临床管理与医院异质性驱动的血液利用效率分析。

IF 3.4 3区 医学 Q2 PUBLIC, ENVIRONMENTAL & OCCUPATIONAL HEALTH
Frontiers in Public Health Pub Date : 2025-09-25 eCollection Date: 2025-01-01 DOI:10.3389/fpubh.2025.1668449
Feng Wang, Zhi-Guo Xu, Ke Lv, Jingxian Fei, Haiying Yang, Zequn Ou, Yun Song, Jingxian Song, Yizhu Chen, Le Wang
{"title":"临床管理与医院异质性驱动的血液利用效率分析。","authors":"Feng Wang, Zhi-Guo Xu, Ke Lv, Jingxian Fei, Haiying Yang, Zequn Ou, Yun Song, Jingxian Song, Yizhu Chen, Le Wang","doi":"10.3389/fpubh.2025.1668449","DOIUrl":null,"url":null,"abstract":"<p><strong>Background: </strong>Blood is a critical yet scarce medical resource, and improving the efficiency with which it is utilised remains a major global challenge. In 2019, China introduced Quality Control Indicators for Clinical Blood Use in an attempt to standardise management. However, significant discrepancies remain between the intended policy and its practical implementation, resulting in inefficiencies and safety concerns.</p><p><strong>Objective: </strong>This study aims to quantitatively evaluate the impact of administrative policies on clinical blood use, identify the main factors affecting the efficiency with which blood is utilised, and analyse how hospital level and type influence transfusion practices.</p><p><strong>Methods: </strong>A retrospective, multicentre study was conducted using data from 24 secondary and tertiary hospitals in Huzhou between 2020 and 2024. Key quality control indicators and a 25-point transfusion record scoring system were employed. Trends were analysed using ANOVA and chi-square tests, and hospital stratification was analysed using MANOVA. Predictors of blood use per discharged patient were identified using multiple linear regression and linear mixed-effects models.</p><p><strong>Results: </strong>Over 5 years, the number of transfusion technicians increased by 72%, transfusion record scores improved by 34.6%, and per capita blood use decreased by 46.9%. However, blood use in low-complexity surgeries increased by an abnormal 200%. Tertiary hospitals showed higher blood use but better documentation than secondary hospitals. Regression analysis revealed that technician density (<i>β</i> = -0.280) and transfusion record score (<i>β</i> = -0.202) were negatively associated with blood use, whereas surgical complexity was positively associated with it. Hospital grade and type also significantly influenced outcomes.</p><p><strong>Conclusion: </strong>Efficiency in blood utilisation is more strongly influenced by process standardisation and human resources than by hospital level or type alone. Rather than rigid indicators, policy incentives should emphasise precision transfusion strategies and dynamic quality management to align resource use with clinical need and support sustainable blood management systems.</p>","PeriodicalId":12548,"journal":{"name":"Frontiers in Public Health","volume":"13 ","pages":"1668449"},"PeriodicalIF":3.4000,"publicationDate":"2025-09-25","publicationTypes":"Journal Article","fieldsOfStudy":null,"isOpenAccess":false,"openAccessPdf":"https://www.ncbi.nlm.nih.gov/pmc/articles/PMC12507902/pdf/","citationCount":"0","resultStr":"{\"title\":\"Analysis of blood utilisation efficiency driven by clinical management and hospital heterogeneity.\",\"authors\":\"Feng Wang, Zhi-Guo Xu, Ke Lv, Jingxian Fei, Haiying Yang, Zequn Ou, Yun Song, Jingxian Song, Yizhu Chen, Le Wang\",\"doi\":\"10.3389/fpubh.2025.1668449\",\"DOIUrl\":null,\"url\":null,\"abstract\":\"<p><strong>Background: </strong>Blood is a critical yet scarce medical resource, and improving the efficiency with which it is utilised remains a major global challenge. In 2019, China introduced Quality Control Indicators for Clinical Blood Use in an attempt to standardise management. However, significant discrepancies remain between the intended policy and its practical implementation, resulting in inefficiencies and safety concerns.</p><p><strong>Objective: </strong>This study aims to quantitatively evaluate the impact of administrative policies on clinical blood use, identify the main factors affecting the efficiency with which blood is utilised, and analyse how hospital level and type influence transfusion practices.</p><p><strong>Methods: </strong>A retrospective, multicentre study was conducted using data from 24 secondary and tertiary hospitals in Huzhou between 2020 and 2024. Key quality control indicators and a 25-point transfusion record scoring system were employed. Trends were analysed using ANOVA and chi-square tests, and hospital stratification was analysed using MANOVA. Predictors of blood use per discharged patient were identified using multiple linear regression and linear mixed-effects models.</p><p><strong>Results: </strong>Over 5 years, the number of transfusion technicians increased by 72%, transfusion record scores improved by 34.6%, and per capita blood use decreased by 46.9%. However, blood use in low-complexity surgeries increased by an abnormal 200%. Tertiary hospitals showed higher blood use but better documentation than secondary hospitals. Regression analysis revealed that technician density (<i>β</i> = -0.280) and transfusion record score (<i>β</i> = -0.202) were negatively associated with blood use, whereas surgical complexity was positively associated with it. Hospital grade and type also significantly influenced outcomes.</p><p><strong>Conclusion: </strong>Efficiency in blood utilisation is more strongly influenced by process standardisation and human resources than by hospital level or type alone. Rather than rigid indicators, policy incentives should emphasise precision transfusion strategies and dynamic quality management to align resource use with clinical need and support sustainable blood management systems.</p>\",\"PeriodicalId\":12548,\"journal\":{\"name\":\"Frontiers in Public Health\",\"volume\":\"13 \",\"pages\":\"1668449\"},\"PeriodicalIF\":3.4000,\"publicationDate\":\"2025-09-25\",\"publicationTypes\":\"Journal Article\",\"fieldsOfStudy\":null,\"isOpenAccess\":false,\"openAccessPdf\":\"https://www.ncbi.nlm.nih.gov/pmc/articles/PMC12507902/pdf/\",\"citationCount\":\"0\",\"resultStr\":null,\"platform\":\"Semanticscholar\",\"paperid\":null,\"PeriodicalName\":\"Frontiers in Public Health\",\"FirstCategoryId\":\"3\",\"ListUrlMain\":\"https://doi.org/10.3389/fpubh.2025.1668449\",\"RegionNum\":3,\"RegionCategory\":\"医学\",\"ArticlePicture\":[],\"TitleCN\":null,\"AbstractTextCN\":null,\"PMCID\":null,\"EPubDate\":\"2025/1/1 0:00:00\",\"PubModel\":\"eCollection\",\"JCR\":\"Q2\",\"JCRName\":\"PUBLIC, ENVIRONMENTAL & OCCUPATIONAL HEALTH\",\"Score\":null,\"Total\":0}","platform":"Semanticscholar","paperid":null,"PeriodicalName":"Frontiers in Public Health","FirstCategoryId":"3","ListUrlMain":"https://doi.org/10.3389/fpubh.2025.1668449","RegionNum":3,"RegionCategory":"医学","ArticlePicture":[],"TitleCN":null,"AbstractTextCN":null,"PMCID":null,"EPubDate":"2025/1/1 0:00:00","PubModel":"eCollection","JCR":"Q2","JCRName":"PUBLIC, ENVIRONMENTAL & OCCUPATIONAL HEALTH","Score":null,"Total":0}
引用次数: 0

摘要

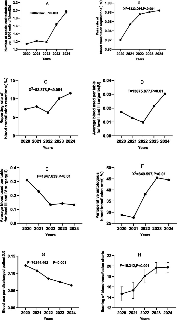
背景:血液是一种重要但稀缺的医疗资源,提高其利用效率仍然是一项重大的全球挑战。2019年,中国推出了《临床用血质量控制指标》,试图规范管理。然而,在预期的政策和实际执行之间仍然存在重大差异,导致效率低下和安全问题。目的:本研究旨在定量评价行政政策对临床用血的影响,确定影响血液利用效率的主要因素,并分析医院级别和类型对输血实践的影响。方法:采用湖州市2020 - 2024年24所二、三级医院的回顾性、多中心研究。采用关键质量控制指标和25点输血记录评分系统。趋势分析采用方差分析和卡方检验,医院分层分析采用方差分析。使用多元线性回归和线性混合效应模型确定每位出院患者用血量的预测因子。结果:5 年来,输血技术人员数量增加了72%,输血记录评分提高了34.6%,人均用血下降了46.9%。然而,低复杂性手术的用血量异常增加了200%。三级医院的用血量高于二级医院,但记录较好。回归分析显示,技师密度(β = -0.280)和输血记录评分(β = -0.202)与用血呈负相关,而手术复杂度与用血呈正相关。医院等级和类型也显著影响预后。结论:流程标准化和人力资源对血液利用效率的影响大于医院级别和医院类型。政策激励措施不应采用死板的指标,而应强调精确输血战略和动态质量管理,以使资源使用与临床需求保持一致,并支持可持续的血液管理系统。
本文章由计算机程序翻译,如有差异,请以英文原文为准。

Analysis of blood utilisation efficiency driven by clinical management and hospital heterogeneity.

Analysis of blood utilisation efficiency driven by clinical management and hospital heterogeneity.

Analysis of blood utilisation efficiency driven by clinical management and hospital heterogeneity.

Background: Blood is a critical yet scarce medical resource, and improving the efficiency with which it is utilised remains a major global challenge. In 2019, China introduced Quality Control Indicators for Clinical Blood Use in an attempt to standardise management. However, significant discrepancies remain between the intended policy and its practical implementation, resulting in inefficiencies and safety concerns.

Objective: This study aims to quantitatively evaluate the impact of administrative policies on clinical blood use, identify the main factors affecting the efficiency with which blood is utilised, and analyse how hospital level and type influence transfusion practices.

Methods: A retrospective, multicentre study was conducted using data from 24 secondary and tertiary hospitals in Huzhou between 2020 and 2024. Key quality control indicators and a 25-point transfusion record scoring system were employed. Trends were analysed using ANOVA and chi-square tests, and hospital stratification was analysed using MANOVA. Predictors of blood use per discharged patient were identified using multiple linear regression and linear mixed-effects models.

Results: Over 5 years, the number of transfusion technicians increased by 72%, transfusion record scores improved by 34.6%, and per capita blood use decreased by 46.9%. However, blood use in low-complexity surgeries increased by an abnormal 200%. Tertiary hospitals showed higher blood use but better documentation than secondary hospitals. Regression analysis revealed that technician density (β = -0.280) and transfusion record score (β = -0.202) were negatively associated with blood use, whereas surgical complexity was positively associated with it. Hospital grade and type also significantly influenced outcomes.

Conclusion: Efficiency in blood utilisation is more strongly influenced by process standardisation and human resources than by hospital level or type alone. Rather than rigid indicators, policy incentives should emphasise precision transfusion strategies and dynamic quality management to align resource use with clinical need and support sustainable blood management systems.

求助全文
通过发布文献求助,成功后即可免费获取论文全文。 去求助
来源期刊
Frontiers in Public Health
Frontiers in Public Health Medicine-Public Health, Environmental and Occupational Health
CiteScore
4.80
自引率
7.70%
发文量
4469
审稿时长
14 weeks
期刊介绍: Frontiers in Public Health is a multidisciplinary open-access journal which publishes rigorously peer-reviewed research and is at the forefront of disseminating and communicating scientific knowledge and impactful discoveries to researchers, academics, clinicians, policy makers and the public worldwide. The journal aims at overcoming current fragmentation in research and publication, promoting consistency in pursuing relevant scientific themes, and supporting finding dissemination and translation into practice. Frontiers in Public Health is organized into Specialty Sections that cover different areas of research in the field. Please refer to the author guidelines for details on article types and the submission process.
×
引用
GB/T 7714-2015
复制
MLA
复制
APA
复制
导出至
BibTeX EndNote RefMan NoteFirst NoteExpress
×
提示
您的信息不完整,为了账户安全,请先补充。
现在去补充
×
提示
您因"违规操作"
具体请查看互助需知
我知道了
×
提示
确定
请完成安全验证×
copy
已复制链接
快去分享给好友吧!
我知道了
右上角分享
点击右上角分享
0
联系我们:info@booksci.cn Book学术提供免费学术资源搜索服务,方便国内外学者检索中英文文献。致力于提供最便捷和优质的服务体验。 Copyright © 2023 布克学术 All rights reserved.
京ICP备2023020795号-1
ghs 京公网安备 11010802042870号
Book学术文献互助
Book学术文献互助群
群 号:604180095
Book学术官方微信