体外受精和胞浆内单精子注射治疗对女性患者围产期心理健康的影响:系统回顾和荟萃分析。

IF 2.9 Q2 PUBLIC, ENVIRONMENTAL & OCCUPATIONAL HEALTH
Frontiers in reproductive health Pub Date : 2025-09-23 eCollection Date: 2025-01-01 DOI:10.3389/frph.2025.1668831
Hana Nemcova, Tereza Blaskova, Anna Horakova, Marie Kuklova, Kristyna Hrdlickova, Antonin Sebela
{"title":"体外受精和胞浆内单精子注射治疗对女性患者围产期心理健康的影响:系统回顾和荟萃分析。","authors":"Hana Nemcova, Tereza Blaskova, Anna Horakova, Marie Kuklova, Kristyna Hrdlickova, Antonin Sebela","doi":"10.3389/frph.2025.1668831","DOIUrl":null,"url":null,"abstract":"<p><strong>Introduction: </strong><i>In vitro</i> fertilization (IVF) and intracytoplasmic sperm injection (ICSI) patients often experience stress, which exacerbates the burden associated with infertility and may lead to an increased risk of mental-health difficulties. In this systematic review and meta-analysis, we examined the effects of IVF or ICSI on female patients' mental health.</p><p><strong>Methods: </strong>A database search was conducted in PubMed, Web of Science, and PsychInfo to select relevant studies. Forty-four studies involving 858,966 participants were included in the systematic review. The results of these studies were very heterogeneous and yielded contradictory findings. Two meta-analyses, comprising a total of seven studies, were conducted. The first calculated the standardized mean difference of symptoms of depression between women who became pregnant through IVF and those who conceived spontaneously. In the second, we compared symptoms of anxiety between these two groups.</p><p><strong>Results: </strong>Five studies examined depressive symptoms and showed no significant difference between the two groups: <i>SMD</i> = -.15; 95% <i>CI</i> [-.33,.03], <i>p</i> = .10. A meta-analysis of six studies on anxiety symptoms revealed significantly higher levels in the IVF groups compared to the controls: <i>SMD</i> = .33; 95% CI [.17,.49], <i>p</i> < .001.</p><p><strong>Discussion: </strong>The results suggest that the psychological effects of IVF/ICSI, especially with respect to anxiety, require attention and support from healthcare providers, although the effect size is small. Further studies with adequate sample sizes, including women with both successful and unsuccessful treatment, and adequately controlling for important confounders are needed to fully understand the effects of IVF/ICSI on mental health.</p><p><strong>Systematic review registration: </strong>PROSPERO (CRD42023461472).</p>","PeriodicalId":73103,"journal":{"name":"Frontiers in reproductive health","volume":"7 ","pages":"1668831"},"PeriodicalIF":2.9000,"publicationDate":"2025-09-23","publicationTypes":"Journal Article","fieldsOfStudy":null,"isOpenAccess":false,"openAccessPdf":"https://www.ncbi.nlm.nih.gov/pmc/articles/PMC12500583/pdf/","citationCount":"0","resultStr":"{\"title\":\"Effects of <i>in vitro</i> fertilization and intracytoplasmic sperm injection treatment on female patients' perinatal mental health: systematic review and meta-analysis.\",\"authors\":\"Hana Nemcova, Tereza Blaskova, Anna Horakova, Marie Kuklova, Kristyna Hrdlickova, Antonin Sebela\",\"doi\":\"10.3389/frph.2025.1668831\",\"DOIUrl\":null,\"url\":null,\"abstract\":\"<p><strong>Introduction: </strong><i>In vitro</i> fertilization (IVF) and intracytoplasmic sperm injection (ICSI) patients often experience stress, which exacerbates the burden associated with infertility and may lead to an increased risk of mental-health difficulties. In this systematic review and meta-analysis, we examined the effects of IVF or ICSI on female patients' mental health.</p><p><strong>Methods: </strong>A database search was conducted in PubMed, Web of Science, and PsychInfo to select relevant studies. Forty-four studies involving 858,966 participants were included in the systematic review. The results of these studies were very heterogeneous and yielded contradictory findings. Two meta-analyses, comprising a total of seven studies, were conducted. The first calculated the standardized mean difference of symptoms of depression between women who became pregnant through IVF and those who conceived spontaneously. In the second, we compared symptoms of anxiety between these two groups.</p><p><strong>Results: </strong>Five studies examined depressive symptoms and showed no significant difference between the two groups: <i>SMD</i> = -.15; 95% <i>CI</i> [-.33,.03], <i>p</i> = .10. A meta-analysis of six studies on anxiety symptoms revealed significantly higher levels in the IVF groups compared to the controls: <i>SMD</i> = .33; 95% CI [.17,.49], <i>p</i> < .001.</p><p><strong>Discussion: </strong>The results suggest that the psychological effects of IVF/ICSI, especially with respect to anxiety, require attention and support from healthcare providers, although the effect size is small. Further studies with adequate sample sizes, including women with both successful and unsuccessful treatment, and adequately controlling for important confounders are needed to fully understand the effects of IVF/ICSI on mental health.</p><p><strong>Systematic review registration: </strong>PROSPERO (CRD42023461472).</p>\",\"PeriodicalId\":73103,\"journal\":{\"name\":\"Frontiers in reproductive health\",\"volume\":\"7 \",\"pages\":\"1668831\"},\"PeriodicalIF\":2.9000,\"publicationDate\":\"2025-09-23\",\"publicationTypes\":\"Journal Article\",\"fieldsOfStudy\":null,\"isOpenAccess\":false,\"openAccessPdf\":\"https://www.ncbi.nlm.nih.gov/pmc/articles/PMC12500583/pdf/\",\"citationCount\":\"0\",\"resultStr\":null,\"platform\":\"Semanticscholar\",\"paperid\":null,\"PeriodicalName\":\"Frontiers in reproductive health\",\"FirstCategoryId\":\"1085\",\"ListUrlMain\":\"https://doi.org/10.3389/frph.2025.1668831\",\"RegionNum\":0,\"RegionCategory\":null,\"ArticlePicture\":[],\"TitleCN\":null,\"AbstractTextCN\":null,\"PMCID\":null,\"EPubDate\":\"2025/1/1 0:00:00\",\"PubModel\":\"eCollection\",\"JCR\":\"Q2\",\"JCRName\":\"PUBLIC, ENVIRONMENTAL & OCCUPATIONAL HEALTH\",\"Score\":null,\"Total\":0}","platform":"Semanticscholar","paperid":null,"PeriodicalName":"Frontiers in reproductive health","FirstCategoryId":"1085","ListUrlMain":"https://doi.org/10.3389/frph.2025.1668831","RegionNum":0,"RegionCategory":null,"ArticlePicture":[],"TitleCN":null,"AbstractTextCN":null,"PMCID":null,"EPubDate":"2025/1/1 0:00:00","PubModel":"eCollection","JCR":"Q2","JCRName":"PUBLIC, ENVIRONMENTAL & OCCUPATIONAL HEALTH","Score":null,"Total":0}
引用次数: 0

摘要

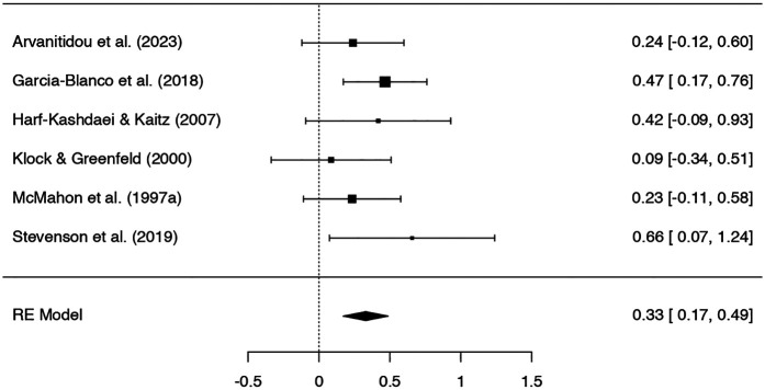
体外受精(IVF)和胞浆内单精子注射(ICSI)患者经常经历压力,这加剧了与不孕症相关的负担,并可能导致精神健康问题的风险增加。在这篇系统综述和荟萃分析中,我们研究了IVF或ICSI对女性患者心理健康的影响。方法:检索PubMed、Web of Science、PsychInfo等数据库,筛选相关研究。系统评价纳入了44项研究,涉及858,966名参与者。这些研究的结果非常不同,并且得出了相互矛盾的结果。进行了两项荟萃分析,共包括七项研究。第一项研究计算了通过体外受精怀孕的女性和自然受孕的女性之间抑郁症状的标准化平均差异。在第二项研究中,我们比较了两组患者的焦虑症状。结果:5项研究检查抑郁症状,两组间无显著差异:SMD = - 0.15;95% ci[- 0.33,。[03], p = .10。一项对六项焦虑症状研究的荟萃分析显示,与对照组相比,试管婴儿组的焦虑症状水平明显更高:SMD = 0.33;95% ci[.17,。[49]讨论:结果表明,IVF/ICSI的心理影响,特别是焦虑方面的影响,需要医疗保健提供者的关注和支持,尽管效应量很小。为了充分了解体外受精/胞浆内注射对心理健康的影响,需要进一步开展足够样本量的研究,包括治疗成功和不成功的妇女,并充分控制重要的混杂因素。系统评价注册:PROSPERO (CRD42023461472)。
本文章由计算机程序翻译,如有差异,请以英文原文为准。

Effects of <i>in vitro</i> fertilization and intracytoplasmic sperm injection treatment on female patients' perinatal mental health: systematic review and meta-analysis.

Effects of <i>in vitro</i> fertilization and intracytoplasmic sperm injection treatment on female patients' perinatal mental health: systematic review and meta-analysis.

Effects of <i>in vitro</i> fertilization and intracytoplasmic sperm injection treatment on female patients' perinatal mental health: systematic review and meta-analysis.

Effects of in vitro fertilization and intracytoplasmic sperm injection treatment on female patients' perinatal mental health: systematic review and meta-analysis.

Introduction: In vitro fertilization (IVF) and intracytoplasmic sperm injection (ICSI) patients often experience stress, which exacerbates the burden associated with infertility and may lead to an increased risk of mental-health difficulties. In this systematic review and meta-analysis, we examined the effects of IVF or ICSI on female patients' mental health.

Methods: A database search was conducted in PubMed, Web of Science, and PsychInfo to select relevant studies. Forty-four studies involving 858,966 participants were included in the systematic review. The results of these studies were very heterogeneous and yielded contradictory findings. Two meta-analyses, comprising a total of seven studies, were conducted. The first calculated the standardized mean difference of symptoms of depression between women who became pregnant through IVF and those who conceived spontaneously. In the second, we compared symptoms of anxiety between these two groups.

Results: Five studies examined depressive symptoms and showed no significant difference between the two groups: SMD = -.15; 95% CI [-.33,.03], p = .10. A meta-analysis of six studies on anxiety symptoms revealed significantly higher levels in the IVF groups compared to the controls: SMD = .33; 95% CI [.17,.49], p < .001.

Discussion: The results suggest that the psychological effects of IVF/ICSI, especially with respect to anxiety, require attention and support from healthcare providers, although the effect size is small. Further studies with adequate sample sizes, including women with both successful and unsuccessful treatment, and adequately controlling for important confounders are needed to fully understand the effects of IVF/ICSI on mental health.

Systematic review registration: PROSPERO (CRD42023461472).

求助全文
通过发布文献求助,成功后即可免费获取论文全文。 去求助
来源期刊
CiteScore
2.00
自引率
0.00%
发文量
0
审稿时长
13 weeks
×
引用
GB/T 7714-2015
复制
MLA
复制
APA
复制
导出至
BibTeX EndNote RefMan NoteFirst NoteExpress
×
提示
您的信息不完整,为了账户安全,请先补充。
现在去补充
×
提示
您因"违规操作"
具体请查看互助需知
我知道了
×
提示
确定
请完成安全验证×
copy
已复制链接
快去分享给好友吧!
我知道了
右上角分享
点击右上角分享
0
联系我们:info@booksci.cn Book学术提供免费学术资源搜索服务,方便国内外学者检索中英文文献。致力于提供最便捷和优质的服务体验。 Copyright © 2023 布克学术 All rights reserved.
京ICP备2023020795号-1
ghs 京公网安备 11010802042870号
Book学术文献互助
Book学术文献互助群
群 号:604180095
Book学术官方微信