温度高于100°C时聚合物电解质燃料电池内部气体扩散层氧分压的可视化

IF 3.5 4区 化学 Q2 ELECTROCHEMISTRY
Christopher L. Schreiber, Anna M. Kapulwa, Sonja Blaseio, Hui Jing Cham, Mehtap Oezaslan, Junji Inukai
{"title":"温度高于100°C时聚合物电解质燃料电池内部气体扩散层氧分压的可视化","authors":"Christopher L. Schreiber,&nbsp;Anna M. Kapulwa,&nbsp;Sonja Blaseio,&nbsp;Hui Jing Cham,&nbsp;Mehtap Oezaslan,&nbsp;Junji Inukai","doi":"10.1002/celc.202500139","DOIUrl":null,"url":null,"abstract":"<p>Physical and chemical parameters, such as temperature, water/hydrogen/oxygen partial pressures, are distributed inhomogeneous inside a polymer electrolyte fuel cell during the operation and have a large influence on its performance and durability. In this study, the oxygen partial pressure (<i>p</i>(O<sub>2</sub>)) is visualized in real-time/space using an oxygen-sensitive dye on the surface of the gas diffusion layer (GDL) during power generation at temperatures of 80, 100, and 110 °C using a 20 mm × 20 mm single cell with ten straight gas flow channels. <i>p</i>(O<sub>2</sub>) on the surface of the GDL is visualized for the first time at temperatures higher than 100 °C, desired especially for heavy-duty vehicle application, due to advantages such as less susceptibility to catalyst poisoning and the option to use smaller and lighter radiators. The oxygen partial pressure on the surface of the GDLs is monitored to be higher than the values expected from a simple model and decreased only slightly along the gas flow channel with increasing current densities. The work shows that high <i>p</i>(O<sub>2</sub>) on the surface of the GDL is due to the short gas flow channels and accumulating water/vapor inside the GDL and the catalyst layer limiting the gas diffusion.</p>","PeriodicalId":142,"journal":{"name":"ChemElectroChem","volume":"12 20","pages":""},"PeriodicalIF":3.5000,"publicationDate":"2025-08-29","publicationTypes":"Journal Article","fieldsOfStudy":null,"isOpenAccess":false,"openAccessPdf":"https://chemistry-europe.onlinelibrary.wiley.com/doi/epdf/10.1002/celc.202500139","citationCount":"0","resultStr":"{\"title\":\"Visualization of the Oxygen Partial Pressure on the Gas Diffusion Layer inside a Polymer Electrolyte Fuel Cell during Cell Operation at Temperatures Higher than 100 °C\",\"authors\":\"Christopher L. Schreiber,&nbsp;Anna M. Kapulwa,&nbsp;Sonja Blaseio,&nbsp;Hui Jing Cham,&nbsp;Mehtap Oezaslan,&nbsp;Junji Inukai\",\"doi\":\"10.1002/celc.202500139\",\"DOIUrl\":null,\"url\":null,\"abstract\":\"<p>Physical and chemical parameters, such as temperature, water/hydrogen/oxygen partial pressures, are distributed inhomogeneous inside a polymer electrolyte fuel cell during the operation and have a large influence on its performance and durability. In this study, the oxygen partial pressure (<i>p</i>(O<sub>2</sub>)) is visualized in real-time/space using an oxygen-sensitive dye on the surface of the gas diffusion layer (GDL) during power generation at temperatures of 80, 100, and 110 °C using a 20 mm × 20 mm single cell with ten straight gas flow channels. <i>p</i>(O<sub>2</sub>) on the surface of the GDL is visualized for the first time at temperatures higher than 100 °C, desired especially for heavy-duty vehicle application, due to advantages such as less susceptibility to catalyst poisoning and the option to use smaller and lighter radiators. The oxygen partial pressure on the surface of the GDLs is monitored to be higher than the values expected from a simple model and decreased only slightly along the gas flow channel with increasing current densities. The work shows that high <i>p</i>(O<sub>2</sub>) on the surface of the GDL is due to the short gas flow channels and accumulating water/vapor inside the GDL and the catalyst layer limiting the gas diffusion.</p>\",\"PeriodicalId\":142,\"journal\":{\"name\":\"ChemElectroChem\",\"volume\":\"12 20\",\"pages\":\"\"},\"PeriodicalIF\":3.5000,\"publicationDate\":\"2025-08-29\",\"publicationTypes\":\"Journal Article\",\"fieldsOfStudy\":null,\"isOpenAccess\":false,\"openAccessPdf\":\"https://chemistry-europe.onlinelibrary.wiley.com/doi/epdf/10.1002/celc.202500139\",\"citationCount\":\"0\",\"resultStr\":null,\"platform\":\"Semanticscholar\",\"paperid\":null,\"PeriodicalName\":\"ChemElectroChem\",\"FirstCategoryId\":\"92\",\"ListUrlMain\":\"https://chemistry-europe.onlinelibrary.wiley.com/doi/10.1002/celc.202500139\",\"RegionNum\":4,\"RegionCategory\":\"化学\",\"ArticlePicture\":[],\"TitleCN\":null,\"AbstractTextCN\":null,\"PMCID\":null,\"EPubDate\":\"\",\"PubModel\":\"\",\"JCR\":\"Q2\",\"JCRName\":\"ELECTROCHEMISTRY\",\"Score\":null,\"Total\":0}","platform":"Semanticscholar","paperid":null,"PeriodicalName":"ChemElectroChem","FirstCategoryId":"92","ListUrlMain":"https://chemistry-europe.onlinelibrary.wiley.com/doi/10.1002/celc.202500139","RegionNum":4,"RegionCategory":"化学","ArticlePicture":[],"TitleCN":null,"AbstractTextCN":null,"PMCID":null,"EPubDate":"","PubModel":"","JCR":"Q2","JCRName":"ELECTROCHEMISTRY","Score":null,"Total":0}
引用次数: 0

摘要

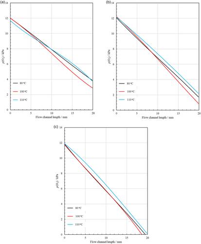
在聚合物电解质燃料电池的运行过程中,物理和化学参数(如温度、水/氢/氧分压)在电池内部的分布是不均匀的,对电池的性能和耐久性有很大的影响。在本研究中,在温度为80、100和110°C的发电过程中,使用20 mm × 20 mm具有10个直气流通道的单个电池,在气体扩散层(GDL)表面使用氧敏染料实时/空间地显示了氧气分压(p(O2))。在高于100°C的温度下,GDL表面的p(O2)首次被可视化,这尤其适用于重型车辆应用,因为它具有诸如对催化剂中毒的敏感性较小以及可选择使用更小更轻的散热器等优点。监测到gdl表面的氧分压高于简单模型的预期值,并且随着电流密度的增加,沿气体流道仅略有下降。研究表明,GDL表面的高p(O2)是由于气体流道短和在GDL内部积累的水蒸汽和催化剂层限制了气体的扩散。
本文章由计算机程序翻译,如有差异,请以英文原文为准。

Visualization of the Oxygen Partial Pressure on the Gas Diffusion Layer inside a Polymer Electrolyte Fuel Cell during Cell Operation at Temperatures Higher than 100 °C

Visualization of the Oxygen Partial Pressure on the Gas Diffusion Layer inside a Polymer Electrolyte Fuel Cell during Cell Operation at Temperatures Higher than 100 °C

Physical and chemical parameters, such as temperature, water/hydrogen/oxygen partial pressures, are distributed inhomogeneous inside a polymer electrolyte fuel cell during the operation and have a large influence on its performance and durability. In this study, the oxygen partial pressure (p(O2)) is visualized in real-time/space using an oxygen-sensitive dye on the surface of the gas diffusion layer (GDL) during power generation at temperatures of 80, 100, and 110 °C using a 20 mm × 20 mm single cell with ten straight gas flow channels. p(O2) on the surface of the GDL is visualized for the first time at temperatures higher than 100 °C, desired especially for heavy-duty vehicle application, due to advantages such as less susceptibility to catalyst poisoning and the option to use smaller and lighter radiators. The oxygen partial pressure on the surface of the GDLs is monitored to be higher than the values expected from a simple model and decreased only slightly along the gas flow channel with increasing current densities. The work shows that high p(O2) on the surface of the GDL is due to the short gas flow channels and accumulating water/vapor inside the GDL and the catalyst layer limiting the gas diffusion.

求助全文
通过发布文献求助,成功后即可免费获取论文全文。 去求助
来源期刊
ChemElectroChem
ChemElectroChem ELECTROCHEMISTRY-
CiteScore
7.90
自引率
2.50%
发文量
515
审稿时长
1.2 months
期刊介绍: ChemElectroChem is aimed to become a top-ranking electrochemistry journal for primary research papers and critical secondary information from authors across the world. The journal covers the entire scope of pure and applied electrochemistry, the latter encompassing (among others) energy applications, electrochemistry at interfaces (including surfaces), photoelectrochemistry and bioelectrochemistry.
×
引用
GB/T 7714-2015
复制
MLA
复制
APA
复制
导出至
BibTeX EndNote RefMan NoteFirst NoteExpress
×
提示
您的信息不完整,为了账户安全,请先补充。
现在去补充
×
提示
您因"违规操作"
具体请查看互助需知
我知道了
×
提示
确定
请完成安全验证×
copy
已复制链接
快去分享给好友吧!
我知道了
右上角分享
点击右上角分享
0
联系我们:info@booksci.cn Book学术提供免费学术资源搜索服务,方便国内外学者检索中英文文献。致力于提供最便捷和优质的服务体验。 Copyright © 2023 布克学术 All rights reserved.
京ICP备2023020795号-1
ghs 京公网安备 11010802042870号
Book学术文献互助
Book学术文献互助群
群 号:604180095
Book学术官方微信