肝素可提高非肺脓毒症相关ARDS患者的死亡率:基于倾向评分匹配的MIMIC-IV数据库分析

IF 2.6 3区 综合性期刊 Q1 MULTIDISCIPLINARY SCIENCES
PLoS ONE Pub Date : 2025-10-10 eCollection Date: 2025-01-01 DOI:10.1371/journal.pone.0333795
Jinfeng Lin, Zhilong Cao, Chunfeng Gu, Lijun Tian, Yadong Wang, Xudong Han
{"title":"肝素可提高非肺脓毒症相关ARDS患者的死亡率:基于倾向评分匹配的MIMIC-IV数据库分析","authors":"Jinfeng Lin, Zhilong Cao, Chunfeng Gu, Lijun Tian, Yadong Wang, Xudong Han","doi":"10.1371/journal.pone.0333795","DOIUrl":null,"url":null,"abstract":"<p><strong>Background: </strong>Non-pulmonary sepsis often induces Acute Respiratory Distress Syndrome (ARDS). Dysregulated inflammation and coagulation disorders play important roles in the development of non-pulmonary sepsis-associated ARDS (NPS-ARDS). Heparin, with its potential anticoagulant and anti-inflammatory properties, may be used in the treatment of NPS-ARDS.</p><p><strong>Methods: </strong>This is a retrospective observational study that uses Structured Query Language (SQL) to extract clinical data of NPS-ARDS patients from the Medical Information Mart for Intensive Care (MIMIC)-IV database. Based on the dosage of heparin, patients were divided into three groups: low-dose heparin treatment group (0-5000u/d), medium-dose heparin treatment group (5000u-10000u/d), and high-dose heparin treatment group (greater than 10000u/d). Propensity score matching (1:1) was used to match similar patients from the NPS-ARDS patients who did not use heparin to each heparin treatment group. The study compares the effects of heparin at different dosages on short-term mortality (7-day, 28-day, and 60-day mortality) and one-year cumulative survival rate in NPS-ARDS patients.</p><p><strong>Results: </strong>PSM reduced the impact of confounding factors on the results to some extent. Low and medium doses of heparin did not improve patient mortality. However, high-dose heparin improved the short-term mortality of NPS-ARDS patients (7-day mortality: 4.1% vs. 14.3%, P < 0.001; 28-day mortality: 9.4% vs. 22.6%, P < 0.001; 60-day mortality: 13.2% vs. 24.8%, P = 0.001) and one-year cumulative survival rate (Log Rank = 8.349, P = 0.004), but it also prolonged ICU stay (6.7 ± 6.2 days vs. 5.7 ± 4.8 days, P = 0.041) and invasive mechanical ventilation (11.7 ± 6.9 hours/day vs. 5.7 ± 4.8 hours/day, P < 0.001).</p><p><strong>Conclusion: </strong>In patients with NPS-ARDS, high-dose heparin was associated with significantly improved short- and long-term survival, albeit at the cost of prolonged ICU stay and mechanical ventilation.</p>","PeriodicalId":20189,"journal":{"name":"PLoS ONE","volume":"20 10","pages":"e0333795"},"PeriodicalIF":2.6000,"publicationDate":"2025-10-10","publicationTypes":"Journal Article","fieldsOfStudy":null,"isOpenAccess":false,"openAccessPdf":"https://www.ncbi.nlm.nih.gov/pmc/articles/PMC12513587/pdf/","citationCount":"0","resultStr":"{\"title\":\"Heparin improves the mortality of patients with non-pulmonary sepsis-associated ARDS: A MIMIC-IV database analysis based on propensity score matching.\",\"authors\":\"Jinfeng Lin, Zhilong Cao, Chunfeng Gu, Lijun Tian, Yadong Wang, Xudong Han\",\"doi\":\"10.1371/journal.pone.0333795\",\"DOIUrl\":null,\"url\":null,\"abstract\":\"<p><strong>Background: </strong>Non-pulmonary sepsis often induces Acute Respiratory Distress Syndrome (ARDS). Dysregulated inflammation and coagulation disorders play important roles in the development of non-pulmonary sepsis-associated ARDS (NPS-ARDS). Heparin, with its potential anticoagulant and anti-inflammatory properties, may be used in the treatment of NPS-ARDS.</p><p><strong>Methods: </strong>This is a retrospective observational study that uses Structured Query Language (SQL) to extract clinical data of NPS-ARDS patients from the Medical Information Mart for Intensive Care (MIMIC)-IV database. Based on the dosage of heparin, patients were divided into three groups: low-dose heparin treatment group (0-5000u/d), medium-dose heparin treatment group (5000u-10000u/d), and high-dose heparin treatment group (greater than 10000u/d). Propensity score matching (1:1) was used to match similar patients from the NPS-ARDS patients who did not use heparin to each heparin treatment group. The study compares the effects of heparin at different dosages on short-term mortality (7-day, 28-day, and 60-day mortality) and one-year cumulative survival rate in NPS-ARDS patients.</p><p><strong>Results: </strong>PSM reduced the impact of confounding factors on the results to some extent. Low and medium doses of heparin did not improve patient mortality. However, high-dose heparin improved the short-term mortality of NPS-ARDS patients (7-day mortality: 4.1% vs. 14.3%, P < 0.001; 28-day mortality: 9.4% vs. 22.6%, P < 0.001; 60-day mortality: 13.2% vs. 24.8%, P = 0.001) and one-year cumulative survival rate (Log Rank = 8.349, P = 0.004), but it also prolonged ICU stay (6.7 ± 6.2 days vs. 5.7 ± 4.8 days, P = 0.041) and invasive mechanical ventilation (11.7 ± 6.9 hours/day vs. 5.7 ± 4.8 hours/day, P < 0.001).</p><p><strong>Conclusion: </strong>In patients with NPS-ARDS, high-dose heparin was associated with significantly improved short- and long-term survival, albeit at the cost of prolonged ICU stay and mechanical ventilation.</p>\",\"PeriodicalId\":20189,\"journal\":{\"name\":\"PLoS ONE\",\"volume\":\"20 10\",\"pages\":\"e0333795\"},\"PeriodicalIF\":2.6000,\"publicationDate\":\"2025-10-10\",\"publicationTypes\":\"Journal Article\",\"fieldsOfStudy\":null,\"isOpenAccess\":false,\"openAccessPdf\":\"https://www.ncbi.nlm.nih.gov/pmc/articles/PMC12513587/pdf/\",\"citationCount\":\"0\",\"resultStr\":null,\"platform\":\"Semanticscholar\",\"paperid\":null,\"PeriodicalName\":\"PLoS ONE\",\"FirstCategoryId\":\"103\",\"ListUrlMain\":\"https://doi.org/10.1371/journal.pone.0333795\",\"RegionNum\":3,\"RegionCategory\":\"综合性期刊\",\"ArticlePicture\":[],\"TitleCN\":null,\"AbstractTextCN\":null,\"PMCID\":null,\"EPubDate\":\"2025/1/1 0:00:00\",\"PubModel\":\"eCollection\",\"JCR\":\"Q1\",\"JCRName\":\"MULTIDISCIPLINARY SCIENCES\",\"Score\":null,\"Total\":0}","platform":"Semanticscholar","paperid":null,"PeriodicalName":"PLoS ONE","FirstCategoryId":"103","ListUrlMain":"https://doi.org/10.1371/journal.pone.0333795","RegionNum":3,"RegionCategory":"综合性期刊","ArticlePicture":[],"TitleCN":null,"AbstractTextCN":null,"PMCID":null,"EPubDate":"2025/1/1 0:00:00","PubModel":"eCollection","JCR":"Q1","JCRName":"MULTIDISCIPLINARY SCIENCES","Score":null,"Total":0}
引用次数: 0

摘要

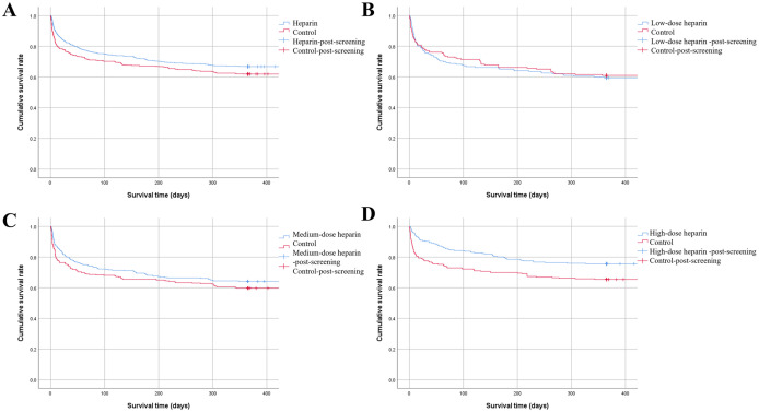
背景:非肺脓毒症常诱发急性呼吸窘迫综合征(ARDS)。炎症和凝血功能紊乱在非肺脓毒症相关ARDS (NPS-ARDS)的发展中起重要作用。肝素具有潜在的抗凝和抗炎特性,可用于NPS-ARDS的治疗。方法:采用结构化查询语言(SQL)从重症监护医疗信息集市(MIMIC)-IV数据库中提取NPS-ARDS患者的临床资料,进行回顾性观察研究。根据肝素用量将患者分为低剂量肝素治疗组(0 ~ 5000u/d)、中剂量肝素治疗组(5000u ~ 10000u/d)、高剂量肝素治疗组(大于10000u/d)三组。采用倾向评分匹配(1:1)将未使用肝素的NPS-ARDS患者中的相似患者与各肝素治疗组进行匹配。该研究比较了不同剂量肝素对NPS-ARDS患者短期死亡率(7天、28天和60天死亡率)和1年累积生存率的影响。结果:PSM在一定程度上降低了混杂因素对结果的影响。低剂量和中剂量肝素并没有改善患者死亡率。然而,高剂量肝素可改善NPS-ARDS患者的短期死亡率(7天死亡率:4.1% vs. 14.3%)。结论:在NPS-ARDS患者中,高剂量肝素可显著改善短期和长期生存率,尽管以延长ICU住院时间和机械通气为代价。
本文章由计算机程序翻译,如有差异,请以英文原文为准。

Heparin improves the mortality of patients with non-pulmonary sepsis-associated ARDS: A MIMIC-IV database analysis based on propensity score matching.

Heparin improves the mortality of patients with non-pulmonary sepsis-associated ARDS: A MIMIC-IV database analysis based on propensity score matching.

Heparin improves the mortality of patients with non-pulmonary sepsis-associated ARDS: A MIMIC-IV database analysis based on propensity score matching.

Heparin improves the mortality of patients with non-pulmonary sepsis-associated ARDS: A MIMIC-IV database analysis based on propensity score matching.

Background: Non-pulmonary sepsis often induces Acute Respiratory Distress Syndrome (ARDS). Dysregulated inflammation and coagulation disorders play important roles in the development of non-pulmonary sepsis-associated ARDS (NPS-ARDS). Heparin, with its potential anticoagulant and anti-inflammatory properties, may be used in the treatment of NPS-ARDS.

Methods: This is a retrospective observational study that uses Structured Query Language (SQL) to extract clinical data of NPS-ARDS patients from the Medical Information Mart for Intensive Care (MIMIC)-IV database. Based on the dosage of heparin, patients were divided into three groups: low-dose heparin treatment group (0-5000u/d), medium-dose heparin treatment group (5000u-10000u/d), and high-dose heparin treatment group (greater than 10000u/d). Propensity score matching (1:1) was used to match similar patients from the NPS-ARDS patients who did not use heparin to each heparin treatment group. The study compares the effects of heparin at different dosages on short-term mortality (7-day, 28-day, and 60-day mortality) and one-year cumulative survival rate in NPS-ARDS patients.

Results: PSM reduced the impact of confounding factors on the results to some extent. Low and medium doses of heparin did not improve patient mortality. However, high-dose heparin improved the short-term mortality of NPS-ARDS patients (7-day mortality: 4.1% vs. 14.3%, P < 0.001; 28-day mortality: 9.4% vs. 22.6%, P < 0.001; 60-day mortality: 13.2% vs. 24.8%, P = 0.001) and one-year cumulative survival rate (Log Rank = 8.349, P = 0.004), but it also prolonged ICU stay (6.7 ± 6.2 days vs. 5.7 ± 4.8 days, P = 0.041) and invasive mechanical ventilation (11.7 ± 6.9 hours/day vs. 5.7 ± 4.8 hours/day, P < 0.001).

Conclusion: In patients with NPS-ARDS, high-dose heparin was associated with significantly improved short- and long-term survival, albeit at the cost of prolonged ICU stay and mechanical ventilation.

求助全文
通过发布文献求助,成功后即可免费获取论文全文。 去求助
来源期刊
PLoS ONE
PLoS ONE 生物-生物学
CiteScore
6.20
自引率
5.40%
发文量
14242
审稿时长
3.7 months
期刊介绍: PLOS ONE is an international, peer-reviewed, open-access, online publication. PLOS ONE welcomes reports on primary research from any scientific discipline. It provides: * Open-access—freely accessible online, authors retain copyright * Fast publication times * Peer review by expert, practicing researchers * Post-publication tools to indicate quality and impact * Community-based dialogue on articles * Worldwide media coverage
×
引用
GB/T 7714-2015
复制
MLA
复制
APA
复制
导出至
BibTeX EndNote RefMan NoteFirst NoteExpress
×
提示
您的信息不完整,为了账户安全,请先补充。
现在去补充
×
提示
您因"违规操作"
具体请查看互助需知
我知道了
×
提示
确定
请完成安全验证×
copy
已复制链接
快去分享给好友吧!
我知道了
右上角分享
点击右上角分享
0
联系我们:info@booksci.cn Book学术提供免费学术资源搜索服务,方便国内外学者检索中英文文献。致力于提供最便捷和优质的服务体验。 Copyright © 2023 布克学术 All rights reserved.
京ICP备2023020795号-1
ghs 京公网安备 11010802042870号
Book学术文献互助
Book学术文献互助群
群 号:604180095
Book学术官方微信