在一个多种族亚洲队列中,新的eGFR方程和心血管结果。

IF 4.6 2区 医学 Q1 UROLOGY & NEPHROLOGY
Clinical Kidney Journal Pub Date : 2025-09-26 eCollection Date: 2025-10-01 DOI:10.1093/ckj/sfaf289
Zhong Hong Liew, Miao Li Chee, Riswana Banu, Yulia Liem, Ching-Yu Cheng, Cynthia Ciwei Lim, Charumathi Sabanayagam
{"title":"在一个多种族亚洲队列中,新的eGFR方程和心血管结果。","authors":"Zhong Hong Liew, Miao Li Chee, Riswana Banu, Yulia Liem, Ching-Yu Cheng, Cynthia Ciwei Lim, Charumathi Sabanayagam","doi":"10.1093/ckj/sfaf289","DOIUrl":null,"url":null,"abstract":"<p><strong>Background: </strong>Novel creatinine-based glomerular filtration rate (GFR) estimating equations were proposed for chronic kidney disease (CKD) evaluation but their comparative ability to predict mortality and cardiovascular events is less established. We compared four Chronic Kidney Disease Epidemiology Collaboration equations and three European Kidney Function Consortium (EKFC) equations in predicting risk for all-cause mortality and cardiovascular events in multiethnic Asians.</p><p><strong>Methods: </strong>We performed analysis of Singapore Epidemiology of Eye Diseases population-based cohort that recruited Chinese and Indian aged 40-80 years between 2007 and 2011. The outcomes of death and incident cardiovascular events were ascertained by data linkage with National Registry of Diseases Office until 31 March 2021. Using Cox proportional hazards model, we conducted multivariable regression analyses to evaluate the association of CKD and outcomes. C-statistic was performed to compare prediction performance of these equations.</p><p><strong>Results: </strong>During a mean follow-up of 11.3 ± 2.2 years, the all-cause mortality rate was 12.9% (743 of 5738 participants). When using Creat-ASR 2009, Creat-AS 2021, Cys 2012, Creat-cys 2021, EKFCcreat, EKFCcys and EKFCcreat-cys, mortality rates among those with CKD (eGFR <60 mL/min/1.73 m<sup>2</sup>) were 41.3%, 45.3%, 39.7%, 47.9%, 41.4%, 43.1% and 45.8%, respectively. After excluding those with existing cardiovascular disease (CVD), incident cardiovascular event rate was 9.9% (508 of 5120 participants). For all-cause mortality, Creat-cys 2021 (C-index 0.809) had better predictive ability than Creat-ASR 2009 (0.806, <i>P</i> = .001), Creat-AS 2021 (0.807, <i>P</i> = .016) and EKFCcreat (0.806, <i>P</i> = .001). For incident CVD, there was no difference in CVD prediction between Creat-cys 2021 (C-index 0.794) and EKFCcreat (0.792, <i>P</i> = .263) or Creat-AS 2021 (0.790, <i>P</i> = .050).</p><p><strong>Conclusion: </strong>Creat-cys 2021 outperformed creatinine-based GFR equations and demonstrated comparable performance to Cys 2012, EKFCcys and EKFCcreat-cys in predicting all-cause mortality. For incident CVD, Creat-AS 2021 and EKFCcreat demonstrated performance comparable to that of Cys 2012, Creat-cys 2021, EKFCcys and EKFCcreat-cys, providing cost-effective and equally reliable alternatives in this multiethnic Asian population.</p>","PeriodicalId":10435,"journal":{"name":"Clinical Kidney Journal","volume":"18 10","pages":"sfaf289"},"PeriodicalIF":4.6000,"publicationDate":"2025-09-26","publicationTypes":"Journal Article","fieldsOfStudy":null,"isOpenAccess":false,"openAccessPdf":"https://www.ncbi.nlm.nih.gov/pmc/articles/PMC12511940/pdf/","citationCount":"0","resultStr":"{\"title\":\"Novel eGFR equations and cardiovascular outcomes in a multiethnic Asian cohort.\",\"authors\":\"Zhong Hong Liew, Miao Li Chee, Riswana Banu, Yulia Liem, Ching-Yu Cheng, Cynthia Ciwei Lim, Charumathi Sabanayagam\",\"doi\":\"10.1093/ckj/sfaf289\",\"DOIUrl\":null,\"url\":null,\"abstract\":\"<p><strong>Background: </strong>Novel creatinine-based glomerular filtration rate (GFR) estimating equations were proposed for chronic kidney disease (CKD) evaluation but their comparative ability to predict mortality and cardiovascular events is less established. We compared four Chronic Kidney Disease Epidemiology Collaboration equations and three European Kidney Function Consortium (EKFC) equations in predicting risk for all-cause mortality and cardiovascular events in multiethnic Asians.</p><p><strong>Methods: </strong>We performed analysis of Singapore Epidemiology of Eye Diseases population-based cohort that recruited Chinese and Indian aged 40-80 years between 2007 and 2011. The outcomes of death and incident cardiovascular events were ascertained by data linkage with National Registry of Diseases Office until 31 March 2021. Using Cox proportional hazards model, we conducted multivariable regression analyses to evaluate the association of CKD and outcomes. C-statistic was performed to compare prediction performance of these equations.</p><p><strong>Results: </strong>During a mean follow-up of 11.3 ± 2.2 years, the all-cause mortality rate was 12.9% (743 of 5738 participants). When using Creat-ASR 2009, Creat-AS 2021, Cys 2012, Creat-cys 2021, EKFCcreat, EKFCcys and EKFCcreat-cys, mortality rates among those with CKD (eGFR <60 mL/min/1.73 m<sup>2</sup>) were 41.3%, 45.3%, 39.7%, 47.9%, 41.4%, 43.1% and 45.8%, respectively. After excluding those with existing cardiovascular disease (CVD), incident cardiovascular event rate was 9.9% (508 of 5120 participants). For all-cause mortality, Creat-cys 2021 (C-index 0.809) had better predictive ability than Creat-ASR 2009 (0.806, <i>P</i> = .001), Creat-AS 2021 (0.807, <i>P</i> = .016) and EKFCcreat (0.806, <i>P</i> = .001). For incident CVD, there was no difference in CVD prediction between Creat-cys 2021 (C-index 0.794) and EKFCcreat (0.792, <i>P</i> = .263) or Creat-AS 2021 (0.790, <i>P</i> = .050).</p><p><strong>Conclusion: </strong>Creat-cys 2021 outperformed creatinine-based GFR equations and demonstrated comparable performance to Cys 2012, EKFCcys and EKFCcreat-cys in predicting all-cause mortality. For incident CVD, Creat-AS 2021 and EKFCcreat demonstrated performance comparable to that of Cys 2012, Creat-cys 2021, EKFCcys and EKFCcreat-cys, providing cost-effective and equally reliable alternatives in this multiethnic Asian population.</p>\",\"PeriodicalId\":10435,\"journal\":{\"name\":\"Clinical Kidney Journal\",\"volume\":\"18 10\",\"pages\":\"sfaf289\"},\"PeriodicalIF\":4.6000,\"publicationDate\":\"2025-09-26\",\"publicationTypes\":\"Journal Article\",\"fieldsOfStudy\":null,\"isOpenAccess\":false,\"openAccessPdf\":\"https://www.ncbi.nlm.nih.gov/pmc/articles/PMC12511940/pdf/\",\"citationCount\":\"0\",\"resultStr\":null,\"platform\":\"Semanticscholar\",\"paperid\":null,\"PeriodicalName\":\"Clinical Kidney Journal\",\"FirstCategoryId\":\"3\",\"ListUrlMain\":\"https://doi.org/10.1093/ckj/sfaf289\",\"RegionNum\":2,\"RegionCategory\":\"医学\",\"ArticlePicture\":[],\"TitleCN\":null,\"AbstractTextCN\":null,\"PMCID\":null,\"EPubDate\":\"2025/10/1 0:00:00\",\"PubModel\":\"eCollection\",\"JCR\":\"Q1\",\"JCRName\":\"UROLOGY & NEPHROLOGY\",\"Score\":null,\"Total\":0}","platform":"Semanticscholar","paperid":null,"PeriodicalName":"Clinical Kidney Journal","FirstCategoryId":"3","ListUrlMain":"https://doi.org/10.1093/ckj/sfaf289","RegionNum":2,"RegionCategory":"医学","ArticlePicture":[],"TitleCN":null,"AbstractTextCN":null,"PMCID":null,"EPubDate":"2025/10/1 0:00:00","PubModel":"eCollection","JCR":"Q1","JCRName":"UROLOGY & NEPHROLOGY","Score":null,"Total":0}
引用次数: 0

摘要

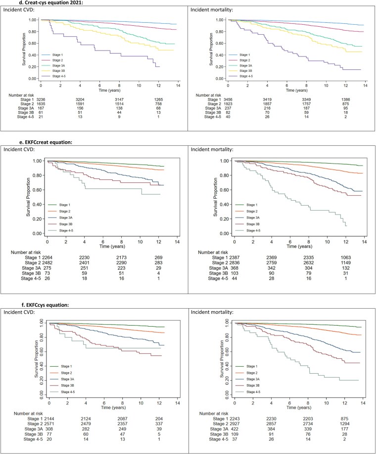
背景:新的基于肌酐的肾小球滤过率(GFR)估算方程被提出用于慢性肾脏疾病(CKD)的评估,但其预测死亡率和心血管事件的比较能力尚不确定。我们比较了四种慢性肾脏疾病流行病学合作方程和三种欧洲肾脏功能联盟(EKFC)方程在预测多种族亚洲人全因死亡率和心血管事件风险方面的作用。方法:我们对新加坡眼病流行病学人群队列进行了分析,该队列招募了年龄在40-80岁之间的中国人和印度人。截至2021年3月31日,通过与国家疾病登记处的数据联系确定了死亡和心血管事件的结果。使用Cox比例风险模型,我们进行了多变量回归分析,以评估CKD与预后的关系。采用c统计量比较这些方程的预测性能。结果:在平均随访11.3±2.2年期间,全因死亡率为12.9%(5738名参与者中有743人)。使用Creat-ASR 2009、creat- as2021、Cys 2012、Creat-cys 2021、EKFCcreat、EKFCcys和EKFCcreat- Cys时,CKD患者(eGFR 2)的死亡率分别为41.3%、45.3%、39.7%、47.9%、41.4%、43.1%和45.8%。在排除已有心血管疾病(CVD)的患者后,心血管事件发生率为9.9%(5120名参与者中有508名)。对于全因死亡率,Creat-cys 2021 (c指数0.809)的预测能力优于Creat-ASR 2009 (0.806, P = .001)、creat - as2021 (0.807, P = .016)和EKFCcreat (0.806, P = .001)。对于CVD事件,Creat-cys 2021 (C-index 0.794)与EKFCcreat (0.792, P = 0.263)或Creat-AS 2021 (0.790, P = 0.050)的CVD预测无差异。结论:Creat-cys 2021在预测全因死亡率方面优于基于肌酐的GFR方程,并且在预测全因死亡率方面与Cys 2012、EKFCcys和EKFCcreat-cys表现相当。对于偶发性心血管疾病,Creat-AS 2021和EKFCcreat的表现与Cys 2012、Creat-cys 2021、ekfcys和EKFCcreat- Cys相当,为多种族亚洲人群提供了具有成本效益且同样可靠的替代方案。
本文章由计算机程序翻译,如有差异,请以英文原文为准。

Novel eGFR equations and cardiovascular outcomes in a multiethnic Asian cohort.

Novel eGFR equations and cardiovascular outcomes in a multiethnic Asian cohort.

Novel eGFR equations and cardiovascular outcomes in a multiethnic Asian cohort.

Novel eGFR equations and cardiovascular outcomes in a multiethnic Asian cohort.

Background: Novel creatinine-based glomerular filtration rate (GFR) estimating equations were proposed for chronic kidney disease (CKD) evaluation but their comparative ability to predict mortality and cardiovascular events is less established. We compared four Chronic Kidney Disease Epidemiology Collaboration equations and three European Kidney Function Consortium (EKFC) equations in predicting risk for all-cause mortality and cardiovascular events in multiethnic Asians.

Methods: We performed analysis of Singapore Epidemiology of Eye Diseases population-based cohort that recruited Chinese and Indian aged 40-80 years between 2007 and 2011. The outcomes of death and incident cardiovascular events were ascertained by data linkage with National Registry of Diseases Office until 31 March 2021. Using Cox proportional hazards model, we conducted multivariable regression analyses to evaluate the association of CKD and outcomes. C-statistic was performed to compare prediction performance of these equations.

Results: During a mean follow-up of 11.3 ± 2.2 years, the all-cause mortality rate was 12.9% (743 of 5738 participants). When using Creat-ASR 2009, Creat-AS 2021, Cys 2012, Creat-cys 2021, EKFCcreat, EKFCcys and EKFCcreat-cys, mortality rates among those with CKD (eGFR <60 mL/min/1.73 m2) were 41.3%, 45.3%, 39.7%, 47.9%, 41.4%, 43.1% and 45.8%, respectively. After excluding those with existing cardiovascular disease (CVD), incident cardiovascular event rate was 9.9% (508 of 5120 participants). For all-cause mortality, Creat-cys 2021 (C-index 0.809) had better predictive ability than Creat-ASR 2009 (0.806, P = .001), Creat-AS 2021 (0.807, P = .016) and EKFCcreat (0.806, P = .001). For incident CVD, there was no difference in CVD prediction between Creat-cys 2021 (C-index 0.794) and EKFCcreat (0.792, P = .263) or Creat-AS 2021 (0.790, P = .050).

Conclusion: Creat-cys 2021 outperformed creatinine-based GFR equations and demonstrated comparable performance to Cys 2012, EKFCcys and EKFCcreat-cys in predicting all-cause mortality. For incident CVD, Creat-AS 2021 and EKFCcreat demonstrated performance comparable to that of Cys 2012, Creat-cys 2021, EKFCcys and EKFCcreat-cys, providing cost-effective and equally reliable alternatives in this multiethnic Asian population.

求助全文
通过发布文献求助,成功后即可免费获取论文全文。 去求助
来源期刊
Clinical Kidney Journal
Clinical Kidney Journal Medicine-Transplantation
CiteScore
6.70
自引率
10.90%
发文量
242
审稿时长
8 weeks
期刊介绍: About the Journal Clinical Kidney Journal: Clinical and Translational Nephrology (ckj), an official journal of the ERA-EDTA (European Renal Association-European Dialysis and Transplant Association), is a fully open access, online only journal publishing bimonthly. The journal is an essential educational and training resource integrating clinical, translational and educational research into clinical practice. ckj aims to contribute to a translational research culture among nephrologists and kidney pathologists that helps close the gap between basic researchers and practicing clinicians and promote sorely needed innovation in the Nephrology field. All research articles in this journal have undergone peer review.
×
引用
GB/T 7714-2015
复制
MLA
复制
APA
复制
导出至
BibTeX EndNote RefMan NoteFirst NoteExpress
×
提示
您的信息不完整,为了账户安全,请先补充。
现在去补充
×
提示
您因"违规操作"
具体请查看互助需知
我知道了
×
提示
确定
请完成安全验证×
copy
已复制链接
快去分享给好友吧!
我知道了
右上角分享
点击右上角分享
0
联系我们:info@booksci.cn Book学术提供免费学术资源搜索服务,方便国内外学者检索中英文文献。致力于提供最便捷和优质的服务体验。 Copyright © 2023 布克学术 All rights reserved.
京ICP备2023020795号-1
ghs 京公网安备 11010802042870号
Book学术文献互助
Book学术文献互助群
群 号:604180095
Book学术官方微信