富血小板血浆作为辅助发移植的疗效:一项系统综述。

IF 1.3 Q3 MEDICINE, GENERAL & INTERNAL
Cureus Pub Date : 2025-10-08 eCollection Date: 2025-10-01 DOI:10.7759/cureus.94116
Sasipaka Sindhusen, Weeratian Tawanwongsri, Chime Eden
{"title":"富血小板血浆作为辅助发移植的疗效:一项系统综述。","authors":"Sasipaka Sindhusen, Weeratian Tawanwongsri, Chime Eden","doi":"10.7759/cureus.94116","DOIUrl":null,"url":null,"abstract":"<p><p>Hair transplantation is a well-established treatment for androgenetic alopecia (AGA), yet the long-term success of grafts can vary due to multiple influencing factors. Platelet-rich plasma (PRP) has gained attention as a potential adjunctive therapy aimed at enhancing graft survival and promoting hair regrowth. This systematic review evaluated the clinical efficacy of PRP when used alongside hair transplantation. A comprehensive search of Scopus, MEDLINE (via PubMed), and DOAJ was conducted from database inception to June 2025. Eligible studies were prospective clinical trials with control groups that investigated the use of PRP in patients undergoing hair transplantation. Three studies, including two randomized controlled trials and one non-randomized controlled study, met the inclusion criteria, encompassing a total of 217 participants. Across all studies, the addition of PRP was associated with improved outcomes, including increased hair density, enhanced follicle survival, and earlier initiation of hair growth. However, notable heterogeneity was observed in PRP preparation methods, treatment protocols, and outcome measures. Furthermore, none of the studies employed standardized evaluation tools or trichoscopic analysis, limiting the consistency and comparability of findings. While the current evidence suggests that PRP may offer clinical benefits as an adjunct to hair transplantation, further high-quality randomized trials with standardized protocols and long-term follow-up are needed to establish its therapeutic role with greater confidence.</p>","PeriodicalId":93960,"journal":{"name":"Cureus","volume":"17 10","pages":"e94116"},"PeriodicalIF":1.3000,"publicationDate":"2025-10-08","publicationTypes":"Journal Article","fieldsOfStudy":null,"isOpenAccess":false,"openAccessPdf":"https://www.ncbi.nlm.nih.gov/pmc/articles/PMC12506585/pdf/","citationCount":"0","resultStr":"{\"title\":\"Efficacy of Platelet-Rich Plasma as an Adjunct to Hair Transplantation: A Systematic Review.\",\"authors\":\"Sasipaka Sindhusen, Weeratian Tawanwongsri, Chime Eden\",\"doi\":\"10.7759/cureus.94116\",\"DOIUrl\":null,\"url\":null,\"abstract\":\"<p><p>Hair transplantation is a well-established treatment for androgenetic alopecia (AGA), yet the long-term success of grafts can vary due to multiple influencing factors. Platelet-rich plasma (PRP) has gained attention as a potential adjunctive therapy aimed at enhancing graft survival and promoting hair regrowth. This systematic review evaluated the clinical efficacy of PRP when used alongside hair transplantation. A comprehensive search of Scopus, MEDLINE (via PubMed), and DOAJ was conducted from database inception to June 2025. Eligible studies were prospective clinical trials with control groups that investigated the use of PRP in patients undergoing hair transplantation. Three studies, including two randomized controlled trials and one non-randomized controlled study, met the inclusion criteria, encompassing a total of 217 participants. Across all studies, the addition of PRP was associated with improved outcomes, including increased hair density, enhanced follicle survival, and earlier initiation of hair growth. However, notable heterogeneity was observed in PRP preparation methods, treatment protocols, and outcome measures. Furthermore, none of the studies employed standardized evaluation tools or trichoscopic analysis, limiting the consistency and comparability of findings. While the current evidence suggests that PRP may offer clinical benefits as an adjunct to hair transplantation, further high-quality randomized trials with standardized protocols and long-term follow-up are needed to establish its therapeutic role with greater confidence.</p>\",\"PeriodicalId\":93960,\"journal\":{\"name\":\"Cureus\",\"volume\":\"17 10\",\"pages\":\"e94116\"},\"PeriodicalIF\":1.3000,\"publicationDate\":\"2025-10-08\",\"publicationTypes\":\"Journal Article\",\"fieldsOfStudy\":null,\"isOpenAccess\":false,\"openAccessPdf\":\"https://www.ncbi.nlm.nih.gov/pmc/articles/PMC12506585/pdf/\",\"citationCount\":\"0\",\"resultStr\":null,\"platform\":\"Semanticscholar\",\"paperid\":null,\"PeriodicalName\":\"Cureus\",\"FirstCategoryId\":\"1085\",\"ListUrlMain\":\"https://doi.org/10.7759/cureus.94116\",\"RegionNum\":0,\"RegionCategory\":null,\"ArticlePicture\":[],\"TitleCN\":null,\"AbstractTextCN\":null,\"PMCID\":null,\"EPubDate\":\"2025/10/1 0:00:00\",\"PubModel\":\"eCollection\",\"JCR\":\"Q3\",\"JCRName\":\"MEDICINE, GENERAL & INTERNAL\",\"Score\":null,\"Total\":0}","platform":"Semanticscholar","paperid":null,"PeriodicalName":"Cureus","FirstCategoryId":"1085","ListUrlMain":"https://doi.org/10.7759/cureus.94116","RegionNum":0,"RegionCategory":null,"ArticlePicture":[],"TitleCN":null,"AbstractTextCN":null,"PMCID":null,"EPubDate":"2025/10/1 0:00:00","PubModel":"eCollection","JCR":"Q3","JCRName":"MEDICINE, GENERAL & INTERNAL","Score":null,"Total":0}
引用次数: 0

摘要

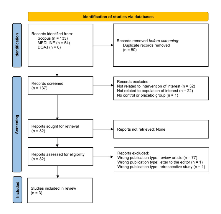
头发移植是治疗雄激素性脱发(AGA)的一种行之有效的方法,但由于多种影响因素,移植的长期成功可能会有所不同。富血小板血浆(PRP)作为一种潜在的辅助治疗已引起人们的关注,其目的是提高移植物的存活率和促进头发的再生。本系统综述评估了PRP与头发移植一起使用的临床疗效。从数据库建立到2025年6月,对Scopus、MEDLINE(通过PubMed)和DOAJ进行了全面检索。符合条件的研究是前瞻性临床试验,对照组调查PRP在接受头发移植的患者中的使用。三项研究符合纳入标准,包括两项随机对照试验和一项非随机对照试验,共纳入217名受试者。在所有的研究中,PRP的加入与改善的结果相关,包括增加头发密度,提高毛囊存活率和更早开始头发生长。然而,在PRP制备方法、治疗方案和结果测量中观察到显著的异质性。此外,没有一项研究采用标准化评估工具或trichoscopic分析,限制了研究结果的一致性和可比性。虽然目前的证据表明PRP可能作为头发移植的辅助手段提供临床益处,但需要进一步的高质量随机试验,标准化方案和长期随访,以更有信心地确定其治疗作用。
本文章由计算机程序翻译,如有差异,请以英文原文为准。

Efficacy of Platelet-Rich Plasma as an Adjunct to Hair Transplantation: A Systematic Review.

Efficacy of Platelet-Rich Plasma as an Adjunct to Hair Transplantation: A Systematic Review.

Hair transplantation is a well-established treatment for androgenetic alopecia (AGA), yet the long-term success of grafts can vary due to multiple influencing factors. Platelet-rich plasma (PRP) has gained attention as a potential adjunctive therapy aimed at enhancing graft survival and promoting hair regrowth. This systematic review evaluated the clinical efficacy of PRP when used alongside hair transplantation. A comprehensive search of Scopus, MEDLINE (via PubMed), and DOAJ was conducted from database inception to June 2025. Eligible studies were prospective clinical trials with control groups that investigated the use of PRP in patients undergoing hair transplantation. Three studies, including two randomized controlled trials and one non-randomized controlled study, met the inclusion criteria, encompassing a total of 217 participants. Across all studies, the addition of PRP was associated with improved outcomes, including increased hair density, enhanced follicle survival, and earlier initiation of hair growth. However, notable heterogeneity was observed in PRP preparation methods, treatment protocols, and outcome measures. Furthermore, none of the studies employed standardized evaluation tools or trichoscopic analysis, limiting the consistency and comparability of findings. While the current evidence suggests that PRP may offer clinical benefits as an adjunct to hair transplantation, further high-quality randomized trials with standardized protocols and long-term follow-up are needed to establish its therapeutic role with greater confidence.

求助全文
通过发布文献求助,成功后即可免费获取论文全文。 去求助
来源期刊
自引率
0.00%
发文量
0
×
引用
GB/T 7714-2015
复制
MLA
复制
APA
复制
导出至
BibTeX EndNote RefMan NoteFirst NoteExpress
×
提示
您的信息不完整,为了账户安全,请先补充。
现在去补充
×
提示
您因"违规操作"
具体请查看互助需知
我知道了
×
提示
确定
请完成安全验证×
copy
已复制链接
快去分享给好友吧!
我知道了
右上角分享
点击右上角分享
0
联系我们:info@booksci.cn Book学术提供免费学术资源搜索服务,方便国内外学者检索中英文文献。致力于提供最便捷和优质的服务体验。 Copyright © 2023 布克学术 All rights reserved.
京ICP备2023020795号-1
ghs 京公网安备 11010802042870号
Book学术文献互助
Book学术文献互助群
群 号:604180095
Book学术官方微信