健康效益与经济成本:节能减排的福利分析。

IF 3.4 3区 医学 Q2 PUBLIC, ENVIRONMENTAL & OCCUPATIONAL HEALTH
Frontiers in Public Health Pub Date : 2025-09-26 eCollection Date: 2025-01-01 DOI:10.3389/fpubh.2025.1662116
Hongkun Zhao, Zhuo Chen, Nan Feng
{"title":"健康效益与经济成本:节能减排的福利分析。","authors":"Hongkun Zhao, Zhuo Chen, Nan Feng","doi":"10.3389/fpubh.2025.1662116","DOIUrl":null,"url":null,"abstract":"<p><strong>Introduction: </strong>A multidimensional and comprehensive evaluation of the impact of energy conservation and emission reduction (ECER) on residents' health and welfare is conducive to resolving conflicts between economy and environment on a worldwide scale.</p><p><strong>Methods: </strong>Based on China's ECER demonstration city policy, this paper uses a staggered difference-in-differences method to examine the impact of ECER on residents' health and labor market performance, and conservatively estimates the welfare effect of ECER in conjunction with a theoretical model.</p><p><strong>Results: </strong>The results show that ECER significantly improves residents' health, raises self-rated health (<i>β</i> = 0.06, <i>p</i> < 0.05, 95% CI = -0.17 to 0.13), reduces the probability of illness affecting work (<i>β</i> = -0.004, <i>p</i> < 0.05, 95% CI = -0.01 to 0.01), and lowers medical expenditures (<i>β</i> = -0.183, <i>p</i> < 0.05, 95% CI = -0.64 to 0.10). However, ECER negatively affects residents' labor market performance, reducing employment status (<i>β</i> = -0.032, <i>p</i> < 0.10, 95% CI = -0.11 to 0.06) and wage (<i>β</i> = -0.055, <i>p</i> < 0.05, 95% CI = -0.23 to 0.00). Mechanism analysis suggests that ECER primarily improves health by reducing emissions of pollutants such as urban industrial wastewater, industrial sulphur dioxide, and industrial fumes and dust, and negatively influences labor market performance by promoting industrial restructuring. Heterogeneity analysis shows that there is a selection effect in the impacts, the health benefits and economic costs of ECER are mostly achieved and borne by groups in rural areas, non-provincial capitals, and those suffering from chronic diseases and not engaging in physical activity. Welfare analysis suggests that the health benefits of ECER result in higher welfare gains than the negative welfare impacts of its economic effects.</p><p><strong>Conclusion: </strong>Future policies should progressively move towards an integrated assessment of the costs and benefits of ECER, paying particular attention to welfare losses among groups that bear higher costs.</p>","PeriodicalId":12548,"journal":{"name":"Frontiers in Public Health","volume":"13 ","pages":"1662116"},"PeriodicalIF":3.4000,"publicationDate":"2025-09-26","publicationTypes":"Journal Article","fieldsOfStudy":null,"isOpenAccess":false,"openAccessPdf":"https://www.ncbi.nlm.nih.gov/pmc/articles/PMC12511090/pdf/","citationCount":"0","resultStr":"{\"title\":\"Health benefits versus economic costs: welfare analysis of energy conservation and emission reduction.\",\"authors\":\"Hongkun Zhao, Zhuo Chen, Nan Feng\",\"doi\":\"10.3389/fpubh.2025.1662116\",\"DOIUrl\":null,\"url\":null,\"abstract\":\"<p><strong>Introduction: </strong>A multidimensional and comprehensive evaluation of the impact of energy conservation and emission reduction (ECER) on residents' health and welfare is conducive to resolving conflicts between economy and environment on a worldwide scale.</p><p><strong>Methods: </strong>Based on China's ECER demonstration city policy, this paper uses a staggered difference-in-differences method to examine the impact of ECER on residents' health and labor market performance, and conservatively estimates the welfare effect of ECER in conjunction with a theoretical model.</p><p><strong>Results: </strong>The results show that ECER significantly improves residents' health, raises self-rated health (<i>β</i> = 0.06, <i>p</i> < 0.05, 95% CI = -0.17 to 0.13), reduces the probability of illness affecting work (<i>β</i> = -0.004, <i>p</i> < 0.05, 95% CI = -0.01 to 0.01), and lowers medical expenditures (<i>β</i> = -0.183, <i>p</i> < 0.05, 95% CI = -0.64 to 0.10). However, ECER negatively affects residents' labor market performance, reducing employment status (<i>β</i> = -0.032, <i>p</i> < 0.10, 95% CI = -0.11 to 0.06) and wage (<i>β</i> = -0.055, <i>p</i> < 0.05, 95% CI = -0.23 to 0.00). Mechanism analysis suggests that ECER primarily improves health by reducing emissions of pollutants such as urban industrial wastewater, industrial sulphur dioxide, and industrial fumes and dust, and negatively influences labor market performance by promoting industrial restructuring. Heterogeneity analysis shows that there is a selection effect in the impacts, the health benefits and economic costs of ECER are mostly achieved and borne by groups in rural areas, non-provincial capitals, and those suffering from chronic diseases and not engaging in physical activity. Welfare analysis suggests that the health benefits of ECER result in higher welfare gains than the negative welfare impacts of its economic effects.</p><p><strong>Conclusion: </strong>Future policies should progressively move towards an integrated assessment of the costs and benefits of ECER, paying particular attention to welfare losses among groups that bear higher costs.</p>\",\"PeriodicalId\":12548,\"journal\":{\"name\":\"Frontiers in Public Health\",\"volume\":\"13 \",\"pages\":\"1662116\"},\"PeriodicalIF\":3.4000,\"publicationDate\":\"2025-09-26\",\"publicationTypes\":\"Journal Article\",\"fieldsOfStudy\":null,\"isOpenAccess\":false,\"openAccessPdf\":\"https://www.ncbi.nlm.nih.gov/pmc/articles/PMC12511090/pdf/\",\"citationCount\":\"0\",\"resultStr\":null,\"platform\":\"Semanticscholar\",\"paperid\":null,\"PeriodicalName\":\"Frontiers in Public Health\",\"FirstCategoryId\":\"3\",\"ListUrlMain\":\"https://doi.org/10.3389/fpubh.2025.1662116\",\"RegionNum\":3,\"RegionCategory\":\"医学\",\"ArticlePicture\":[],\"TitleCN\":null,\"AbstractTextCN\":null,\"PMCID\":null,\"EPubDate\":\"2025/1/1 0:00:00\",\"PubModel\":\"eCollection\",\"JCR\":\"Q2\",\"JCRName\":\"PUBLIC, ENVIRONMENTAL & OCCUPATIONAL HEALTH\",\"Score\":null,\"Total\":0}","platform":"Semanticscholar","paperid":null,"PeriodicalName":"Frontiers in Public Health","FirstCategoryId":"3","ListUrlMain":"https://doi.org/10.3389/fpubh.2025.1662116","RegionNum":3,"RegionCategory":"医学","ArticlePicture":[],"TitleCN":null,"AbstractTextCN":null,"PMCID":null,"EPubDate":"2025/1/1 0:00:00","PubModel":"eCollection","JCR":"Q2","JCRName":"PUBLIC, ENVIRONMENTAL & OCCUPATIONAL HEALTH","Score":null,"Total":0}
引用次数: 0

摘要

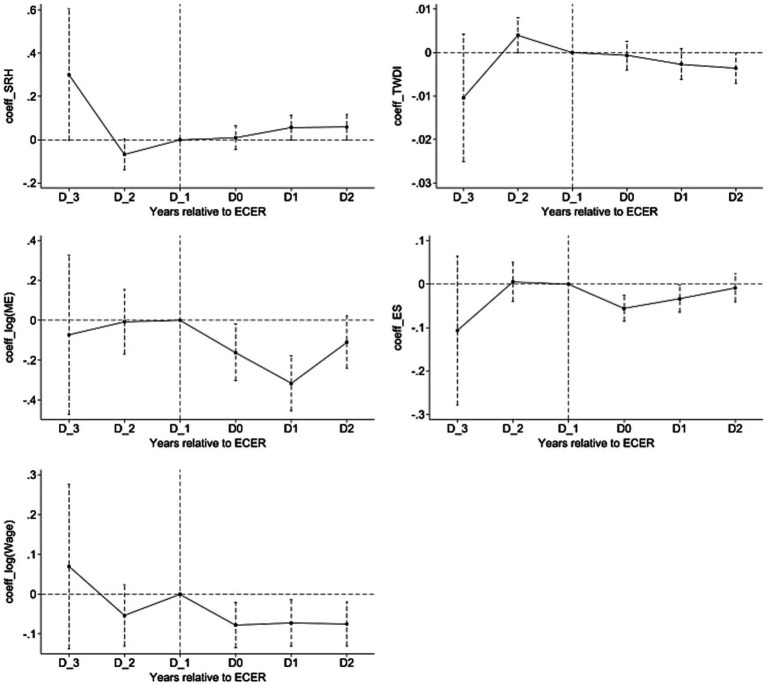
导论:多维、全面地评价节能减排对居民健康和福利的影响,有助于在世界范围内解决经济与环境的矛盾。方法:基于中国ECER示范城市政策,采用交错差中差法考察ECER对居民健康和劳动力市场绩效的影响,并结合理论模型对ECER的福利效应进行保守估计。结果:结果表明,电子商务极大地提高了居民的健康,提高自我报告健康(β = 0.06,p β = -0.004,p β = -0.183,p β = -0.032,p β = -0.055,p 结论:未来的政策应该逐步走向综合评估电子商务的成本和收益,特别重视团体之间的福利损失承担更高的成本。
本文章由计算机程序翻译,如有差异,请以英文原文为准。

Health benefits versus economic costs: welfare analysis of energy conservation and emission reduction.

Health benefits versus economic costs: welfare analysis of energy conservation and emission reduction.

Health benefits versus economic costs: welfare analysis of energy conservation and emission reduction.

Health benefits versus economic costs: welfare analysis of energy conservation and emission reduction.

Introduction: A multidimensional and comprehensive evaluation of the impact of energy conservation and emission reduction (ECER) on residents' health and welfare is conducive to resolving conflicts between economy and environment on a worldwide scale.

Methods: Based on China's ECER demonstration city policy, this paper uses a staggered difference-in-differences method to examine the impact of ECER on residents' health and labor market performance, and conservatively estimates the welfare effect of ECER in conjunction with a theoretical model.

Results: The results show that ECER significantly improves residents' health, raises self-rated health (β = 0.06, p < 0.05, 95% CI = -0.17 to 0.13), reduces the probability of illness affecting work (β = -0.004, p < 0.05, 95% CI = -0.01 to 0.01), and lowers medical expenditures (β = -0.183, p < 0.05, 95% CI = -0.64 to 0.10). However, ECER negatively affects residents' labor market performance, reducing employment status (β = -0.032, p < 0.10, 95% CI = -0.11 to 0.06) and wage (β = -0.055, p < 0.05, 95% CI = -0.23 to 0.00). Mechanism analysis suggests that ECER primarily improves health by reducing emissions of pollutants such as urban industrial wastewater, industrial sulphur dioxide, and industrial fumes and dust, and negatively influences labor market performance by promoting industrial restructuring. Heterogeneity analysis shows that there is a selection effect in the impacts, the health benefits and economic costs of ECER are mostly achieved and borne by groups in rural areas, non-provincial capitals, and those suffering from chronic diseases and not engaging in physical activity. Welfare analysis suggests that the health benefits of ECER result in higher welfare gains than the negative welfare impacts of its economic effects.

Conclusion: Future policies should progressively move towards an integrated assessment of the costs and benefits of ECER, paying particular attention to welfare losses among groups that bear higher costs.

求助全文
通过发布文献求助,成功后即可免费获取论文全文。 去求助
来源期刊
Frontiers in Public Health
Frontiers in Public Health Medicine-Public Health, Environmental and Occupational Health
CiteScore
4.80
自引率
7.70%
发文量
4469
审稿时长
14 weeks
期刊介绍: Frontiers in Public Health is a multidisciplinary open-access journal which publishes rigorously peer-reviewed research and is at the forefront of disseminating and communicating scientific knowledge and impactful discoveries to researchers, academics, clinicians, policy makers and the public worldwide. The journal aims at overcoming current fragmentation in research and publication, promoting consistency in pursuing relevant scientific themes, and supporting finding dissemination and translation into practice. Frontiers in Public Health is organized into Specialty Sections that cover different areas of research in the field. Please refer to the author guidelines for details on article types and the submission process.
×
引用
GB/T 7714-2015
复制
MLA
复制
APA
复制
导出至
BibTeX EndNote RefMan NoteFirst NoteExpress
×
提示
您的信息不完整,为了账户安全,请先补充。
现在去补充
×
提示
您因"违规操作"
具体请查看互助需知
我知道了
×
提示
确定
请完成安全验证×
copy
已复制链接
快去分享给好友吧!
我知道了
右上角分享
点击右上角分享
0
联系我们:info@booksci.cn Book学术提供免费学术资源搜索服务,方便国内外学者检索中英文文献。致力于提供最便捷和优质的服务体验。 Copyright © 2023 布克学术 All rights reserved.
京ICP备2023020795号-1
ghs 京公网安备 11010802042870号
Book学术文献互助
Book学术文献互助群
群 号:604180095
Book学术官方微信