每周的增强训练频率会损害力量和力量吗?地区跳远运动员的短期比较。

IF 3.2 3区 医学 Q2 PHYSIOLOGY
Frontiers in Physiology Pub Date : 2025-09-29 eCollection Date: 2025-01-01 DOI:10.3389/fphys.2025.1671750
Ang Li, Hongbo Zhang, Changwei Peng, Yutong Wu, Jia He
{"title":"每周的增强训练频率会损害力量和力量吗?地区跳远运动员的短期比较。","authors":"Ang Li, Hongbo Zhang, Changwei Peng, Yutong Wu, Jia He","doi":"10.3389/fphys.2025.1671750","DOIUrl":null,"url":null,"abstract":"<p><strong>Objective: </strong>To compare the short-term effects of two versus three weekly PT sessions on strength and jump performance in competitive jumpers, and to examine associations between delayed onset muscle soreness (DOMS) and week-to-week performance changes.</p><p><strong>Methods: </strong>Thirty-nine male regional-level high and long jump athletes (17-23 years) completed a 4-week non-randomized observational cohort study. In Week 1 all performed two PT sessions; from Week 2, athletes continued with either two sessions per week (n = 19) or increased to three (n = 20). In Week 4, both groups reduced to two weekly sessions as part of a taper, such that Week-4 outcomes reflect shared recovery rather than continued frequency differences. Assessments at baseline and Weeks 1-4 included isometric mid-thigh pull (IMTP), countermovement jump (CMJ), squat jump (SJ), and standing long jump (SLJ). DOMS was recorded weekly. Mixed-design ANOVAs tested group × time effects, and participant-level correlations examined DOMS associations with performance changes.</p><p><strong>Results: </strong>Significant main effects of time were found for IMTP, SLJ, CMJ, and SJ (all p < 0.001). The 2×/week group showed steady improvements in IMTP and SLJ, while the 3×/week group experienced early decrements during intensified loading, followed by recovery in Week 4 during the taper phase. Participant-level analyses revealed significant negative correlations between DOMS and ΔIMTP (r = -0.38, 95% CI [-0.53, -0.21]) and ΔSLJ (r = -0.63, 95% CI [-0.73, -0.50]); weaker associations were observed for ΔCMJ (r = -0.21, 95% CI [-0.37, -0.03]) but not for ΔSJ.</p><p><strong>Conclusion: </strong>Training twice weekly promoted more consistent gains, while three weekly sessions induced transient impairments linked to higher DOMS. Week-4 convergence reflected taper-related recovery rather than sustained frequency effects. Monitoring soreness may help coaches optimize load and recovery in jump athletes.</p>","PeriodicalId":12477,"journal":{"name":"Frontiers in Physiology","volume":"16 ","pages":"1671750"},"PeriodicalIF":3.2000,"publicationDate":"2025-09-29","publicationTypes":"Journal Article","fieldsOfStudy":null,"isOpenAccess":false,"openAccessPdf":"https://www.ncbi.nlm.nih.gov/pmc/articles/PMC12515833/pdf/","citationCount":"0","resultStr":"{\"title\":\"Can weekly frequency of plyometric training impair strength and power? A short-term comparison in regional-level jump athletes.\",\"authors\":\"Ang Li, Hongbo Zhang, Changwei Peng, Yutong Wu, Jia He\",\"doi\":\"10.3389/fphys.2025.1671750\",\"DOIUrl\":null,\"url\":null,\"abstract\":\"<p><strong>Objective: </strong>To compare the short-term effects of two versus three weekly PT sessions on strength and jump performance in competitive jumpers, and to examine associations between delayed onset muscle soreness (DOMS) and week-to-week performance changes.</p><p><strong>Methods: </strong>Thirty-nine male regional-level high and long jump athletes (17-23 years) completed a 4-week non-randomized observational cohort study. In Week 1 all performed two PT sessions; from Week 2, athletes continued with either two sessions per week (n = 19) or increased to three (n = 20). In Week 4, both groups reduced to two weekly sessions as part of a taper, such that Week-4 outcomes reflect shared recovery rather than continued frequency differences. Assessments at baseline and Weeks 1-4 included isometric mid-thigh pull (IMTP), countermovement jump (CMJ), squat jump (SJ), and standing long jump (SLJ). DOMS was recorded weekly. Mixed-design ANOVAs tested group × time effects, and participant-level correlations examined DOMS associations with performance changes.</p><p><strong>Results: </strong>Significant main effects of time were found for IMTP, SLJ, CMJ, and SJ (all p < 0.001). The 2×/week group showed steady improvements in IMTP and SLJ, while the 3×/week group experienced early decrements during intensified loading, followed by recovery in Week 4 during the taper phase. Participant-level analyses revealed significant negative correlations between DOMS and ΔIMTP (r = -0.38, 95% CI [-0.53, -0.21]) and ΔSLJ (r = -0.63, 95% CI [-0.73, -0.50]); weaker associations were observed for ΔCMJ (r = -0.21, 95% CI [-0.37, -0.03]) but not for ΔSJ.</p><p><strong>Conclusion: </strong>Training twice weekly promoted more consistent gains, while three weekly sessions induced transient impairments linked to higher DOMS. Week-4 convergence reflected taper-related recovery rather than sustained frequency effects. Monitoring soreness may help coaches optimize load and recovery in jump athletes.</p>\",\"PeriodicalId\":12477,\"journal\":{\"name\":\"Frontiers in Physiology\",\"volume\":\"16 \",\"pages\":\"1671750\"},\"PeriodicalIF\":3.2000,\"publicationDate\":\"2025-09-29\",\"publicationTypes\":\"Journal Article\",\"fieldsOfStudy\":null,\"isOpenAccess\":false,\"openAccessPdf\":\"https://www.ncbi.nlm.nih.gov/pmc/articles/PMC12515833/pdf/\",\"citationCount\":\"0\",\"resultStr\":null,\"platform\":\"Semanticscholar\",\"paperid\":null,\"PeriodicalName\":\"Frontiers in Physiology\",\"FirstCategoryId\":\"3\",\"ListUrlMain\":\"https://doi.org/10.3389/fphys.2025.1671750\",\"RegionNum\":3,\"RegionCategory\":\"医学\",\"ArticlePicture\":[],\"TitleCN\":null,\"AbstractTextCN\":null,\"PMCID\":null,\"EPubDate\":\"2025/1/1 0:00:00\",\"PubModel\":\"eCollection\",\"JCR\":\"Q2\",\"JCRName\":\"PHYSIOLOGY\",\"Score\":null,\"Total\":0}","platform":"Semanticscholar","paperid":null,"PeriodicalName":"Frontiers in Physiology","FirstCategoryId":"3","ListUrlMain":"https://doi.org/10.3389/fphys.2025.1671750","RegionNum":3,"RegionCategory":"医学","ArticlePicture":[],"TitleCN":null,"AbstractTextCN":null,"PMCID":null,"EPubDate":"2025/1/1 0:00:00","PubModel":"eCollection","JCR":"Q2","JCRName":"PHYSIOLOGY","Score":null,"Total":0}
引用次数: 0

摘要

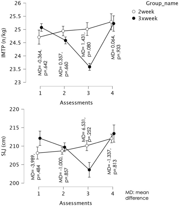
目的:比较每周两次和三次的肌肉训练对竞技跳远运动员力量和跳跃表现的短期影响,并研究延迟性肌肉酸痛(DOMS)与每周表现变化之间的关系。方法:39名17-23岁的区域性男性高跳远运动员完成了一项为期4周的非随机观察队列研究。在第一周,所有人都进行了两次体能训练;从第二周开始,运动员继续每周两次(n = 19)或增加到每周三次(n = 20)。在第4周,作为逐渐减少的一部分,两组都减少到每周两次,这样第4周的结果反映了共同的恢复,而不是持续的频率差异。基线和第1-4周的评估包括等距大腿中拉(IMTP)、反动作跳(CMJ)、深蹲跳(SJ)和立定跳远(SLJ)。DOMS每周记录一次。混合设计方差分析检验了组×时间效应,参与者水平的相关性检验了迟发性肌肉酸痛与表现变化的关系。结果:时间对IMTP、SLJ、CMJ和SJ有显著的主要影响(均p < 0.001)。2×/周组的IMTP和SLJ表现出稳定的改善,而3×/周组在强化负荷期间出现早期下降,随后在第4周的逐渐减少阶段恢复。参与者水平分析显示,DOMS与ΔIMTP (r = -0.38, 95% CI[-0.53, -0.21])和ΔSLJ (r = -0.63, 95% CI[-0.73, -0.50])呈显著负相关;在ΔCMJ中观察到较弱的关联(r = -0.21, 95% CI[-0.37, -0.03]),但在ΔSJ中没有。结论:每周训练两次促进了更持久的收益,而每周训练三次则会导致与更高的DOMS有关的短暂性损伤。第4周的收敛反映了与减少相关的恢复,而不是持续的频率效应。监测酸痛可以帮助教练优化跳远运动员的负荷和恢复。
本文章由计算机程序翻译,如有差异,请以英文原文为准。

Can weekly frequency of plyometric training impair strength and power? A short-term comparison in regional-level jump athletes.

Can weekly frequency of plyometric training impair strength and power? A short-term comparison in regional-level jump athletes.

Can weekly frequency of plyometric training impair strength and power? A short-term comparison in regional-level jump athletes.

Can weekly frequency of plyometric training impair strength and power? A short-term comparison in regional-level jump athletes.

Objective: To compare the short-term effects of two versus three weekly PT sessions on strength and jump performance in competitive jumpers, and to examine associations between delayed onset muscle soreness (DOMS) and week-to-week performance changes.

Methods: Thirty-nine male regional-level high and long jump athletes (17-23 years) completed a 4-week non-randomized observational cohort study. In Week 1 all performed two PT sessions; from Week 2, athletes continued with either two sessions per week (n = 19) or increased to three (n = 20). In Week 4, both groups reduced to two weekly sessions as part of a taper, such that Week-4 outcomes reflect shared recovery rather than continued frequency differences. Assessments at baseline and Weeks 1-4 included isometric mid-thigh pull (IMTP), countermovement jump (CMJ), squat jump (SJ), and standing long jump (SLJ). DOMS was recorded weekly. Mixed-design ANOVAs tested group × time effects, and participant-level correlations examined DOMS associations with performance changes.

Results: Significant main effects of time were found for IMTP, SLJ, CMJ, and SJ (all p < 0.001). The 2×/week group showed steady improvements in IMTP and SLJ, while the 3×/week group experienced early decrements during intensified loading, followed by recovery in Week 4 during the taper phase. Participant-level analyses revealed significant negative correlations between DOMS and ΔIMTP (r = -0.38, 95% CI [-0.53, -0.21]) and ΔSLJ (r = -0.63, 95% CI [-0.73, -0.50]); weaker associations were observed for ΔCMJ (r = -0.21, 95% CI [-0.37, -0.03]) but not for ΔSJ.

Conclusion: Training twice weekly promoted more consistent gains, while three weekly sessions induced transient impairments linked to higher DOMS. Week-4 convergence reflected taper-related recovery rather than sustained frequency effects. Monitoring soreness may help coaches optimize load and recovery in jump athletes.

求助全文
通过发布文献求助,成功后即可免费获取论文全文。 去求助
来源期刊
CiteScore
6.50
自引率
5.00%
发文量
2608
审稿时长
14 weeks
期刊介绍: Frontiers in Physiology is a leading journal in its field, publishing rigorously peer-reviewed research on the physiology of living systems, from the subcellular and molecular domains to the intact organism, and its interaction with the environment. Field Chief Editor George E. Billman at the Ohio State University Columbus is supported by an outstanding Editorial Board of international researchers. This multidisciplinary open-access journal is at the forefront of disseminating and communicating scientific knowledge and impactful discoveries to researchers, academics, clinicians and the public worldwide.
×
引用
GB/T 7714-2015
复制
MLA
复制
APA
复制
导出至
BibTeX EndNote RefMan NoteFirst NoteExpress
×
提示
您的信息不完整,为了账户安全,请先补充。
现在去补充
×
提示
您因"违规操作"
具体请查看互助需知
我知道了
×
提示
确定
请完成安全验证×
copy
已复制链接
快去分享给好友吧!
我知道了
右上角分享
点击右上角分享
0
联系我们:info@booksci.cn Book学术提供免费学术资源搜索服务,方便国内外学者检索中英文文献。致力于提供最便捷和优质的服务体验。 Copyright © 2023 布克学术 All rights reserved.
京ICP备2023020795号-1
ghs 京公网安备 11010802042870号
Book学术文献互助
Book学术文献互助群
群 号:604180095
Book学术官方微信