外向内和全向内技术在内侧半月板修复中无临床差异:强调基于最小临床重要差异(MCID)的结果。

IF 2.4 3区 医学 Q2 ORTHOPEDICS
Aytek Hüseyin Çeliksöz, Ceyhun Çağlar, Serhat Akçaalan, Kenan Şen, Cevaydin Güler, Ali Okan Tarlacık, Ali Engin Daştan, Arman Vahabi
{"title":"外向内和全向内技术在内侧半月板修复中无临床差异:强调基于最小临床重要差异(MCID)的结果。","authors":"Aytek Hüseyin Çeliksöz, Ceyhun Çağlar, Serhat Akçaalan, Kenan Şen, Cevaydin Güler, Ali Okan Tarlacık, Ali Engin Daştan, Arman Vahabi","doi":"10.1186/s12891-025-09145-2","DOIUrl":null,"url":null,"abstract":"<p><strong>Background: </strong>While the all-inside (AI) technique is widely preferred for its simplicity and efficiency, the outside-in (OI) method is less commonly used. Despite both techniques being effective, direct comparisons of their functional outcomes are limited. This study aims to compare the clinical efficacy of OI and AI repair techniques for zone-3 and zone-4 medial meniscus tears, emphasizing outcomes based on the Minimal Clinically Important Difference (MCID).We hypothesized that there would be no significant difference in outcomes between the two techniques.</p><p><strong>Methods: </strong>A retrospective cohort study was conducted on 93 patients (mean age: 37.6 ± 11.8 years) with isolated zone-3 or zone-4 medial meniscus tears treated between 2020 and 2023. Patients were divided into two groups: OI (n = 63) and AI (n = 30), with all surgeries performed by two experienced orthopedic surgeons. Clinical outcomes were assessed using the International Knee Documentation Committee (IKDC) score, Knee Injury and Osteoarthritis Outcome Score (KOOS), and Tegner-Lysholm Knee Scoring Scale (TLKS) at a minimum follow-up of 6 months. The MCID was calculated using the 0.5 standard deviation method. Statistical analyses included ANCOVA to adjust for age-related differences, with significance set at p < 0.05.</p><p><strong>Results: </strong>Both OI and AI techniques resulted in significant improvements in IKDC, KOOS, and TLKS scores, surpassing MCID thresholds for all measures (p < 0.001). No significant differences were observed between the two groups in terms of functional outcomes (p > 0.05). The OI group utilized significantly fewer sutures (median: 1 [1-4] vs. 2 [1-7]; p < 0.001) and had a higher, though not statistically significant, complication rate (11% vs. 0%; p = 0.092). All complications were observed in the OI group, including saphenous nerve palsy and septic arthritis.</p><p><strong>Conclusion: </strong>Both outside-in and all-inside techniques offer comparable clinical improvements in the repair of zone-3 and zone-4 medial meniscus tears, achieving success defined by MCID thresholds. The outside-in group used fewer sutures and exhibited a slightly higher complication rate, although this difference was not statistically significant. These findings support similar clinical outcomes for both techniques and may help guide surgical decision-making based on individual cases and surgeon experience.</p>","PeriodicalId":9189,"journal":{"name":"BMC Musculoskeletal Disorders","volume":"26 1","pages":"962"},"PeriodicalIF":2.4000,"publicationDate":"2025-10-14","publicationTypes":"Journal Article","fieldsOfStudy":null,"isOpenAccess":false,"openAccessPdf":"https://www.ncbi.nlm.nih.gov/pmc/articles/PMC12522916/pdf/","citationCount":"0","resultStr":"{\"title\":\"No clinical differences between outside-in and all-inside techniques in medial meniscus repair: emphasizing Minimal Clinically Important Difference (MCID) -based outcomes.\",\"authors\":\"Aytek Hüseyin Çeliksöz, Ceyhun Çağlar, Serhat Akçaalan, Kenan Şen, Cevaydin Güler, Ali Okan Tarlacık, Ali Engin Daştan, Arman Vahabi\",\"doi\":\"10.1186/s12891-025-09145-2\",\"DOIUrl\":null,\"url\":null,\"abstract\":\"<p><strong>Background: </strong>While the all-inside (AI) technique is widely preferred for its simplicity and efficiency, the outside-in (OI) method is less commonly used. Despite both techniques being effective, direct comparisons of their functional outcomes are limited. This study aims to compare the clinical efficacy of OI and AI repair techniques for zone-3 and zone-4 medial meniscus tears, emphasizing outcomes based on the Minimal Clinically Important Difference (MCID).We hypothesized that there would be no significant difference in outcomes between the two techniques.</p><p><strong>Methods: </strong>A retrospective cohort study was conducted on 93 patients (mean age: 37.6 ± 11.8 years) with isolated zone-3 or zone-4 medial meniscus tears treated between 2020 and 2023. Patients were divided into two groups: OI (n = 63) and AI (n = 30), with all surgeries performed by two experienced orthopedic surgeons. Clinical outcomes were assessed using the International Knee Documentation Committee (IKDC) score, Knee Injury and Osteoarthritis Outcome Score (KOOS), and Tegner-Lysholm Knee Scoring Scale (TLKS) at a minimum follow-up of 6 months. The MCID was calculated using the 0.5 standard deviation method. Statistical analyses included ANCOVA to adjust for age-related differences, with significance set at p < 0.05.</p><p><strong>Results: </strong>Both OI and AI techniques resulted in significant improvements in IKDC, KOOS, and TLKS scores, surpassing MCID thresholds for all measures (p < 0.001). No significant differences were observed between the two groups in terms of functional outcomes (p > 0.05). The OI group utilized significantly fewer sutures (median: 1 [1-4] vs. 2 [1-7]; p < 0.001) and had a higher, though not statistically significant, complication rate (11% vs. 0%; p = 0.092). All complications were observed in the OI group, including saphenous nerve palsy and septic arthritis.</p><p><strong>Conclusion: </strong>Both outside-in and all-inside techniques offer comparable clinical improvements in the repair of zone-3 and zone-4 medial meniscus tears, achieving success defined by MCID thresholds. The outside-in group used fewer sutures and exhibited a slightly higher complication rate, although this difference was not statistically significant. These findings support similar clinical outcomes for both techniques and may help guide surgical decision-making based on individual cases and surgeon experience.</p>\",\"PeriodicalId\":9189,\"journal\":{\"name\":\"BMC Musculoskeletal Disorders\",\"volume\":\"26 1\",\"pages\":\"962\"},\"PeriodicalIF\":2.4000,\"publicationDate\":\"2025-10-14\",\"publicationTypes\":\"Journal Article\",\"fieldsOfStudy\":null,\"isOpenAccess\":false,\"openAccessPdf\":\"https://www.ncbi.nlm.nih.gov/pmc/articles/PMC12522916/pdf/\",\"citationCount\":\"0\",\"resultStr\":null,\"platform\":\"Semanticscholar\",\"paperid\":null,\"PeriodicalName\":\"BMC Musculoskeletal Disorders\",\"FirstCategoryId\":\"3\",\"ListUrlMain\":\"https://doi.org/10.1186/s12891-025-09145-2\",\"RegionNum\":3,\"RegionCategory\":\"医学\",\"ArticlePicture\":[],\"TitleCN\":null,\"AbstractTextCN\":null,\"PMCID\":null,\"EPubDate\":\"\",\"PubModel\":\"\",\"JCR\":\"Q2\",\"JCRName\":\"ORTHOPEDICS\",\"Score\":null,\"Total\":0}","platform":"Semanticscholar","paperid":null,"PeriodicalName":"BMC Musculoskeletal Disorders","FirstCategoryId":"3","ListUrlMain":"https://doi.org/10.1186/s12891-025-09145-2","RegionNum":3,"RegionCategory":"医学","ArticlePicture":[],"TitleCN":null,"AbstractTextCN":null,"PMCID":null,"EPubDate":"","PubModel":"","JCR":"Q2","JCRName":"ORTHOPEDICS","Score":null,"Total":0}
引用次数: 0

摘要

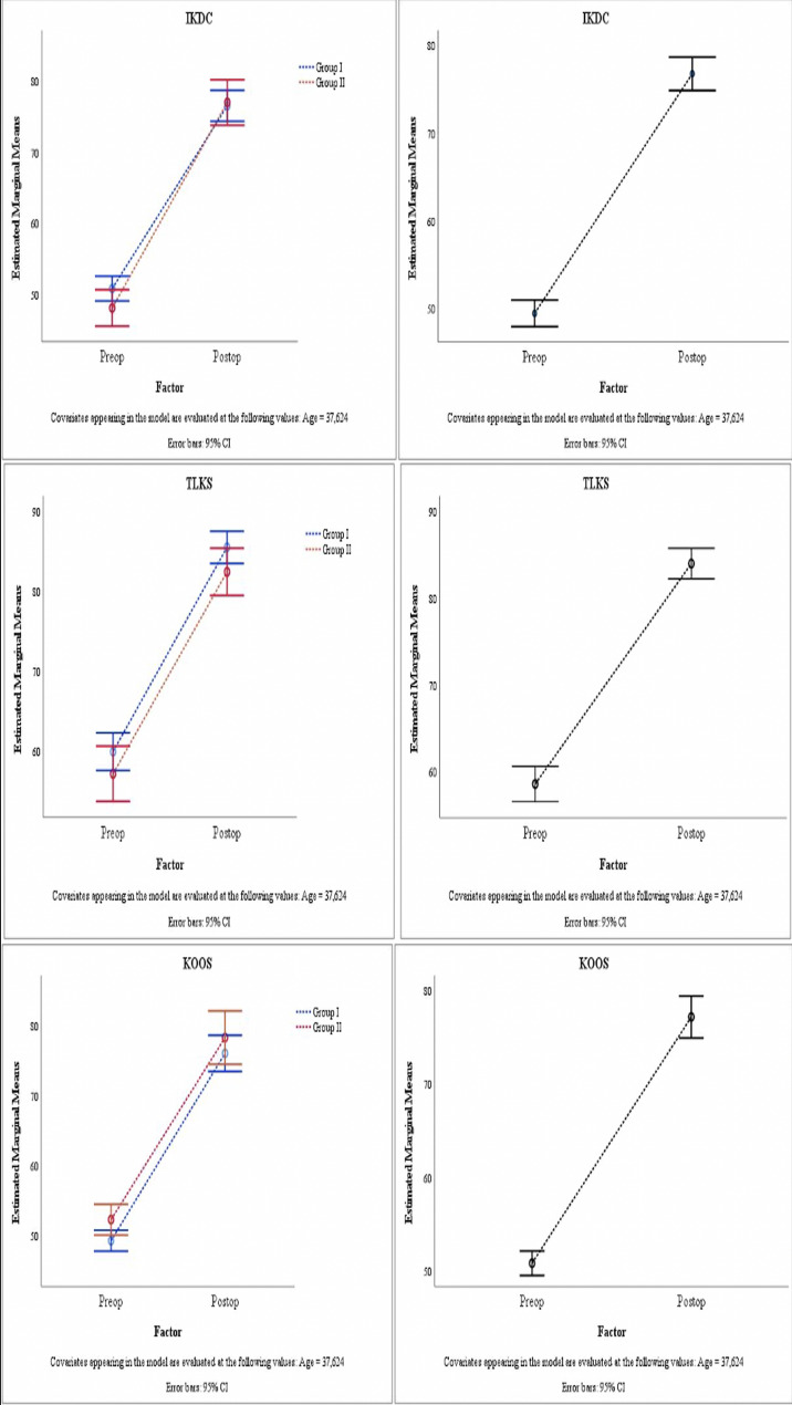
背景:虽然全内(AI)技术因其简单和高效而广受青睐,但由外向内(OI)方法却不太常用。尽管这两种技术都是有效的,但对其功能结果的直接比较是有限的。本研究旨在比较OI和AI修复技术对内侧半月板3区和4区撕裂的临床疗效,强调基于最小临床重要差异(MCID)的结果。我们假设两种技术之间的结果没有显著差异。方法:对2020 - 2023年间93例(平均年龄:37.6±11.8岁)孤立性3区或4区内侧半月板撕裂患者进行回顾性队列研究。患者分为OI组(63例)和AI组(30例),均由两名经验丰富的骨科医生进行手术。临床结果采用国际膝关节文献委员会(IKDC)评分、膝关节损伤和骨关节炎结局评分(oos)和Tegner-Lysholm膝关节评分量表(TLKS)进行评估,随访时间至少为6个月。MCID采用0.5标准差法计算。统计分析包括ANCOVA以调整年龄相关差异,显著性设置为p。结果:OI和AI技术均显著改善了IKDC、kos和TLKS评分,所有测量值均超过了MCID阈值(p 0.05)。成骨不全组使用的缝合线明显较少(中位数:1 [1-4]vs. 2[1-7])。p结论:由外向内和全向内技术在修复-3区和-4区内侧半月板撕裂方面提供了相当的临床改善,达到了MCID阈值定义的成功。由外至内组使用的缝合线较少,并发症发生率略高,但差异无统计学意义。这些发现支持两种技术相似的临床结果,并可能有助于指导基于个案和外科医生经验的手术决策。
本文章由计算机程序翻译,如有差异,请以英文原文为准。

No clinical differences between outside-in and all-inside techniques in medial meniscus repair: emphasizing Minimal Clinically Important Difference (MCID) -based outcomes.

No clinical differences between outside-in and all-inside techniques in medial meniscus repair: emphasizing Minimal Clinically Important Difference (MCID) -based outcomes.

No clinical differences between outside-in and all-inside techniques in medial meniscus repair: emphasizing Minimal Clinically Important Difference (MCID) -based outcomes.

Background: While the all-inside (AI) technique is widely preferred for its simplicity and efficiency, the outside-in (OI) method is less commonly used. Despite both techniques being effective, direct comparisons of their functional outcomes are limited. This study aims to compare the clinical efficacy of OI and AI repair techniques for zone-3 and zone-4 medial meniscus tears, emphasizing outcomes based on the Minimal Clinically Important Difference (MCID).We hypothesized that there would be no significant difference in outcomes between the two techniques.

Methods: A retrospective cohort study was conducted on 93 patients (mean age: 37.6 ± 11.8 years) with isolated zone-3 or zone-4 medial meniscus tears treated between 2020 and 2023. Patients were divided into two groups: OI (n = 63) and AI (n = 30), with all surgeries performed by two experienced orthopedic surgeons. Clinical outcomes were assessed using the International Knee Documentation Committee (IKDC) score, Knee Injury and Osteoarthritis Outcome Score (KOOS), and Tegner-Lysholm Knee Scoring Scale (TLKS) at a minimum follow-up of 6 months. The MCID was calculated using the 0.5 standard deviation method. Statistical analyses included ANCOVA to adjust for age-related differences, with significance set at p < 0.05.

Results: Both OI and AI techniques resulted in significant improvements in IKDC, KOOS, and TLKS scores, surpassing MCID thresholds for all measures (p < 0.001). No significant differences were observed between the two groups in terms of functional outcomes (p > 0.05). The OI group utilized significantly fewer sutures (median: 1 [1-4] vs. 2 [1-7]; p < 0.001) and had a higher, though not statistically significant, complication rate (11% vs. 0%; p = 0.092). All complications were observed in the OI group, including saphenous nerve palsy and septic arthritis.

Conclusion: Both outside-in and all-inside techniques offer comparable clinical improvements in the repair of zone-3 and zone-4 medial meniscus tears, achieving success defined by MCID thresholds. The outside-in group used fewer sutures and exhibited a slightly higher complication rate, although this difference was not statistically significant. These findings support similar clinical outcomes for both techniques and may help guide surgical decision-making based on individual cases and surgeon experience.

求助全文
通过发布文献求助,成功后即可免费获取论文全文。 去求助
来源期刊
BMC Musculoskeletal Disorders
BMC Musculoskeletal Disorders 医学-风湿病学
CiteScore
3.80
自引率
8.70%
发文量
1017
审稿时长
3-6 weeks
期刊介绍: BMC Musculoskeletal Disorders is an open access, peer-reviewed journal that considers articles on all aspects of the prevention, diagnosis and management of musculoskeletal disorders, as well as related molecular genetics, pathophysiology, and epidemiology. The scope of the Journal covers research into rheumatic diseases where the primary focus relates specifically to a component(s) of the musculoskeletal system.
×
引用
GB/T 7714-2015
复制
MLA
复制
APA
复制
导出至
BibTeX EndNote RefMan NoteFirst NoteExpress
×
提示
您的信息不完整,为了账户安全,请先补充。
现在去补充
×
提示
您因"违规操作"
具体请查看互助需知
我知道了
×
提示
确定
请完成安全验证×
copy
已复制链接
快去分享给好友吧!
我知道了
右上角分享
点击右上角分享
0
联系我们:info@booksci.cn Book学术提供免费学术资源搜索服务,方便国内外学者检索中英文文献。致力于提供最便捷和优质的服务体验。 Copyright © 2023 布克学术 All rights reserved.
京ICP备2023020795号-1
ghs 京公网安备 11010802042870号
Book学术文献互助
Book学术文献互助群
群 号:604180095
Book学术官方微信