老年人护理中的临床医生-护理人员参与。一项有效的照顾者经验调查的发展,以告知照顾者角色的优化。

IF 1.8 Q3 HEALTH CARE SCIENCES & SERVICES
Journal of Patient Experience Pub Date : 2025-10-07 eCollection Date: 2025-01-01 DOI:10.1177/23743735251385309
Ronaye T Gilsenan, Rhonda E Schwartz, Iris A Gutmanis
{"title":"老年人护理中的临床医生-护理人员参与。一项有效的照顾者经验调查的发展,以告知照顾者角色的优化。","authors":"Ronaye T Gilsenan, Rhonda E Schwartz, Iris A Gutmanis","doi":"10.1177/23743735251385309","DOIUrl":null,"url":null,"abstract":"<p><p><b>Background:</b> Clinicians caring for older adults often lack information on how best to engage with caregivers to optimize patient health and care experiences. The objective of this study was to build a valid survey to better understand clinician-caregiver engagement. <b>Method:</b> Study methods were co-designed with caregivers of older adults and geriatric medicine experts from across Ontario, Canada. Recognized survey research methods were utilized (literature review, survey framework development, draft survey items, cognitive interviews (<i>n</i> = 8), pilot testing (<i>n</i> = 120), and psychometric analysis). <b>Results:</b> The final version of the online \"Caregiver Experience Survey\" includes 11 core items, 1 overall item, 2 qualitative questions, and 2 demographic questions. Very high internal consistency was demonstrated among the 11 core items (Cronbach's alpha: 0.94). The correlation between the overall rating and the summed 11-core item score was 0.74, providing evidence of construct validity. Face and content validity were also demonstrated. <b>Conclusion:</b> This psychometrically sound online survey, which measures the degree to which caregivers experience meaningful engagement with clinicians to fulfill their caregiver role, can be used by clinicians to identify quality improvement initiatives.</p>","PeriodicalId":45073,"journal":{"name":"Journal of Patient Experience","volume":"12 ","pages":"23743735251385309"},"PeriodicalIF":1.8000,"publicationDate":"2025-10-07","publicationTypes":"Journal Article","fieldsOfStudy":null,"isOpenAccess":false,"openAccessPdf":"https://www.ncbi.nlm.nih.gov/pmc/articles/PMC12504839/pdf/","citationCount":"0","resultStr":"{\"title\":\"Clinician-Caregiver Engagement in Older Adult Care. Development of a Validated Caregiver Experience Survey to Inform the Optimization of the Caregiver Role.\",\"authors\":\"Ronaye T Gilsenan, Rhonda E Schwartz, Iris A Gutmanis\",\"doi\":\"10.1177/23743735251385309\",\"DOIUrl\":null,\"url\":null,\"abstract\":\"<p><p><b>Background:</b> Clinicians caring for older adults often lack information on how best to engage with caregivers to optimize patient health and care experiences. The objective of this study was to build a valid survey to better understand clinician-caregiver engagement. <b>Method:</b> Study methods were co-designed with caregivers of older adults and geriatric medicine experts from across Ontario, Canada. Recognized survey research methods were utilized (literature review, survey framework development, draft survey items, cognitive interviews (<i>n</i> = 8), pilot testing (<i>n</i> = 120), and psychometric analysis). <b>Results:</b> The final version of the online \\\"Caregiver Experience Survey\\\" includes 11 core items, 1 overall item, 2 qualitative questions, and 2 demographic questions. Very high internal consistency was demonstrated among the 11 core items (Cronbach's alpha: 0.94). The correlation between the overall rating and the summed 11-core item score was 0.74, providing evidence of construct validity. Face and content validity were also demonstrated. <b>Conclusion:</b> This psychometrically sound online survey, which measures the degree to which caregivers experience meaningful engagement with clinicians to fulfill their caregiver role, can be used by clinicians to identify quality improvement initiatives.</p>\",\"PeriodicalId\":45073,\"journal\":{\"name\":\"Journal of Patient Experience\",\"volume\":\"12 \",\"pages\":\"23743735251385309\"},\"PeriodicalIF\":1.8000,\"publicationDate\":\"2025-10-07\",\"publicationTypes\":\"Journal Article\",\"fieldsOfStudy\":null,\"isOpenAccess\":false,\"openAccessPdf\":\"https://www.ncbi.nlm.nih.gov/pmc/articles/PMC12504839/pdf/\",\"citationCount\":\"0\",\"resultStr\":null,\"platform\":\"Semanticscholar\",\"paperid\":null,\"PeriodicalName\":\"Journal of Patient Experience\",\"FirstCategoryId\":\"1085\",\"ListUrlMain\":\"https://doi.org/10.1177/23743735251385309\",\"RegionNum\":0,\"RegionCategory\":null,\"ArticlePicture\":[],\"TitleCN\":null,\"AbstractTextCN\":null,\"PMCID\":null,\"EPubDate\":\"2025/1/1 0:00:00\",\"PubModel\":\"eCollection\",\"JCR\":\"Q3\",\"JCRName\":\"HEALTH CARE SCIENCES & SERVICES\",\"Score\":null,\"Total\":0}","platform":"Semanticscholar","paperid":null,"PeriodicalName":"Journal of Patient Experience","FirstCategoryId":"1085","ListUrlMain":"https://doi.org/10.1177/23743735251385309","RegionNum":0,"RegionCategory":null,"ArticlePicture":[],"TitleCN":null,"AbstractTextCN":null,"PMCID":null,"EPubDate":"2025/1/1 0:00:00","PubModel":"eCollection","JCR":"Q3","JCRName":"HEALTH CARE SCIENCES & SERVICES","Score":null,"Total":0}
引用次数: 0

摘要

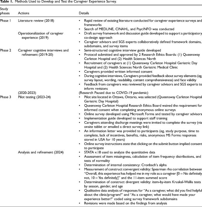
背景:护理老年人的临床医生往往缺乏如何最好地与护理人员接触以优化患者健康和护理体验的信息。本研究的目的是建立一个有效的调查,以更好地了解临床护理人员参与。方法:研究方法是与来自加拿大安大略省的老年人护理人员和老年医学专家共同设计的。采用公认的调查研究方法(文献综述、调查框架制定、调查项目草案、认知访谈(n = 8)、试点测试(n = 120)和心理测量分析)。结果:在线“照顾者体验调查”的最终版本包括11个核心问题、1个整体问题、2个定性问题和2个人口统计问题。11个核心条目的内部一致性非常高(Cronbach’s alpha: 0.94)。总体评分与11个核心项目总分的相关系数为0.74,具有建构效度。同时也验证了脸效度和内容效度。结论:这项心理测量学上健全的在线调查,测量了护理人员与临床医生有意义的接触程度,以履行他们的照顾者角色,可以被临床医生用来确定质量改进计划。
本文章由计算机程序翻译,如有差异,请以英文原文为准。

Clinician-Caregiver Engagement in Older Adult Care. Development of a Validated Caregiver Experience Survey to Inform the Optimization of the Caregiver Role.

Clinician-Caregiver Engagement in Older Adult Care. Development of a Validated Caregiver Experience Survey to Inform the Optimization of the Caregiver Role.

Clinician-Caregiver Engagement in Older Adult Care. Development of a Validated Caregiver Experience Survey to Inform the Optimization of the Caregiver Role.

Background: Clinicians caring for older adults often lack information on how best to engage with caregivers to optimize patient health and care experiences. The objective of this study was to build a valid survey to better understand clinician-caregiver engagement. Method: Study methods were co-designed with caregivers of older adults and geriatric medicine experts from across Ontario, Canada. Recognized survey research methods were utilized (literature review, survey framework development, draft survey items, cognitive interviews (n = 8), pilot testing (n = 120), and psychometric analysis). Results: The final version of the online "Caregiver Experience Survey" includes 11 core items, 1 overall item, 2 qualitative questions, and 2 demographic questions. Very high internal consistency was demonstrated among the 11 core items (Cronbach's alpha: 0.94). The correlation between the overall rating and the summed 11-core item score was 0.74, providing evidence of construct validity. Face and content validity were also demonstrated. Conclusion: This psychometrically sound online survey, which measures the degree to which caregivers experience meaningful engagement with clinicians to fulfill their caregiver role, can be used by clinicians to identify quality improvement initiatives.

求助全文
通过发布文献求助,成功后即可免费获取论文全文。 去求助
来源期刊
Journal of Patient Experience
Journal of Patient Experience HEALTH CARE SCIENCES & SERVICES-
CiteScore
2.00
自引率
6.70%
发文量
178
审稿时长
15 weeks
×
引用
GB/T 7714-2015
复制
MLA
复制
APA
复制
导出至
BibTeX EndNote RefMan NoteFirst NoteExpress
×
提示
您的信息不完整,为了账户安全,请先补充。
现在去补充
×
提示
您因"违规操作"
具体请查看互助需知
我知道了
×
提示
确定
请完成安全验证×
copy
已复制链接
快去分享给好友吧!
我知道了
右上角分享
点击右上角分享
0
联系我们:info@booksci.cn Book学术提供免费学术资源搜索服务,方便国内外学者检索中英文文献。致力于提供最便捷和优质的服务体验。 Copyright © 2023 布克学术 All rights reserved.
京ICP备2023020795号-1
ghs 京公网安备 11010802042870号
Book学术文献互助
Book学术文献互助群
群 号:604180095
Book学术官方微信