意大利2015-2023年耐万古霉素屎肠球菌血流感染的时间趋势、个体和医院特征:国家监测系统回顾性分析

IF 4.4 2区 医学 Q1 INFECTIOUS DISEASES
Chiara Sacco, Simone Iacchini, Claudia Isonne, Jessica Iera, Stefano Boros, Giulia Fadda, Giulia Errico, Maria Del Grosso, Monica Monaco, Fortunato D'Ancona, Patrizio Pezzotti
{"title":"意大利2015-2023年耐万古霉素屎肠球菌血流感染的时间趋势、个体和医院特征:国家监测系统回顾性分析","authors":"Chiara Sacco, Simone Iacchini, Claudia Isonne, Jessica Iera, Stefano Boros, Giulia Fadda, Giulia Errico, Maria Del Grosso, Monica Monaco, Fortunato D'Ancona, Patrizio Pezzotti","doi":"10.1186/s13756-025-01636-0","DOIUrl":null,"url":null,"abstract":"<p><strong>Background: </strong>Several countries have reported an increase in vancomycin-resistant Enterococcus faecium (VREF), a pathogen classified by the WHO as a high-priority threat due to its role in healthcare-associated infections and in-hospital mortality. This study aimed to describe temporal trends in VREF bloodstream infections in Italy from 2015 to 2023 and to explore patient and hospital characteristics associated with VREF.</p><p><strong>Methods: </strong>We conducted a retrospective observational study using data from the Italian national antimicrobial resistance surveillance system (AR-ISS). All E. faecium bloodstream isolates tested for vancomycin resistance between 2015 and 2023 were included in the trend analysis. To examine associations with individual (sampling year, season, sex, age group, hospital unit, and geographical area) and hospital-level (number of beds, average length of stay, turnover index, bed occupancy rate, and turnover interval) characteristics, we focused on hospitalized adults (≥ 18 years) from 2022 to 2023. Mixed-effects logistic regression models were used to estimate trends and assess associations, with hospitals included as a random effect.</p><p><strong>Results: </strong>Among 29,050 E. faecium isolates, the proportion of VREF rose from 11.5% in 2015 to 32.4% in 2023. Central Italy recorded the highest resistance in 2023 (44.8%), while the South and Islands showed the steepest relative increase (from 1.8% to 29.4%). In the 2022-2023 dataset, multivariable analysis showed higher odds of VREF among patients aged 40-79 years (versus ≥ 80 years; OR = 1.18, 95% CI: 1.02-1.38), those admitted to medical units (versus surgical units; OR = 1.18, 95% CI: 1.03-1.36), and in hospitals with more than 400 beds (versus < 400 beds; OR = 1.31, 95% CI: 1.09-1.58) or an average length of stay exceeding 10 days (versus ≤ 10 days; OR = 1.34, 95% CI: 1.07-1.69).</p><p><strong>Conclusions: </strong>This study reveals a persistent increase in VREF bloodstream infections in Italy from 2015 to 2023. The findings highlight significant regional disparities and hospital characteristics linked to higher resistance rates, emphasizing the need for coordinated national and regional strategies. Strengthening integrated surveillance, antimicrobial stewardship, and infection prevention is essential to mitigate this growing public health concern.</p><p><strong>Trial registration: </strong>Clinical trial number: not applicable.</p>","PeriodicalId":7950,"journal":{"name":"Antimicrobial Resistance and Infection Control","volume":"14 1","pages":"120"},"PeriodicalIF":4.4000,"publicationDate":"2025-10-14","publicationTypes":"Journal Article","fieldsOfStudy":null,"isOpenAccess":false,"openAccessPdf":"https://www.ncbi.nlm.nih.gov/pmc/articles/PMC12523168/pdf/","citationCount":"0","resultStr":"{\"title\":\"Temporal trend and individual and hospital characteristics associated to vancomycin-resistant Enterococcus faecium bloodstream infections: a retrospective analysis from the national surveillance system, Italy 2015-2023.\",\"authors\":\"Chiara Sacco, Simone Iacchini, Claudia Isonne, Jessica Iera, Stefano Boros, Giulia Fadda, Giulia Errico, Maria Del Grosso, Monica Monaco, Fortunato D'Ancona, Patrizio Pezzotti\",\"doi\":\"10.1186/s13756-025-01636-0\",\"DOIUrl\":null,\"url\":null,\"abstract\":\"<p><strong>Background: </strong>Several countries have reported an increase in vancomycin-resistant Enterococcus faecium (VREF), a pathogen classified by the WHO as a high-priority threat due to its role in healthcare-associated infections and in-hospital mortality. This study aimed to describe temporal trends in VREF bloodstream infections in Italy from 2015 to 2023 and to explore patient and hospital characteristics associated with VREF.</p><p><strong>Methods: </strong>We conducted a retrospective observational study using data from the Italian national antimicrobial resistance surveillance system (AR-ISS). All E. faecium bloodstream isolates tested for vancomycin resistance between 2015 and 2023 were included in the trend analysis. To examine associations with individual (sampling year, season, sex, age group, hospital unit, and geographical area) and hospital-level (number of beds, average length of stay, turnover index, bed occupancy rate, and turnover interval) characteristics, we focused on hospitalized adults (≥ 18 years) from 2022 to 2023. Mixed-effects logistic regression models were used to estimate trends and assess associations, with hospitals included as a random effect.</p><p><strong>Results: </strong>Among 29,050 E. faecium isolates, the proportion of VREF rose from 11.5% in 2015 to 32.4% in 2023. Central Italy recorded the highest resistance in 2023 (44.8%), while the South and Islands showed the steepest relative increase (from 1.8% to 29.4%). In the 2022-2023 dataset, multivariable analysis showed higher odds of VREF among patients aged 40-79 years (versus ≥ 80 years; OR = 1.18, 95% CI: 1.02-1.38), those admitted to medical units (versus surgical units; OR = 1.18, 95% CI: 1.03-1.36), and in hospitals with more than 400 beds (versus < 400 beds; OR = 1.31, 95% CI: 1.09-1.58) or an average length of stay exceeding 10 days (versus ≤ 10 days; OR = 1.34, 95% CI: 1.07-1.69).</p><p><strong>Conclusions: </strong>This study reveals a persistent increase in VREF bloodstream infections in Italy from 2015 to 2023. The findings highlight significant regional disparities and hospital characteristics linked to higher resistance rates, emphasizing the need for coordinated national and regional strategies. Strengthening integrated surveillance, antimicrobial stewardship, and infection prevention is essential to mitigate this growing public health concern.</p><p><strong>Trial registration: </strong>Clinical trial number: not applicable.</p>\",\"PeriodicalId\":7950,\"journal\":{\"name\":\"Antimicrobial Resistance and Infection Control\",\"volume\":\"14 1\",\"pages\":\"120\"},\"PeriodicalIF\":4.4000,\"publicationDate\":\"2025-10-14\",\"publicationTypes\":\"Journal Article\",\"fieldsOfStudy\":null,\"isOpenAccess\":false,\"openAccessPdf\":\"https://www.ncbi.nlm.nih.gov/pmc/articles/PMC12523168/pdf/\",\"citationCount\":\"0\",\"resultStr\":null,\"platform\":\"Semanticscholar\",\"paperid\":null,\"PeriodicalName\":\"Antimicrobial Resistance and Infection Control\",\"FirstCategoryId\":\"3\",\"ListUrlMain\":\"https://doi.org/10.1186/s13756-025-01636-0\",\"RegionNum\":2,\"RegionCategory\":\"医学\",\"ArticlePicture\":[],\"TitleCN\":null,\"AbstractTextCN\":null,\"PMCID\":null,\"EPubDate\":\"\",\"PubModel\":\"\",\"JCR\":\"Q1\",\"JCRName\":\"INFECTIOUS DISEASES\",\"Score\":null,\"Total\":0}","platform":"Semanticscholar","paperid":null,"PeriodicalName":"Antimicrobial Resistance and Infection Control","FirstCategoryId":"3","ListUrlMain":"https://doi.org/10.1186/s13756-025-01636-0","RegionNum":2,"RegionCategory":"医学","ArticlePicture":[],"TitleCN":null,"AbstractTextCN":null,"PMCID":null,"EPubDate":"","PubModel":"","JCR":"Q1","JCRName":"INFECTIOUS DISEASES","Score":null,"Total":0}
引用次数: 0

摘要

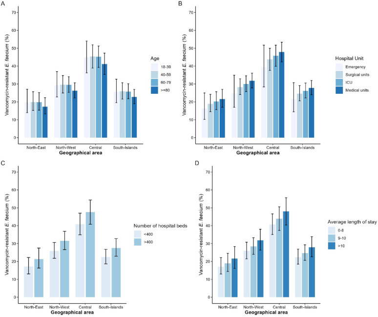
背景:一些国家报告了万古霉素耐药屎肠球菌(VREF)的增加,由于其在卫生保健相关感染和院内死亡率中的作用,该病原体被世卫组织列为高度优先威胁。本研究旨在描述2015年至2023年意大利VREF血流感染的时间趋势,并探讨与VREF相关的患者和医院特征。方法:我们利用意大利国家抗菌素耐药性监测系统(AR-ISS)的数据进行了回顾性观察研究。2015 - 2023年间检测万古霉素耐药的所有粪肠杆菌血液分离株均纳入趋势分析。为了检验个体(采样年份、季节、性别、年龄组、医院单位和地理区域)和医院级别(床位数、平均住院时间、周转指数、床位入住率和周转间隔)特征之间的关联,我们重点研究了2022年至2023年住院的成年人(≥18岁)。混合效应逻辑回归模型用于估计趋势和评估关联,其中包括医院作为随机效应。结果:29,050株粪肠杆菌中VREF的比例由2015年的11.5%上升至2023年的32.4%。意大利中部在2023年的耐药性最高(44.8%),而南部和岛屿的相对增幅最大(从1.8%增加到29.4%)。在2022-2023年的数据集中,多变量分析显示,在40-79岁(相对于≥80岁;OR = 1.18, 95% CI: 1.02-1.38)、医疗单位(相对于外科单位;OR = 1.18, 95% CI: 1.03-1.36)和床位超过400张的医院(相对于结论:本研究揭示了意大利从2015年到2023年VREF血流感染持续增加)的患者中,VREF的几率更高。调查结果强调了与较高耐药率相关的重大区域差异和医院特点,强调需要制定协调的国家和区域战略。加强综合监测、抗微生物药物管理和感染预防对于缓解这一日益严重的公共卫生问题至关重要。试验注册:临床试验编号:不适用。
本文章由计算机程序翻译,如有差异,请以英文原文为准。

Temporal trend and individual and hospital characteristics associated to vancomycin-resistant Enterococcus faecium bloodstream infections: a retrospective analysis from the national surveillance system, Italy 2015-2023.

Temporal trend and individual and hospital characteristics associated to vancomycin-resistant Enterococcus faecium bloodstream infections: a retrospective analysis from the national surveillance system, Italy 2015-2023.

Temporal trend and individual and hospital characteristics associated to vancomycin-resistant Enterococcus faecium bloodstream infections: a retrospective analysis from the national surveillance system, Italy 2015-2023.

Temporal trend and individual and hospital characteristics associated to vancomycin-resistant Enterococcus faecium bloodstream infections: a retrospective analysis from the national surveillance system, Italy 2015-2023.

Background: Several countries have reported an increase in vancomycin-resistant Enterococcus faecium (VREF), a pathogen classified by the WHO as a high-priority threat due to its role in healthcare-associated infections and in-hospital mortality. This study aimed to describe temporal trends in VREF bloodstream infections in Italy from 2015 to 2023 and to explore patient and hospital characteristics associated with VREF.

Methods: We conducted a retrospective observational study using data from the Italian national antimicrobial resistance surveillance system (AR-ISS). All E. faecium bloodstream isolates tested for vancomycin resistance between 2015 and 2023 were included in the trend analysis. To examine associations with individual (sampling year, season, sex, age group, hospital unit, and geographical area) and hospital-level (number of beds, average length of stay, turnover index, bed occupancy rate, and turnover interval) characteristics, we focused on hospitalized adults (≥ 18 years) from 2022 to 2023. Mixed-effects logistic regression models were used to estimate trends and assess associations, with hospitals included as a random effect.

Results: Among 29,050 E. faecium isolates, the proportion of VREF rose from 11.5% in 2015 to 32.4% in 2023. Central Italy recorded the highest resistance in 2023 (44.8%), while the South and Islands showed the steepest relative increase (from 1.8% to 29.4%). In the 2022-2023 dataset, multivariable analysis showed higher odds of VREF among patients aged 40-79 years (versus ≥ 80 years; OR = 1.18, 95% CI: 1.02-1.38), those admitted to medical units (versus surgical units; OR = 1.18, 95% CI: 1.03-1.36), and in hospitals with more than 400 beds (versus < 400 beds; OR = 1.31, 95% CI: 1.09-1.58) or an average length of stay exceeding 10 days (versus ≤ 10 days; OR = 1.34, 95% CI: 1.07-1.69).

Conclusions: This study reveals a persistent increase in VREF bloodstream infections in Italy from 2015 to 2023. The findings highlight significant regional disparities and hospital characteristics linked to higher resistance rates, emphasizing the need for coordinated national and regional strategies. Strengthening integrated surveillance, antimicrobial stewardship, and infection prevention is essential to mitigate this growing public health concern.

Trial registration: Clinical trial number: not applicable.

求助全文
通过发布文献求助,成功后即可免费获取论文全文。 去求助
来源期刊
Antimicrobial Resistance and Infection Control
Antimicrobial Resistance and Infection Control PUBLIC, ENVIRONMENTAL & OCCUPATIONAL HEALTH -INFECTIOUS DISEASES
CiteScore
9.70
自引率
3.60%
发文量
140
审稿时长
13 weeks
期刊介绍: Antimicrobial Resistance and Infection Control is a global forum for all those working on the prevention, diagnostic and treatment of health-care associated infections and antimicrobial resistance development in all health-care settings. The journal covers a broad spectrum of preeminent practices and best available data to the top interventional and translational research, and innovative developments in the field of infection control.
×
引用
GB/T 7714-2015
复制
MLA
复制
APA
复制
导出至
BibTeX EndNote RefMan NoteFirst NoteExpress
×
提示
您的信息不完整,为了账户安全,请先补充。
现在去补充
×
提示
您因"违规操作"
具体请查看互助需知
我知道了
×
提示
确定
请完成安全验证×
copy
已复制链接
快去分享给好友吧!
我知道了
右上角分享
点击右上角分享
0
联系我们:info@booksci.cn Book学术提供免费学术资源搜索服务,方便国内外学者检索中英文文献。致力于提供最便捷和优质的服务体验。 Copyright © 2023 布克学术 All rights reserved.
京ICP备2023020795号-1
ghs 京公网安备 11010802042870号
Book学术文献互助
Book学术文献互助群
群 号:604180095
Book学术官方微信