一种商业使用的防臭剂对草地收获期间狍的保护效果无影响。

IF 2.7 2区 农林科学 Q1 AGRICULTURE, DAIRY & ANIMAL SCIENCE
Animals Pub Date : 2025-10-09 DOI:10.3390/ani15192932
Jan Cukor, Klára Matějka Košinová, Rostislav Linda, Vlastimil Skoták, Richard Ševčík, Tereza Červená, Kateřina Brynychová, Zdeněk Vacek
{"title":"一种商业使用的防臭剂对草地收获期间狍的保护效果无影响。","authors":"Jan Cukor, Klára Matějka Košinová, Rostislav Linda, Vlastimil Skoták, Richard Ševčík, Tereza Červená, Kateřina Brynychová, Zdeněk Vacek","doi":"10.3390/ani15192932","DOIUrl":null,"url":null,"abstract":"<p><p>In Central Europe, the fawning season of roe deer (<i>Capreolus capreolus</i>) directly overlaps with meadow and alfalfa harvest, typically from late May to early June. During these operations, tens or more likely hundreds of thousands of fawns are mutilated by agricultural machinery. To mitigate this unethical mortality, wildlife managers often deploy odor repellents to drive roe deer individuals from high-risk fields before mowing. Therefore, we evaluated repellent efficacy in a paired design. The abundance of roe deer was quantified by drones equipped with thermal cameras before and after repellent application and then compared with untreated control meadows. Results showed high adult abundance that did not differ significantly among treatments. The highest median was paradoxically observed on meadows \"after application\" (8.25 ind./10 ha), followed by \"not treated\" meadows (7.92 ind./10 ha), and \"before application\" (5.72 ind./10 ha). For fawns, differences between treated and untreated plots were likewise non-significant. Their numbers increased over time after application, consistent with the peak of parturition in the second half of May. Overall, the study confirms that the tested odor repellent, when applied according to the manufacturer's protocol, did not reduce roe deer presence on meadows. This underscores the need to consider alternative approaches, such as the use of thermal-imaging drones combined with the subsequent translocation of detected fawns to safe locations.</p>","PeriodicalId":7955,"journal":{"name":"Animals","volume":"15 19","pages":""},"PeriodicalIF":2.7000,"publicationDate":"2025-10-09","publicationTypes":"Journal Article","fieldsOfStudy":null,"isOpenAccess":false,"openAccessPdf":"https://www.ncbi.nlm.nih.gov/pmc/articles/PMC12523241/pdf/","citationCount":"0","resultStr":"{\"title\":\"No Effect of a Commercially Used Odor Repellent for Roe Deer (<i>Capreolus capreolus</i>) Protection During Meadow Harvest.\",\"authors\":\"Jan Cukor, Klára Matějka Košinová, Rostislav Linda, Vlastimil Skoták, Richard Ševčík, Tereza Červená, Kateřina Brynychová, Zdeněk Vacek\",\"doi\":\"10.3390/ani15192932\",\"DOIUrl\":null,\"url\":null,\"abstract\":\"<p><p>In Central Europe, the fawning season of roe deer (<i>Capreolus capreolus</i>) directly overlaps with meadow and alfalfa harvest, typically from late May to early June. During these operations, tens or more likely hundreds of thousands of fawns are mutilated by agricultural machinery. To mitigate this unethical mortality, wildlife managers often deploy odor repellents to drive roe deer individuals from high-risk fields before mowing. Therefore, we evaluated repellent efficacy in a paired design. The abundance of roe deer was quantified by drones equipped with thermal cameras before and after repellent application and then compared with untreated control meadows. Results showed high adult abundance that did not differ significantly among treatments. The highest median was paradoxically observed on meadows \\\"after application\\\" (8.25 ind./10 ha), followed by \\\"not treated\\\" meadows (7.92 ind./10 ha), and \\\"before application\\\" (5.72 ind./10 ha). For fawns, differences between treated and untreated plots were likewise non-significant. Their numbers increased over time after application, consistent with the peak of parturition in the second half of May. Overall, the study confirms that the tested odor repellent, when applied according to the manufacturer's protocol, did not reduce roe deer presence on meadows. This underscores the need to consider alternative approaches, such as the use of thermal-imaging drones combined with the subsequent translocation of detected fawns to safe locations.</p>\",\"PeriodicalId\":7955,\"journal\":{\"name\":\"Animals\",\"volume\":\"15 19\",\"pages\":\"\"},\"PeriodicalIF\":2.7000,\"publicationDate\":\"2025-10-09\",\"publicationTypes\":\"Journal Article\",\"fieldsOfStudy\":null,\"isOpenAccess\":false,\"openAccessPdf\":\"https://www.ncbi.nlm.nih.gov/pmc/articles/PMC12523241/pdf/\",\"citationCount\":\"0\",\"resultStr\":null,\"platform\":\"Semanticscholar\",\"paperid\":null,\"PeriodicalName\":\"Animals\",\"FirstCategoryId\":\"97\",\"ListUrlMain\":\"https://doi.org/10.3390/ani15192932\",\"RegionNum\":2,\"RegionCategory\":\"农林科学\",\"ArticlePicture\":[],\"TitleCN\":null,\"AbstractTextCN\":null,\"PMCID\":null,\"EPubDate\":\"\",\"PubModel\":\"\",\"JCR\":\"Q1\",\"JCRName\":\"AGRICULTURE, DAIRY & ANIMAL SCIENCE\",\"Score\":null,\"Total\":0}","platform":"Semanticscholar","paperid":null,"PeriodicalName":"Animals","FirstCategoryId":"97","ListUrlMain":"https://doi.org/10.3390/ani15192932","RegionNum":2,"RegionCategory":"农林科学","ArticlePicture":[],"TitleCN":null,"AbstractTextCN":null,"PMCID":null,"EPubDate":"","PubModel":"","JCR":"Q1","JCRName":"AGRICULTURE, DAIRY & ANIMAL SCIENCE","Score":null,"Total":0}
引用次数: 0

摘要

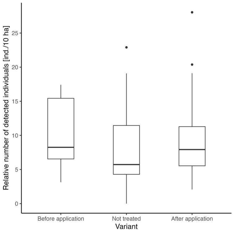
在中欧,狍(Capreolus Capreolus)的产犊季节与草地和苜蓿的收获季节直接重叠,通常从5月下旬到6月初。在这些操作中,成千上万的小鹿被农业机械肢解。为了减少这种不道德的死亡,野生动物管理者经常在割草前部署气味驱避剂,将狍赶出高风险的田地。因此,我们在配对设计中评估驱避效果。在驱避剂施药前后,利用配备热像仪的无人机对狍的丰度进行量化,并与未处理的对照草地进行比较。结果显示高成虫丰度在不同处理间无显著差异。矛盾的是,在“施用后”的草地上观察到最高的中位数(8.25个/10公顷),其次是“未处理”的草地(7.92个/10公顷)和“施用前”的草地(5.72个/10公顷)。对于小鹿,处理和未处理地块之间的差异同样不显著。申请后,它们的数量随着时间的推移而增加,与5月下半月的分娩高峰一致。总的来说,研究证实,测试的气味驱避剂,当根据制造商的协议使用时,并没有减少狍在草地上的存在。这强调了考虑替代方法的必要性,例如使用热成像无人机结合随后将检测到的小鹿转移到安全位置。
本文章由计算机程序翻译,如有差异,请以英文原文为准。

No Effect of a Commercially Used Odor Repellent for Roe Deer (<i>Capreolus capreolus</i>) Protection During Meadow Harvest.

No Effect of a Commercially Used Odor Repellent for Roe Deer (<i>Capreolus capreolus</i>) Protection During Meadow Harvest.

No Effect of a Commercially Used Odor Repellent for Roe Deer (<i>Capreolus capreolus</i>) Protection During Meadow Harvest.

No Effect of a Commercially Used Odor Repellent for Roe Deer (Capreolus capreolus) Protection During Meadow Harvest.

In Central Europe, the fawning season of roe deer (Capreolus capreolus) directly overlaps with meadow and alfalfa harvest, typically from late May to early June. During these operations, tens or more likely hundreds of thousands of fawns are mutilated by agricultural machinery. To mitigate this unethical mortality, wildlife managers often deploy odor repellents to drive roe deer individuals from high-risk fields before mowing. Therefore, we evaluated repellent efficacy in a paired design. The abundance of roe deer was quantified by drones equipped with thermal cameras before and after repellent application and then compared with untreated control meadows. Results showed high adult abundance that did not differ significantly among treatments. The highest median was paradoxically observed on meadows "after application" (8.25 ind./10 ha), followed by "not treated" meadows (7.92 ind./10 ha), and "before application" (5.72 ind./10 ha). For fawns, differences between treated and untreated plots were likewise non-significant. Their numbers increased over time after application, consistent with the peak of parturition in the second half of May. Overall, the study confirms that the tested odor repellent, when applied according to the manufacturer's protocol, did not reduce roe deer presence on meadows. This underscores the need to consider alternative approaches, such as the use of thermal-imaging drones combined with the subsequent translocation of detected fawns to safe locations.

求助全文
通过发布文献求助,成功后即可免费获取论文全文。 去求助
来源期刊
Animals
Animals Agricultural and Biological Sciences-Animal Science and Zoology
CiteScore
4.90
自引率
16.70%
发文量
3015
审稿时长
20.52 days
期刊介绍: Animals (ISSN 2076-2615) is an international and interdisciplinary scholarly open access journal. It publishes original research articles, reviews, communications, and short notes that are relevant to any field of study that involves animals, including zoology, ethnozoology, animal science, animal ethics and animal welfare. However, preference will be given to those articles that provide an understanding of animals within a larger context (i.e., the animals'' interactions with the outside world, including humans). There is no restriction on the length of the papers. Our aim is to encourage scientists to publish their experimental and theoretical research in as much detail as possible. Full experimental details and/or method of study, must be provided for research articles. Articles submitted that involve subjecting animals to unnecessary pain or suffering will not be accepted, and all articles must be submitted with the necessary ethical approval (please refer to the Ethical Guidelines for more information).
×
引用
GB/T 7714-2015
复制
MLA
复制
APA
复制
导出至
BibTeX EndNote RefMan NoteFirst NoteExpress
×
提示
您的信息不完整,为了账户安全,请先补充。
现在去补充
×
提示
您因"违规操作"
具体请查看互助需知
我知道了
×
提示
确定
请完成安全验证×
copy
已复制链接
快去分享给好友吧!
我知道了
右上角分享
点击右上角分享
0
联系我们:info@booksci.cn Book学术提供免费学术资源搜索服务,方便国内外学者检索中英文文献。致力于提供最便捷和优质的服务体验。 Copyright © 2023 布克学术 All rights reserved.
京ICP备2023020795号-1
ghs 京公网安备 11010802042870号
Book学术文献互助
Book学术文献互助群
群 号:604180095
Book学术官方微信