鸣禽每年迁徙飞行活动的结构。

IF 3.5
Proceedings. Biological sciences Pub Date : 2025-10-01 Epub Date: 2025-10-15 DOI:10.1098/rspb.2025.0958
Sissel Sjöberg, Pablo Macías-Torres, Arne Andersson, Johan Bäckman, Kasper Thorup, Anders Peter Tøttrup, Thomas Alerstam
{"title":"鸣禽每年迁徙飞行活动的结构。","authors":"Sissel Sjöberg, Pablo Macías-Torres, Arne Andersson, Johan Bäckman, Kasper Thorup, Anders Peter Tøttrup, Thomas Alerstam","doi":"10.1098/rspb.2025.0958","DOIUrl":null,"url":null,"abstract":"<p><p>Migratory songbirds have an internal circannual genetic programme that controls the timing and extent of migratory flight activity, as demonstrated by experiments with birds held in cages. We used multisensor data loggers to record the timing and duration of all migratory flights during the annual cycle of 15 free-living individuals of red-backed shrikes <i>Lanius collurio</i>. Annual actograms unexpectedly revealed that the nocturnal migratory flights of the shrikes were organized in a highly structured way, with flights aggregated into segments that could be readily identified for all individuals, showing low variability and thus high consistency between individuals. These results suggest that the execution of migratory flights is under a high degree of control according to a rather detailed internal travelling plan for the annual migration cycle. Potentially, the control of migratory flight under natural conditions depends on a complex feedback process where external cues associated with the geographic, temporal and nutritional situation of the bird are required for the internal programme to properly regulate the successive segmental flight steps of the migratory journey. This would mean that the internal/genetic programme for control of bird migration is much more dynamic and complex than hereto assumed.</p>","PeriodicalId":520757,"journal":{"name":"Proceedings. Biological sciences","volume":"292 2057","pages":"20250958"},"PeriodicalIF":3.5000,"publicationDate":"2025-10-01","publicationTypes":"Journal Article","fieldsOfStudy":null,"isOpenAccess":false,"openAccessPdf":"https://www.ncbi.nlm.nih.gov/pmc/articles/PMC12520768/pdf/","citationCount":"0","resultStr":"{\"title\":\"The structure of the annual migratory flight activity in a songbird.\",\"authors\":\"Sissel Sjöberg, Pablo Macías-Torres, Arne Andersson, Johan Bäckman, Kasper Thorup, Anders Peter Tøttrup, Thomas Alerstam\",\"doi\":\"10.1098/rspb.2025.0958\",\"DOIUrl\":null,\"url\":null,\"abstract\":\"<p><p>Migratory songbirds have an internal circannual genetic programme that controls the timing and extent of migratory flight activity, as demonstrated by experiments with birds held in cages. We used multisensor data loggers to record the timing and duration of all migratory flights during the annual cycle of 15 free-living individuals of red-backed shrikes <i>Lanius collurio</i>. Annual actograms unexpectedly revealed that the nocturnal migratory flights of the shrikes were organized in a highly structured way, with flights aggregated into segments that could be readily identified for all individuals, showing low variability and thus high consistency between individuals. These results suggest that the execution of migratory flights is under a high degree of control according to a rather detailed internal travelling plan for the annual migration cycle. Potentially, the control of migratory flight under natural conditions depends on a complex feedback process where external cues associated with the geographic, temporal and nutritional situation of the bird are required for the internal programme to properly regulate the successive segmental flight steps of the migratory journey. This would mean that the internal/genetic programme for control of bird migration is much more dynamic and complex than hereto assumed.</p>\",\"PeriodicalId\":520757,\"journal\":{\"name\":\"Proceedings. Biological sciences\",\"volume\":\"292 2057\",\"pages\":\"20250958\"},\"PeriodicalIF\":3.5000,\"publicationDate\":\"2025-10-01\",\"publicationTypes\":\"Journal Article\",\"fieldsOfStudy\":null,\"isOpenAccess\":false,\"openAccessPdf\":\"https://www.ncbi.nlm.nih.gov/pmc/articles/PMC12520768/pdf/\",\"citationCount\":\"0\",\"resultStr\":null,\"platform\":\"Semanticscholar\",\"paperid\":null,\"PeriodicalName\":\"Proceedings. Biological sciences\",\"FirstCategoryId\":\"1085\",\"ListUrlMain\":\"https://doi.org/10.1098/rspb.2025.0958\",\"RegionNum\":0,\"RegionCategory\":null,\"ArticlePicture\":[],\"TitleCN\":null,\"AbstractTextCN\":null,\"PMCID\":null,\"EPubDate\":\"2025/10/15 0:00:00\",\"PubModel\":\"Epub\",\"JCR\":\"\",\"JCRName\":\"\",\"Score\":null,\"Total\":0}","platform":"Semanticscholar","paperid":null,"PeriodicalName":"Proceedings. Biological sciences","FirstCategoryId":"1085","ListUrlMain":"https://doi.org/10.1098/rspb.2025.0958","RegionNum":0,"RegionCategory":null,"ArticlePicture":[],"TitleCN":null,"AbstractTextCN":null,"PMCID":null,"EPubDate":"2025/10/15 0:00:00","PubModel":"Epub","JCR":"","JCRName":"","Score":null,"Total":0}
引用次数: 0

摘要

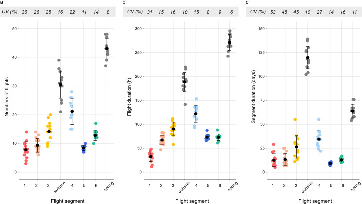
候鸟有一个内部的一年生遗传程序,控制着迁徙飞行活动的时间和范围,这一点在笼养鸟类的实验中得到了证明。利用多传感器数据记录仪记录了15只自由生活的红背伯劳在一年周期内所有迁徙飞行的时间和持续时间。年度动态图意外地揭示了伯劳夜间迁徙飞行的高度结构化方式,飞行聚集成所有个体都可以很容易识别的片段,表现出低变异性,因此个体之间的一致性很高。这些结果表明,根据一个相当详细的年度迁徙周期的内部旅行计划,迁徙飞行的执行受到高度控制。自然条件下对迁徙飞行的控制可能依赖于一个复杂的反馈过程,在这个过程中,与鸟类的地理、时间和营养状况有关的外部线索需要内部程序来适当地调节迁徙旅程的连续分段飞行步骤。这将意味着控制鸟类迁徙的内部/遗传程序比这里假设的要动态和复杂得多。
本文章由计算机程序翻译,如有差异,请以英文原文为准。

The structure of the annual migratory flight activity in a songbird.

The structure of the annual migratory flight activity in a songbird.

The structure of the annual migratory flight activity in a songbird.

The structure of the annual migratory flight activity in a songbird.

Migratory songbirds have an internal circannual genetic programme that controls the timing and extent of migratory flight activity, as demonstrated by experiments with birds held in cages. We used multisensor data loggers to record the timing and duration of all migratory flights during the annual cycle of 15 free-living individuals of red-backed shrikes Lanius collurio. Annual actograms unexpectedly revealed that the nocturnal migratory flights of the shrikes were organized in a highly structured way, with flights aggregated into segments that could be readily identified for all individuals, showing low variability and thus high consistency between individuals. These results suggest that the execution of migratory flights is under a high degree of control according to a rather detailed internal travelling plan for the annual migration cycle. Potentially, the control of migratory flight under natural conditions depends on a complex feedback process where external cues associated with the geographic, temporal and nutritional situation of the bird are required for the internal programme to properly regulate the successive segmental flight steps of the migratory journey. This would mean that the internal/genetic programme for control of bird migration is much more dynamic and complex than hereto assumed.

求助全文
通过发布文献求助,成功后即可免费获取论文全文。 去求助
来源期刊
自引率
0.00%
发文量
0
×
引用
GB/T 7714-2015
复制
MLA
复制
APA
复制
导出至
BibTeX EndNote RefMan NoteFirst NoteExpress
×
提示
您的信息不完整,为了账户安全,请先补充。
现在去补充
×
提示
您因"违规操作"
具体请查看互助需知
我知道了
×
提示
确定
请完成安全验证×
copy
已复制链接
快去分享给好友吧!
我知道了
右上角分享
点击右上角分享
0
联系我们:info@booksci.cn Book学术提供免费学术资源搜索服务,方便国内外学者检索中英文文献。致力于提供最便捷和优质的服务体验。 Copyright © 2023 布克学术 All rights reserved.
京ICP备2023020795号-1
ghs 京公网安备 11010802042870号
Book学术文献互助
Book学术文献互助群
群 号:604180095
Book学术官方微信