中国南方健康人群红唇的生物生理特征——年龄与红唇生理的关系

IF 3.2 4区 医学 Q3 DERMATOLOGY
Yaru Wang, Qidi He, Fanqi Kong, Jing Cheng, Rongzi Ye, Jiaen Liang, Yaobin Ou, Jiaying Xie, Jianhua Tan
{"title":"中国南方健康人群红唇的生物生理特征——年龄与红唇生理的关系","authors":"Yaru Wang, Qidi He, Fanqi Kong, Jing Cheng, Rongzi Ye, Jiaen Liang, Yaobin Ou, Jiaying Xie, Jianhua Tan","doi":"10.1111/srt.70228","DOIUrl":null,"url":null,"abstract":"<p><strong>Background: </strong>The vermilion of the lips plays an important role in the aesthetic appreciation of the lower face. However, there were few human subject studies on the vermilion of the lips in China. This study aimed to investigate the physiological characteristics of lip vermilion of healthy individuals living in China.</p><p><strong>Methods: </strong>Volunteers aged 18-55 years were divided into three age groups, namely the younger, the medium, and the older. Lip physiological indicators, including stratum corneum hydration (SCH), epidermal layer hydration (ELH) at a depth of 0.5 mm below the vermilion surface, transepidermal water loss (TEWL), instant skin elasticity (ISE), glossiness, and color were measured through objective and noninvasive measurement instruments and optical imaging techniques. Data comparison and analysis among tested physiological indicators and across various instruments were also conducted.</p><p><strong>Results: </strong>Statistically significant negative correlations were identified between age and several parameters, including ISE, glossiness, the L*, a*, and b* values, as well as the erythema index (EI) for the lower lip vermilion (p < 0.05). In contrast, a positive correlation was observed between age and ELH (p < 0.05). The lower lip vermilion in the younger group exhibited markedly higher glossiness and color metrics (L*, a*, EI) compared to the older group (p < 0.05). Additionally, a clear negative relationship was noted between TEWL and both elasticity and SCH for the lower lip vermilion (p < 0.05). Futhermore, the upper lip vermilion demonstrated a higher SCH and a lower TEWL (p < 0.05) than the lower lip vermillion. Image analysis by VISIA-CR proved to be more effective for evaluating lip color than SkinColorCatch due to their different detection mechanisms.</p><p><strong>Conclusion: </strong>This study revealed the influence of age on lip physiological indicators, and demonstrated the correlations among non-color physiological parameters. It also highlighted the physiological disparities between the upper and lower lips. These insights may enhance our comprehension of lip vermilion physiology and offer a theoretical foundation for the efficacy assessment of lip care products.</p>","PeriodicalId":21746,"journal":{"name":"Skin Research and Technology","volume":"31 10","pages":"e70228"},"PeriodicalIF":3.2000,"publicationDate":"2025-10-01","publicationTypes":"Journal Article","fieldsOfStudy":null,"isOpenAccess":false,"openAccessPdf":"https://www.ncbi.nlm.nih.gov/pmc/articles/PMC12514015/pdf/","citationCount":"0","resultStr":"{\"title\":\"Biophysical Characteristics of Lip Vermilion among Healthy Individuals in Southern China -- Correlations between Age and Vermilion Physiology.\",\"authors\":\"Yaru Wang, Qidi He, Fanqi Kong, Jing Cheng, Rongzi Ye, Jiaen Liang, Yaobin Ou, Jiaying Xie, Jianhua Tan\",\"doi\":\"10.1111/srt.70228\",\"DOIUrl\":null,\"url\":null,\"abstract\":\"<p><strong>Background: </strong>The vermilion of the lips plays an important role in the aesthetic appreciation of the lower face. However, there were few human subject studies on the vermilion of the lips in China. This study aimed to investigate the physiological characteristics of lip vermilion of healthy individuals living in China.</p><p><strong>Methods: </strong>Volunteers aged 18-55 years were divided into three age groups, namely the younger, the medium, and the older. Lip physiological indicators, including stratum corneum hydration (SCH), epidermal layer hydration (ELH) at a depth of 0.5 mm below the vermilion surface, transepidermal water loss (TEWL), instant skin elasticity (ISE), glossiness, and color were measured through objective and noninvasive measurement instruments and optical imaging techniques. Data comparison and analysis among tested physiological indicators and across various instruments were also conducted.</p><p><strong>Results: </strong>Statistically significant negative correlations were identified between age and several parameters, including ISE, glossiness, the L*, a*, and b* values, as well as the erythema index (EI) for the lower lip vermilion (p < 0.05). In contrast, a positive correlation was observed between age and ELH (p < 0.05). The lower lip vermilion in the younger group exhibited markedly higher glossiness and color metrics (L*, a*, EI) compared to the older group (p < 0.05). Additionally, a clear negative relationship was noted between TEWL and both elasticity and SCH for the lower lip vermilion (p < 0.05). Futhermore, the upper lip vermilion demonstrated a higher SCH and a lower TEWL (p < 0.05) than the lower lip vermillion. Image analysis by VISIA-CR proved to be more effective for evaluating lip color than SkinColorCatch due to their different detection mechanisms.</p><p><strong>Conclusion: </strong>This study revealed the influence of age on lip physiological indicators, and demonstrated the correlations among non-color physiological parameters. It also highlighted the physiological disparities between the upper and lower lips. These insights may enhance our comprehension of lip vermilion physiology and offer a theoretical foundation for the efficacy assessment of lip care products.</p>\",\"PeriodicalId\":21746,\"journal\":{\"name\":\"Skin Research and Technology\",\"volume\":\"31 10\",\"pages\":\"e70228\"},\"PeriodicalIF\":3.2000,\"publicationDate\":\"2025-10-01\",\"publicationTypes\":\"Journal Article\",\"fieldsOfStudy\":null,\"isOpenAccess\":false,\"openAccessPdf\":\"https://www.ncbi.nlm.nih.gov/pmc/articles/PMC12514015/pdf/\",\"citationCount\":\"0\",\"resultStr\":null,\"platform\":\"Semanticscholar\",\"paperid\":null,\"PeriodicalName\":\"Skin Research and Technology\",\"FirstCategoryId\":\"3\",\"ListUrlMain\":\"https://doi.org/10.1111/srt.70228\",\"RegionNum\":4,\"RegionCategory\":\"医学\",\"ArticlePicture\":[],\"TitleCN\":null,\"AbstractTextCN\":null,\"PMCID\":null,\"EPubDate\":\"\",\"PubModel\":\"\",\"JCR\":\"Q3\",\"JCRName\":\"DERMATOLOGY\",\"Score\":null,\"Total\":0}","platform":"Semanticscholar","paperid":null,"PeriodicalName":"Skin Research and Technology","FirstCategoryId":"3","ListUrlMain":"https://doi.org/10.1111/srt.70228","RegionNum":4,"RegionCategory":"医学","ArticlePicture":[],"TitleCN":null,"AbstractTextCN":null,"PMCID":null,"EPubDate":"","PubModel":"","JCR":"Q3","JCRName":"DERMATOLOGY","Score":null,"Total":0}
引用次数: 0

摘要

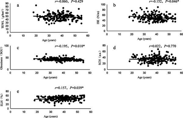
背景:唇部的朱红色在下脸的审美中起着重要的作用。然而,中国很少有关于红唇的人体实验研究。本研究旨在探讨中国健康人群红唇的生理特征。方法:将18-55岁的志愿者分为青年、中等、老年三个年龄组。通过客观无创测量仪器和光学成像技术测量唇部生理指标,包括角质层水合(SCH)、表皮层水合(ELH)、经皮失水(TEWL)、瞬时皮肤弹性(ISE)、光泽度和颜色。并对所测生理指标间和不同仪器间的数据进行了比较和分析。结果:年龄与ISE、光泽度、L*、a*、b*值、下唇朱红色红斑指数(EI)等参数呈显著负相关(p < 0.05)。年龄与ELH呈正相关(p < 0.05)。与老年组相比,年轻组的下唇朱红色的光泽度和颜色指标(L*, a*, EI)明显更高(p < 0.05)。此外,下唇朱砂的TEWL与弹性和SCH均呈显著负相关(p < 0.05)。此外,上唇朱红色比下唇朱红色具有更高的SCH和更低的TEWL (p < 0.05)。由于检测机制不同,使用VISIA-CR进行图像分析比SkinColorCatch更有效地评估唇色。结论:本研究揭示了年龄对唇部生理指标的影响,并证实了非颜色生理参数之间的相关性。它还强调了上嘴唇和下唇之间的生理差异。这些见解可以增强我们对红唇生理的理解,并为唇部护理产品的功效评估提供理论基础。
本文章由计算机程序翻译,如有差异,请以英文原文为准。

Biophysical Characteristics of Lip Vermilion among Healthy Individuals in Southern China -- Correlations between Age and Vermilion Physiology.

Biophysical Characteristics of Lip Vermilion among Healthy Individuals in Southern China -- Correlations between Age and Vermilion Physiology.

Biophysical Characteristics of Lip Vermilion among Healthy Individuals in Southern China -- Correlations between Age and Vermilion Physiology.

Biophysical Characteristics of Lip Vermilion among Healthy Individuals in Southern China -- Correlations between Age and Vermilion Physiology.

Background: The vermilion of the lips plays an important role in the aesthetic appreciation of the lower face. However, there were few human subject studies on the vermilion of the lips in China. This study aimed to investigate the physiological characteristics of lip vermilion of healthy individuals living in China.

Methods: Volunteers aged 18-55 years were divided into three age groups, namely the younger, the medium, and the older. Lip physiological indicators, including stratum corneum hydration (SCH), epidermal layer hydration (ELH) at a depth of 0.5 mm below the vermilion surface, transepidermal water loss (TEWL), instant skin elasticity (ISE), glossiness, and color were measured through objective and noninvasive measurement instruments and optical imaging techniques. Data comparison and analysis among tested physiological indicators and across various instruments were also conducted.

Results: Statistically significant negative correlations were identified between age and several parameters, including ISE, glossiness, the L*, a*, and b* values, as well as the erythema index (EI) for the lower lip vermilion (p < 0.05). In contrast, a positive correlation was observed between age and ELH (p < 0.05). The lower lip vermilion in the younger group exhibited markedly higher glossiness and color metrics (L*, a*, EI) compared to the older group (p < 0.05). Additionally, a clear negative relationship was noted between TEWL and both elasticity and SCH for the lower lip vermilion (p < 0.05). Futhermore, the upper lip vermilion demonstrated a higher SCH and a lower TEWL (p < 0.05) than the lower lip vermillion. Image analysis by VISIA-CR proved to be more effective for evaluating lip color than SkinColorCatch due to their different detection mechanisms.

Conclusion: This study revealed the influence of age on lip physiological indicators, and demonstrated the correlations among non-color physiological parameters. It also highlighted the physiological disparities between the upper and lower lips. These insights may enhance our comprehension of lip vermilion physiology and offer a theoretical foundation for the efficacy assessment of lip care products.

求助全文
通过发布文献求助,成功后即可免费获取论文全文。 去求助
来源期刊
Skin Research and Technology
Skin Research and Technology 医学-皮肤病学
CiteScore
3.30
自引率
9.10%
发文量
95
审稿时长
6-12 weeks
期刊介绍: Skin Research and Technology is a clinically-oriented journal on biophysical methods and imaging techniques and how they are used in dermatology, cosmetology and plastic surgery for noninvasive quantification of skin structure and functions. Papers are invited on the development and validation of methods and their application in the characterization of diseased, abnormal and normal skin. Topics include blood flow, colorimetry, thermography, evaporimetry, epidermal humidity, desquamation, profilometry, skin mechanics, epiluminiscence microscopy, high-frequency ultrasonography, confocal microscopy, digital imaging, image analysis and computerized evaluation and magnetic resonance. Noninvasive biochemical methods (such as lipids, keratin and tissue water) and the instrumental evaluation of cytological and histological samples are also covered. The journal has a wide scope and aims to link scientists, clinical researchers and technicians through original articles, communications, editorials and commentaries, letters, reviews, announcements and news. Contributions should be clear, experimentally sound and novel.
×
引用
GB/T 7714-2015
复制
MLA
复制
APA
复制
导出至
BibTeX EndNote RefMan NoteFirst NoteExpress
×
提示
您的信息不完整,为了账户安全,请先补充。
现在去补充
×
提示
您因"违规操作"
具体请查看互助需知
我知道了
×
提示
确定
请完成安全验证×
copy
已复制链接
快去分享给好友吧!
我知道了
右上角分享
点击右上角分享
0
联系我们:info@booksci.cn Book学术提供免费学术资源搜索服务,方便国内外学者检索中英文文献。致力于提供最便捷和优质的服务体验。 Copyright © 2023 布克学术 All rights reserved.
京ICP备2023020795号-1
ghs 京公网安备 11010802042870号
Book学术文献互助
Book学术文献互助群
群 号:604180095
Book学术官方微信