用预测-校正方法定性研究分数阶水污染模型解的稳定性和存在性。

IF 3.9 2区 综合性期刊 Q1 MULTIDISCIPLINARY SCIENCES
Naveed Iqbal, D K Archana, Mohammad Nazrul Islam Khan, D G Prakasha
{"title":"用预测-校正方法定性研究分数阶水污染模型解的稳定性和存在性。","authors":"Naveed Iqbal, D K Archana, Mohammad Nazrul Islam Khan, D G Prakasha","doi":"10.1038/s41598-025-22015-0","DOIUrl":null,"url":null,"abstract":"<p><p>The potential of fractional-order models to faithfully capture memory effects, anomalous diffusion and long-term persistence in the dynamics of water pollution has attracted a lot of interest in environmental science. A fractional-order water pollution model is presented in this work, along with an efficient numerical method known as the predictor-corrector method for the accurate and computational analysis of the differential equations. The approach ensures excellent accuracy while taking into account the complex and nonlinear systems relationship between environmental conditions, microbial degradation, and contaminants in aquatic environments. The asymptotic behavior of the solution is shown by a thorough stability study, which offers information on the long-term dispersion of pollutants. The existence and uniqueness of the solution are systematically verified using fixed-point theorems, which ensure the mathematical operators of the model. Numerical simulations demonstrate the accuracy of the suggested approach's emissions and degradation predictions under realistic environmental conditions and further confirm its reliability. The results of this study provide a strong computational framework for investigating complex dynamics of water pollution and emphasize the importance of fractional-order models in environmental studies. In addressing fundamental environmental issues and promoting sustainable aquatic ecosystem management, this work highlights the transformative potential of fractional-order modeling by fusing theoretical advancements with practical applications.</p>","PeriodicalId":21811,"journal":{"name":"Scientific Reports","volume":"15 1","pages":"35747"},"PeriodicalIF":3.9000,"publicationDate":"2025-10-13","publicationTypes":"Journal Article","fieldsOfStudy":null,"isOpenAccess":false,"openAccessPdf":"https://www.ncbi.nlm.nih.gov/pmc/articles/PMC12518517/pdf/","citationCount":"0","resultStr":"{\"title\":\"A qualitative study on the stability and existence of solutions in a fractional-order water pollution model via the predictor-corrector approach.\",\"authors\":\"Naveed Iqbal, D K Archana, Mohammad Nazrul Islam Khan, D G Prakasha\",\"doi\":\"10.1038/s41598-025-22015-0\",\"DOIUrl\":null,\"url\":null,\"abstract\":\"<p><p>The potential of fractional-order models to faithfully capture memory effects, anomalous diffusion and long-term persistence in the dynamics of water pollution has attracted a lot of interest in environmental science. A fractional-order water pollution model is presented in this work, along with an efficient numerical method known as the predictor-corrector method for the accurate and computational analysis of the differential equations. The approach ensures excellent accuracy while taking into account the complex and nonlinear systems relationship between environmental conditions, microbial degradation, and contaminants in aquatic environments. The asymptotic behavior of the solution is shown by a thorough stability study, which offers information on the long-term dispersion of pollutants. The existence and uniqueness of the solution are systematically verified using fixed-point theorems, which ensure the mathematical operators of the model. Numerical simulations demonstrate the accuracy of the suggested approach's emissions and degradation predictions under realistic environmental conditions and further confirm its reliability. The results of this study provide a strong computational framework for investigating complex dynamics of water pollution and emphasize the importance of fractional-order models in environmental studies. In addressing fundamental environmental issues and promoting sustainable aquatic ecosystem management, this work highlights the transformative potential of fractional-order modeling by fusing theoretical advancements with practical applications.</p>\",\"PeriodicalId\":21811,\"journal\":{\"name\":\"Scientific Reports\",\"volume\":\"15 1\",\"pages\":\"35747\"},\"PeriodicalIF\":3.9000,\"publicationDate\":\"2025-10-13\",\"publicationTypes\":\"Journal Article\",\"fieldsOfStudy\":null,\"isOpenAccess\":false,\"openAccessPdf\":\"https://www.ncbi.nlm.nih.gov/pmc/articles/PMC12518517/pdf/\",\"citationCount\":\"0\",\"resultStr\":null,\"platform\":\"Semanticscholar\",\"paperid\":null,\"PeriodicalName\":\"Scientific Reports\",\"FirstCategoryId\":\"103\",\"ListUrlMain\":\"https://doi.org/10.1038/s41598-025-22015-0\",\"RegionNum\":2,\"RegionCategory\":\"综合性期刊\",\"ArticlePicture\":[],\"TitleCN\":null,\"AbstractTextCN\":null,\"PMCID\":null,\"EPubDate\":\"\",\"PubModel\":\"\",\"JCR\":\"Q1\",\"JCRName\":\"MULTIDISCIPLINARY SCIENCES\",\"Score\":null,\"Total\":0}","platform":"Semanticscholar","paperid":null,"PeriodicalName":"Scientific Reports","FirstCategoryId":"103","ListUrlMain":"https://doi.org/10.1038/s41598-025-22015-0","RegionNum":2,"RegionCategory":"综合性期刊","ArticlePicture":[],"TitleCN":null,"AbstractTextCN":null,"PMCID":null,"EPubDate":"","PubModel":"","JCR":"Q1","JCRName":"MULTIDISCIPLINARY SCIENCES","Score":null,"Total":0}
引用次数: 0

摘要

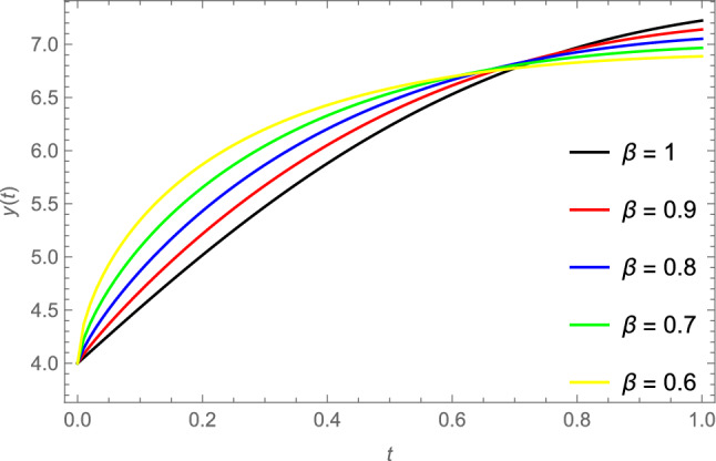
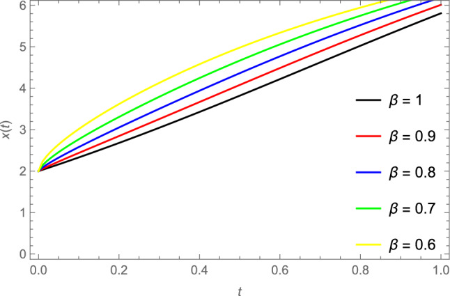
分数阶模型忠实地捕捉水污染动力学中的记忆效应、异常扩散和长期持久性的潜力引起了环境科学领域的广泛关注。在这项工作中提出了一个分数阶水污染模型,以及一种被称为预测校正方法的有效数值方法,用于精确和计算分析微分方程。该方法在考虑环境条件、微生物降解和水生环境污染物之间复杂的非线性系统关系的同时,确保了极高的准确性。通过全面的稳定性研究证明了该解的渐近行为,提供了污染物长期扩散的信息。利用不动点定理系统地验证了解的存在唯一性,从而保证了模型的数学算子。数值模拟验证了该方法在实际环境条件下的排放和退化预测的准确性,进一步证实了该方法的可靠性。本研究结果为研究水污染的复杂动力学提供了一个强有力的计算框架,并强调了分数阶模型在环境研究中的重要性。在解决基本环境问题和促进可持续水生生态系统管理方面,本工作通过融合理论进步和实际应用,突出了分数阶模型的变革潜力。
本文章由计算机程序翻译,如有差异,请以英文原文为准。

A qualitative study on the stability and existence of solutions in a fractional-order water pollution model via the predictor-corrector approach.

A qualitative study on the stability and existence of solutions in a fractional-order water pollution model via the predictor-corrector approach.

A qualitative study on the stability and existence of solutions in a fractional-order water pollution model via the predictor-corrector approach.

A qualitative study on the stability and existence of solutions in a fractional-order water pollution model via the predictor-corrector approach.

The potential of fractional-order models to faithfully capture memory effects, anomalous diffusion and long-term persistence in the dynamics of water pollution has attracted a lot of interest in environmental science. A fractional-order water pollution model is presented in this work, along with an efficient numerical method known as the predictor-corrector method for the accurate and computational analysis of the differential equations. The approach ensures excellent accuracy while taking into account the complex and nonlinear systems relationship between environmental conditions, microbial degradation, and contaminants in aquatic environments. The asymptotic behavior of the solution is shown by a thorough stability study, which offers information on the long-term dispersion of pollutants. The existence and uniqueness of the solution are systematically verified using fixed-point theorems, which ensure the mathematical operators of the model. Numerical simulations demonstrate the accuracy of the suggested approach's emissions and degradation predictions under realistic environmental conditions and further confirm its reliability. The results of this study provide a strong computational framework for investigating complex dynamics of water pollution and emphasize the importance of fractional-order models in environmental studies. In addressing fundamental environmental issues and promoting sustainable aquatic ecosystem management, this work highlights the transformative potential of fractional-order modeling by fusing theoretical advancements with practical applications.

求助全文
通过发布文献求助,成功后即可免费获取论文全文。 去求助
来源期刊
Scientific Reports
Scientific Reports Natural Science Disciplines-
CiteScore
7.50
自引率
4.30%
发文量
19567
审稿时长
3.9 months
期刊介绍: We publish original research from all areas of the natural sciences, psychology, medicine and engineering. You can learn more about what we publish by browsing our specific scientific subject areas below or explore Scientific Reports by browsing all articles and collections. Scientific Reports has a 2-year impact factor: 4.380 (2021), and is the 6th most-cited journal in the world, with more than 540,000 citations in 2020 (Clarivate Analytics, 2021). •Engineering Engineering covers all aspects of engineering, technology, and applied science. It plays a crucial role in the development of technologies to address some of the world''s biggest challenges, helping to save lives and improve the way we live. •Physical sciences Physical sciences are those academic disciplines that aim to uncover the underlying laws of nature — often written in the language of mathematics. It is a collective term for areas of study including astronomy, chemistry, materials science and physics. •Earth and environmental sciences Earth and environmental sciences cover all aspects of Earth and planetary science and broadly encompass solid Earth processes, surface and atmospheric dynamics, Earth system history, climate and climate change, marine and freshwater systems, and ecology. It also considers the interactions between humans and these systems. •Biological sciences Biological sciences encompass all the divisions of natural sciences examining various aspects of vital processes. The concept includes anatomy, physiology, cell biology, biochemistry and biophysics, and covers all organisms from microorganisms, animals to plants. •Health sciences The health sciences study health, disease and healthcare. This field of study aims to develop knowledge, interventions and technology for use in healthcare to improve the treatment of patients.
×
引用
GB/T 7714-2015
复制
MLA
复制
APA
复制
导出至
BibTeX EndNote RefMan NoteFirst NoteExpress
×
提示
您的信息不完整,为了账户安全,请先补充。
现在去补充
×
提示
您因"违规操作"
具体请查看互助需知
我知道了
×
提示
确定
请完成安全验证×
copy
已复制链接
快去分享给好友吧!
我知道了
右上角分享
点击右上角分享
0
联系我们:info@booksci.cn Book学术提供免费学术资源搜索服务,方便国内外学者检索中英文文献。致力于提供最便捷和优质的服务体验。 Copyright © 2023 布克学术 All rights reserved.
京ICP备2023020795号-1
ghs 京公网安备 11010802042870号
Book学术文献互助
Book学术文献互助群
群 号:604180095
Book学术官方微信