"
具体请查看互助需知
我知道了
×
提示
确定
请完成安全验证×
copy
已复制链接
快去分享给好友吧!
我知道了
右上角分享
点击右上角分享
0
联系我们:info@booksci.cn Book学术提供免费学术资源搜索服务,方便国内外学者检索中英文文献。致力于提供最便捷和优质的服务体验。 Copyright © 2023 布克学术 All rights reserved.
京ICP备2023020795号-1
ghs 京公网安备 11010802042870号
Book学术文献互助
Book学术文献互助群
群 号:604180095
Book学术官方微信