评估年轻和中年女性炎症和睡眠障碍的多个指标之间的关联:来自传统和机器学习方法的见解。

IF 3.4 3区 医学 Q2 MEDICINE, RESEARCH & EXPERIMENTAL
Yi Tang, Kangrui Zhang, Xin Tang, Yueyu Zhang, Jiaxuan Li, Xinhui Jia, Xun He, Xinyi Chen, Jie Hu, Zhinan Ye, Juncang Wu
{"title":"评估年轻和中年女性炎症和睡眠障碍的多个指标之间的关联:来自传统和机器学习方法的见解。","authors":"Yi Tang, Kangrui Zhang, Xin Tang, Yueyu Zhang, Jiaxuan Li, Xinhui Jia, Xun He, Xinyi Chen, Jie Hu, Zhinan Ye, Juncang Wu","doi":"10.1186/s40001-025-03203-0","DOIUrl":null,"url":null,"abstract":"<p><strong>Background: </strong>Interactions between inflammation and sleep disorders are increasingly recognized; however, limited research comprehensively evaluates the association between multiple inflammatory indicators and sleep disorders.</p><p><strong>Methods: </strong>This cross-sectional study utilized data from the National Health and Nutrition Examination Survey (NHANES, 2015-2020) involving 2,342 participants. Machine learning algorithms were employed to identify inflammatory indicators with potential predictive value for sleep disorders, followed by Shapley value analysis to quantify their contributions. Weighted logistic regression and restricted cubic spline models were applied to examine associations between key inflammatory markers and sleep disorders. Mediation analysis was conducted to assess the role of depression in these relationships. Receiver operating characteristic (ROC) curves were generated to compare the predictive performance of individual inflammatory markers. Sensitivity analyses using E-values were performed to evaluate the robustness of findings against unmeasured confounding.</p><p><strong>Results: </strong>Alpha-1-acid glycoprotein, C-reactive protein, and Naples Prognosis Score all showed significant positive correlations with sleep disorders. Among these, AGP and CRP contributed most significantly to the model (Shap value≈0.23). Furthermore, mediation analysis indicated that depression mediated 15.1% of the total effect of AGP on sleep disorders.</p><p><strong>Conclusions: </strong>The study confirms a significant positive association between serum AGP levels and sleep disorders. Among the inflammatory markers evaluated, AGP exhibited the strongest correlation, underscoring its potential clinical relevance in the pathophysiology of sleep disturbances.</p>","PeriodicalId":11949,"journal":{"name":"European Journal of Medical Research","volume":"30 1","pages":"972"},"PeriodicalIF":3.4000,"publicationDate":"2025-10-15","publicationTypes":"Journal Article","fieldsOfStudy":null,"isOpenAccess":false,"openAccessPdf":"https://www.ncbi.nlm.nih.gov/pmc/articles/PMC12522555/pdf/","citationCount":"0","resultStr":"{\"title\":\"Assessing the association between multiple indicators of inflammation and sleep disorders in young and middle-aged women: insights from traditional and machine learning approaches.\",\"authors\":\"Yi Tang, Kangrui Zhang, Xin Tang, Yueyu Zhang, Jiaxuan Li, Xinhui Jia, Xun He, Xinyi Chen, Jie Hu, Zhinan Ye, Juncang Wu\",\"doi\":\"10.1186/s40001-025-03203-0\",\"DOIUrl\":null,\"url\":null,\"abstract\":\"<p><strong>Background: </strong>Interactions between inflammation and sleep disorders are increasingly recognized; however, limited research comprehensively evaluates the association between multiple inflammatory indicators and sleep disorders.</p><p><strong>Methods: </strong>This cross-sectional study utilized data from the National Health and Nutrition Examination Survey (NHANES, 2015-2020) involving 2,342 participants. Machine learning algorithms were employed to identify inflammatory indicators with potential predictive value for sleep disorders, followed by Shapley value analysis to quantify their contributions. Weighted logistic regression and restricted cubic spline models were applied to examine associations between key inflammatory markers and sleep disorders. Mediation analysis was conducted to assess the role of depression in these relationships. Receiver operating characteristic (ROC) curves were generated to compare the predictive performance of individual inflammatory markers. Sensitivity analyses using E-values were performed to evaluate the robustness of findings against unmeasured confounding.</p><p><strong>Results: </strong>Alpha-1-acid glycoprotein, C-reactive protein, and Naples Prognosis Score all showed significant positive correlations with sleep disorders. Among these, AGP and CRP contributed most significantly to the model (Shap value≈0.23). Furthermore, mediation analysis indicated that depression mediated 15.1% of the total effect of AGP on sleep disorders.</p><p><strong>Conclusions: </strong>The study confirms a significant positive association between serum AGP levels and sleep disorders. Among the inflammatory markers evaluated, AGP exhibited the strongest correlation, underscoring its potential clinical relevance in the pathophysiology of sleep disturbances.</p>\",\"PeriodicalId\":11949,\"journal\":{\"name\":\"European Journal of Medical Research\",\"volume\":\"30 1\",\"pages\":\"972\"},\"PeriodicalIF\":3.4000,\"publicationDate\":\"2025-10-15\",\"publicationTypes\":\"Journal Article\",\"fieldsOfStudy\":null,\"isOpenAccess\":false,\"openAccessPdf\":\"https://www.ncbi.nlm.nih.gov/pmc/articles/PMC12522555/pdf/\",\"citationCount\":\"0\",\"resultStr\":null,\"platform\":\"Semanticscholar\",\"paperid\":null,\"PeriodicalName\":\"European Journal of Medical Research\",\"FirstCategoryId\":\"3\",\"ListUrlMain\":\"https://doi.org/10.1186/s40001-025-03203-0\",\"RegionNum\":3,\"RegionCategory\":\"医学\",\"ArticlePicture\":[],\"TitleCN\":null,\"AbstractTextCN\":null,\"PMCID\":null,\"EPubDate\":\"\",\"PubModel\":\"\",\"JCR\":\"Q2\",\"JCRName\":\"MEDICINE, RESEARCH & EXPERIMENTAL\",\"Score\":null,\"Total\":0}","platform":"Semanticscholar","paperid":null,"PeriodicalName":"European Journal of Medical Research","FirstCategoryId":"3","ListUrlMain":"https://doi.org/10.1186/s40001-025-03203-0","RegionNum":3,"RegionCategory":"医学","ArticlePicture":[],"TitleCN":null,"AbstractTextCN":null,"PMCID":null,"EPubDate":"","PubModel":"","JCR":"Q2","JCRName":"MEDICINE, RESEARCH & EXPERIMENTAL","Score":null,"Total":0}
引用次数: 0

摘要

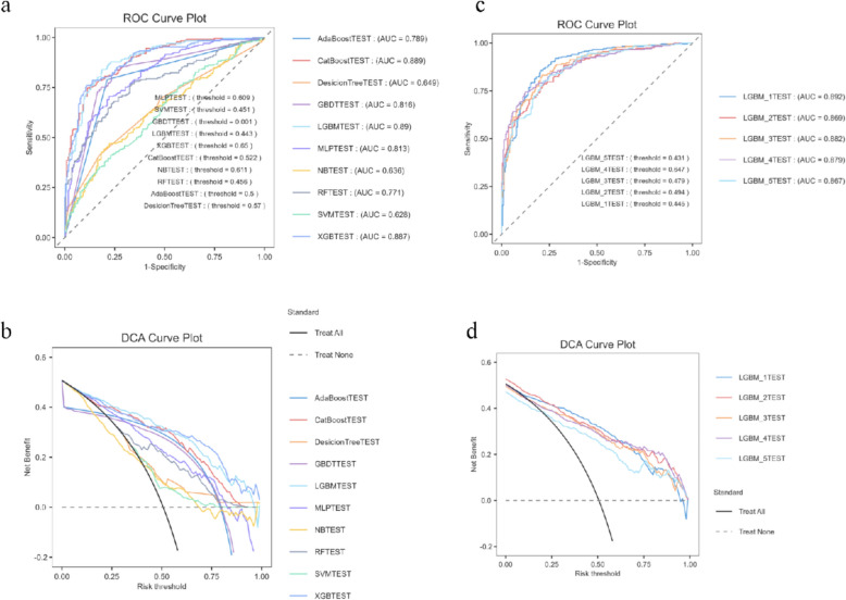
背景:炎症和睡眠障碍之间的相互作用越来越被认识到;然而,有限的研究全面评估了多种炎症指标与睡眠障碍之间的关系。方法:本横断面研究利用了国家健康和营养检查调查(NHANES, 2015-2020)的数据,涉及2,342名参与者。采用机器学习算法识别对睡眠障碍具有潜在预测价值的炎症指标,然后通过Shapley值分析来量化它们的贡献。应用加权逻辑回归和限制三次样条模型来检查关键炎症标志物与睡眠障碍之间的关联。采用中介分析来评估抑郁在这些关系中的作用。生成受试者工作特征(ROC)曲线来比较个体炎症标志物的预测性能。使用e值进行敏感性分析,以评估研究结果对未测量混杂因素的稳健性。结果:α -1-酸性糖蛋白、c -反应蛋白、那不勒斯预后评分与睡眠障碍均呈显著正相关。其中,AGP和CRP对模型的贡献最大(Shap值≈0.23)。此外,中介分析表明,抑郁介导了15.1%的AGP对睡眠障碍的总影响。结论:该研究证实血清AGP水平与睡眠障碍之间存在显著正相关。在评估的炎症标志物中,AGP表现出最强的相关性,强调了其在睡眠障碍病理生理学中的潜在临床相关性。
本文章由计算机程序翻译,如有差异,请以英文原文为准。

Assessing the association between multiple indicators of inflammation and sleep disorders in young and middle-aged women: insights from traditional and machine learning approaches.

Assessing the association between multiple indicators of inflammation and sleep disorders in young and middle-aged women: insights from traditional and machine learning approaches.

Assessing the association between multiple indicators of inflammation and sleep disorders in young and middle-aged women: insights from traditional and machine learning approaches.

Assessing the association between multiple indicators of inflammation and sleep disorders in young and middle-aged women: insights from traditional and machine learning approaches.

Background: Interactions between inflammation and sleep disorders are increasingly recognized; however, limited research comprehensively evaluates the association between multiple inflammatory indicators and sleep disorders.

Methods: This cross-sectional study utilized data from the National Health and Nutrition Examination Survey (NHANES, 2015-2020) involving 2,342 participants. Machine learning algorithms were employed to identify inflammatory indicators with potential predictive value for sleep disorders, followed by Shapley value analysis to quantify their contributions. Weighted logistic regression and restricted cubic spline models were applied to examine associations between key inflammatory markers and sleep disorders. Mediation analysis was conducted to assess the role of depression in these relationships. Receiver operating characteristic (ROC) curves were generated to compare the predictive performance of individual inflammatory markers. Sensitivity analyses using E-values were performed to evaluate the robustness of findings against unmeasured confounding.

Results: Alpha-1-acid glycoprotein, C-reactive protein, and Naples Prognosis Score all showed significant positive correlations with sleep disorders. Among these, AGP and CRP contributed most significantly to the model (Shap value≈0.23). Furthermore, mediation analysis indicated that depression mediated 15.1% of the total effect of AGP on sleep disorders.

Conclusions: The study confirms a significant positive association between serum AGP levels and sleep disorders. Among the inflammatory markers evaluated, AGP exhibited the strongest correlation, underscoring its potential clinical relevance in the pathophysiology of sleep disturbances.

求助全文
通过发布文献求助,成功后即可免费获取论文全文。 去求助
来源期刊
European Journal of Medical Research
European Journal of Medical Research 医学-医学:研究与实验
CiteScore
3.20
自引率
0.00%
发文量
247
审稿时长
>12 weeks
期刊介绍: European Journal of Medical Research publishes translational and clinical research of international interest across all medical disciplines, enabling clinicians and other researchers to learn about developments and innovations within these disciplines and across the boundaries between disciplines. The journal publishes high quality research and reviews and aims to ensure that the results of all well-conducted research are published, regardless of their outcome.
×
引用
GB/T 7714-2015
复制
MLA
复制
APA
复制
导出至
BibTeX EndNote RefMan NoteFirst NoteExpress
×
提示
您的信息不完整,为了账户安全,请先补充。
现在去补充
×
提示
您因"违规操作"
具体请查看互助需知
我知道了
×
提示
确定
请完成安全验证×
copy
已复制链接
快去分享给好友吧!
我知道了
右上角分享
点击右上角分享
0
联系我们:info@booksci.cn Book学术提供免费学术资源搜索服务,方便国内外学者检索中英文文献。致力于提供最便捷和优质的服务体验。 Copyright © 2023 布克学术 All rights reserved.
京ICP备2023020795号-1
ghs 京公网安备 11010802042870号
Book学术文献互助
Book学术文献互助群
群 号:604180095
Book学术官方微信