解开远程监测数据以预测良好的NIV质量:E-QualiNIV研究。

IF 3.4 3区 医学 Q1 RESPIRATORY SYSTEM
Arnaud Prigent, Clément Blanloeil, Dany Jaffuel, Frederic Gagnadoux, Léo Grassion
{"title":"解开远程监测数据以预测良好的NIV质量:E-QualiNIV研究。","authors":"Arnaud Prigent, Clément Blanloeil, Dany Jaffuel, Frederic Gagnadoux, Léo Grassion","doi":"10.1136/bmjresp-2024-003066","DOIUrl":null,"url":null,"abstract":"<p><strong>Background and objective: </strong>High treatment quality, defined by mean adherence >4 hours per day, unintentional leaks <24 L/min and a residual Apnoea-Hypopnoea Index <5 events per hour, is associated with better outcomes. Adherence variance may reflect behaviour linked to better treatment quality. This study aimed to assess whether monthly adherence variance is associated with improved treatment quality in patients treated with non-invasive ventilation (NIV) for more than 4 months.</p><p><strong>Methods: </strong>E-QualiNIV is a retrospective study evaluating treatment quality in 511 telemonitored patients with chronic respiratory failure, observed from 15 April to 31 October 2023. The study followed three steps: (1) hierarchical clustering based on individual adherence variance; (2) assessing whether monthly adherence variance in the preceding month predicted the proportion of alerts in the subsequent month and (3) evaluating treatment quality based on the number of months with low adherence variance.</p><p><strong>Results: </strong>Cluster 1, consisting of patients with adherence variance below 3, had a significantly higher proportion (57.93%) of patients achieving high-quality treatment compared with other clusters (43.1% for cluster 2 and 46.4% for cluster 3) (p=0.035). Patients with a low adherence variance in the preceding month were more likely to achieve high-quality treatment in the following month (except for May, significant differences every month from p=0.04 to p<0.01). Those with 6 or more months of low adherence variance had a significantly higher probability of receiving high-quality treatment over the entire period (coefficient: 0.2649, p value: 0.0028) compared with those who did not (non-significant).</p><p><strong>Conclusion: </strong>The E-QualiNIV study demonstrates that low adherence variance is associated with high-quality treatment and serves as a prognostic indicator of treatment stability and alert occurrence in the subsequent month.</p>","PeriodicalId":9048,"journal":{"name":"BMJ Open Respiratory Research","volume":"12 1","pages":""},"PeriodicalIF":3.4000,"publicationDate":"2025-10-10","publicationTypes":"Journal Article","fieldsOfStudy":null,"isOpenAccess":false,"openAccessPdf":"https://www.ncbi.nlm.nih.gov/pmc/articles/PMC12517029/pdf/","citationCount":"0","resultStr":"{\"title\":\"Unravelling telemonitoring data to predict good NIV quality: the E-QualiNIV study.\",\"authors\":\"Arnaud Prigent, Clément Blanloeil, Dany Jaffuel, Frederic Gagnadoux, Léo Grassion\",\"doi\":\"10.1136/bmjresp-2024-003066\",\"DOIUrl\":null,\"url\":null,\"abstract\":\"<p><strong>Background and objective: </strong>High treatment quality, defined by mean adherence >4 hours per day, unintentional leaks <24 L/min and a residual Apnoea-Hypopnoea Index <5 events per hour, is associated with better outcomes. Adherence variance may reflect behaviour linked to better treatment quality. This study aimed to assess whether monthly adherence variance is associated with improved treatment quality in patients treated with non-invasive ventilation (NIV) for more than 4 months.</p><p><strong>Methods: </strong>E-QualiNIV is a retrospective study evaluating treatment quality in 511 telemonitored patients with chronic respiratory failure, observed from 15 April to 31 October 2023. The study followed three steps: (1) hierarchical clustering based on individual adherence variance; (2) assessing whether monthly adherence variance in the preceding month predicted the proportion of alerts in the subsequent month and (3) evaluating treatment quality based on the number of months with low adherence variance.</p><p><strong>Results: </strong>Cluster 1, consisting of patients with adherence variance below 3, had a significantly higher proportion (57.93%) of patients achieving high-quality treatment compared with other clusters (43.1% for cluster 2 and 46.4% for cluster 3) (p=0.035). Patients with a low adherence variance in the preceding month were more likely to achieve high-quality treatment in the following month (except for May, significant differences every month from p=0.04 to p<0.01). Those with 6 or more months of low adherence variance had a significantly higher probability of receiving high-quality treatment over the entire period (coefficient: 0.2649, p value: 0.0028) compared with those who did not (non-significant).</p><p><strong>Conclusion: </strong>The E-QualiNIV study demonstrates that low adherence variance is associated with high-quality treatment and serves as a prognostic indicator of treatment stability and alert occurrence in the subsequent month.</p>\",\"PeriodicalId\":9048,\"journal\":{\"name\":\"BMJ Open Respiratory Research\",\"volume\":\"12 1\",\"pages\":\"\"},\"PeriodicalIF\":3.4000,\"publicationDate\":\"2025-10-10\",\"publicationTypes\":\"Journal Article\",\"fieldsOfStudy\":null,\"isOpenAccess\":false,\"openAccessPdf\":\"https://www.ncbi.nlm.nih.gov/pmc/articles/PMC12517029/pdf/\",\"citationCount\":\"0\",\"resultStr\":null,\"platform\":\"Semanticscholar\",\"paperid\":null,\"PeriodicalName\":\"BMJ Open Respiratory Research\",\"FirstCategoryId\":\"3\",\"ListUrlMain\":\"https://doi.org/10.1136/bmjresp-2024-003066\",\"RegionNum\":3,\"RegionCategory\":\"医学\",\"ArticlePicture\":[],\"TitleCN\":null,\"AbstractTextCN\":null,\"PMCID\":null,\"EPubDate\":\"\",\"PubModel\":\"\",\"JCR\":\"Q1\",\"JCRName\":\"RESPIRATORY SYSTEM\",\"Score\":null,\"Total\":0}","platform":"Semanticscholar","paperid":null,"PeriodicalName":"BMJ Open Respiratory Research","FirstCategoryId":"3","ListUrlMain":"https://doi.org/10.1136/bmjresp-2024-003066","RegionNum":3,"RegionCategory":"医学","ArticlePicture":[],"TitleCN":null,"AbstractTextCN":null,"PMCID":null,"EPubDate":"","PubModel":"","JCR":"Q1","JCRName":"RESPIRATORY SYSTEM","Score":null,"Total":0}
引用次数: 0

摘要

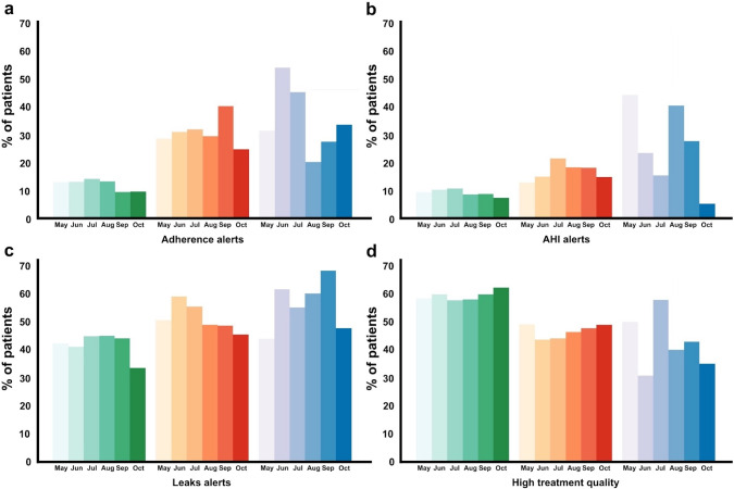
背景与目的:高治疗质量,定义为平均每天坚持4小时,无意泄漏方法:E-QualiNIV是一项回顾性研究,评估511例慢性呼吸衰竭远程监测患者的治疗质量,观察时间为2023年4月15日至10月31日。研究分为三个步骤:(1)基于个体依从性方差的分层聚类;(2)评估前一个月的月度依从性方差是否预测后一个月的报警比例;(3)根据低依从性方差的月数评估治疗质量。结果:在依从性方差小于3的患者中,第1类患者获得高质量治疗的比例(57.93%)显著高于其他组(第2类43.1%,第3类46.4%)(p=0.035)。前一个月依从性方差低的患者后一个月获得高质量治疗的可能性更大(除5月外,每个月p=0.04至p均有显著差异)。结论:E-QualiNIV研究表明,低依从性方差与高质量治疗相关,可作为治疗稳定性和后一个月警戒发生的预后指标。
本文章由计算机程序翻译,如有差异,请以英文原文为准。

Unravelling telemonitoring data to predict good NIV quality: the E-QualiNIV study.

Unravelling telemonitoring data to predict good NIV quality: the E-QualiNIV study.

Unravelling telemonitoring data to predict good NIV quality: the E-QualiNIV study.

Unravelling telemonitoring data to predict good NIV quality: the E-QualiNIV study.

Background and objective: High treatment quality, defined by mean adherence >4 hours per day, unintentional leaks <24 L/min and a residual Apnoea-Hypopnoea Index <5 events per hour, is associated with better outcomes. Adherence variance may reflect behaviour linked to better treatment quality. This study aimed to assess whether monthly adherence variance is associated with improved treatment quality in patients treated with non-invasive ventilation (NIV) for more than 4 months.

Methods: E-QualiNIV is a retrospective study evaluating treatment quality in 511 telemonitored patients with chronic respiratory failure, observed from 15 April to 31 October 2023. The study followed three steps: (1) hierarchical clustering based on individual adherence variance; (2) assessing whether monthly adherence variance in the preceding month predicted the proportion of alerts in the subsequent month and (3) evaluating treatment quality based on the number of months with low adherence variance.

Results: Cluster 1, consisting of patients with adherence variance below 3, had a significantly higher proportion (57.93%) of patients achieving high-quality treatment compared with other clusters (43.1% for cluster 2 and 46.4% for cluster 3) (p=0.035). Patients with a low adherence variance in the preceding month were more likely to achieve high-quality treatment in the following month (except for May, significant differences every month from p=0.04 to p<0.01). Those with 6 or more months of low adherence variance had a significantly higher probability of receiving high-quality treatment over the entire period (coefficient: 0.2649, p value: 0.0028) compared with those who did not (non-significant).

Conclusion: The E-QualiNIV study demonstrates that low adherence variance is associated with high-quality treatment and serves as a prognostic indicator of treatment stability and alert occurrence in the subsequent month.

求助全文
通过发布文献求助,成功后即可免费获取论文全文。 去求助
来源期刊
BMJ Open Respiratory Research
BMJ Open Respiratory Research RESPIRATORY SYSTEM-
CiteScore
6.60
自引率
2.40%
发文量
95
审稿时长
12 weeks
期刊介绍: BMJ Open Respiratory Research is a peer-reviewed, open access journal publishing respiratory and critical care medicine. It is the sister journal to Thorax and co-owned by the British Thoracic Society and BMJ. The journal focuses on robustness of methodology and scientific rigour with less emphasis on novelty or perceived impact. BMJ Open Respiratory Research operates a rapid review process, with continuous publication online, ensuring timely, up-to-date research is available worldwide. The journal publishes review articles and all research study types: Basic science including laboratory based experiments and animal models, Pilot studies or proof of concept, Observational studies, Study protocols, Registries, Clinical trials from phase I to multicentre randomised clinical trials, Systematic reviews and meta-analyses.
×
引用
GB/T 7714-2015
复制
MLA
复制
APA
复制
导出至
BibTeX EndNote RefMan NoteFirst NoteExpress
×
提示
您的信息不完整,为了账户安全,请先补充。
现在去补充
×
提示
您因"违规操作"
具体请查看互助需知
我知道了
×
提示
确定
请完成安全验证×
copy
已复制链接
快去分享给好友吧!
我知道了
右上角分享
点击右上角分享
0
联系我们:info@booksci.cn Book学术提供免费学术资源搜索服务,方便国内外学者检索中英文文献。致力于提供最便捷和优质的服务体验。 Copyright © 2023 布克学术 All rights reserved.
京ICP备2023020795号-1
ghs 京公网安备 11010802042870号
Book学术文献互助
Book学术文献互助群
群 号:604180095
Book学术官方微信