成人结核性脑膜炎的强化治疗:系统回顾和荟萃分析。

IF 3.8 4区 医学 Q2 IMMUNOLOGY
Open Forum Infectious Diseases Pub Date : 2025-10-07 eCollection Date: 2025-10-01 DOI:10.1093/ofid/ofaf503
Andrea Llamas-Lopez, James A Seddon, Felicia C Chow, Caryn M Upton, Sanjay K Jain, Jan-Willem Alffenaar, Daniel J Grint, Kelly Dooley, Rob Aarnoutse, Fiona V Cresswell
{"title":"成人结核性脑膜炎的强化治疗:系统回顾和荟萃分析。","authors":"Andrea Llamas-Lopez, James A Seddon, Felicia C Chow, Caryn M Upton, Sanjay K Jain, Jan-Willem Alffenaar, Daniel J Grint, Kelly Dooley, Rob Aarnoutse, Fiona V Cresswell","doi":"10.1093/ofid/ofaf503","DOIUrl":null,"url":null,"abstract":"<p><strong>Background: </strong>Tuberculous meningitis (TBM) remains the deadliest form of tuberculosis. Inadequate penetration of rifampicin and ethambutol into the brain and cerebrospinal fluid (CSF) may contribute to mortality. Over the last decade, research has focused on \"intensified\" treatment (higher-dose first-line drugs or addition of second-line drugs with good CSF penetration). This systematic review and meta-analysis evaluates the impact of intensified TBM treatment on mortality, disability, and safety.</p><p><strong>Methods: </strong>A systematic literature search was conducted of clinical trials examining intensified TBM treatments compared with a rifampicin-based standard-of-care regimen in adults. Odds ratios (ORs) were calculated using a random-effects model with mortality as the primary outcome, with OR <1 indicating lower mortality. Disability and safety were examined as secondary outcomes. Subgroup analyses included (1) higher-dose rifampicin, (2) addition of fluoroquinolones, and (3) addition of linezolid.</p><p><strong>Results: </strong>Ten trials meeting eligibility criteria, involving 1369 participants, were included. Higher-dose rifampicin (n = 1050; OR, 0.86; 95% CI, 0.54-1.35; <i>P</i> = .50), adjunctive fluoroquinolones (n = 1115; OR, 0.85; 95% CI, 0.56-1.27; <i>P</i> = .42), and linezolid (n = 79; OR, 0.73; 95% CI, 0.22-2.43; <i>P</i> = .61) did not significantly reduce TBM mortality. Due to heterogeneity in disability and safety endpoints, secondary outcomes could not be meta-analyzed.</p><p><strong>Conclusions: </strong>Current clinical trial evidence does not support the use of intensified TBM treatment in adults. However, these analyses are limited by diverse TBM case definitions, absence of MRC grading at enrollment, variable rifampicin dosing, limited data on linezolid and higher-dose isoniazid, and heterogeneous disability and safety outcomes. Use of uniform case definitions and consistent endpoints is essential to standardize data.</p>","PeriodicalId":19517,"journal":{"name":"Open Forum Infectious Diseases","volume":"12 10","pages":"ofaf503"},"PeriodicalIF":3.8000,"publicationDate":"2025-10-07","publicationTypes":"Journal Article","fieldsOfStudy":null,"isOpenAccess":false,"openAccessPdf":"https://www.ncbi.nlm.nih.gov/pmc/articles/PMC12502660/pdf/","citationCount":"0","resultStr":"{\"title\":\"Intensified Treatment of Tuberculous Meningitis in Adults: A Systematic Review and Meta-analysis.\",\"authors\":\"Andrea Llamas-Lopez, James A Seddon, Felicia C Chow, Caryn M Upton, Sanjay K Jain, Jan-Willem Alffenaar, Daniel J Grint, Kelly Dooley, Rob Aarnoutse, Fiona V Cresswell\",\"doi\":\"10.1093/ofid/ofaf503\",\"DOIUrl\":null,\"url\":null,\"abstract\":\"<p><strong>Background: </strong>Tuberculous meningitis (TBM) remains the deadliest form of tuberculosis. Inadequate penetration of rifampicin and ethambutol into the brain and cerebrospinal fluid (CSF) may contribute to mortality. Over the last decade, research has focused on \\\"intensified\\\" treatment (higher-dose first-line drugs or addition of second-line drugs with good CSF penetration). This systematic review and meta-analysis evaluates the impact of intensified TBM treatment on mortality, disability, and safety.</p><p><strong>Methods: </strong>A systematic literature search was conducted of clinical trials examining intensified TBM treatments compared with a rifampicin-based standard-of-care regimen in adults. Odds ratios (ORs) were calculated using a random-effects model with mortality as the primary outcome, with OR <1 indicating lower mortality. Disability and safety were examined as secondary outcomes. Subgroup analyses included (1) higher-dose rifampicin, (2) addition of fluoroquinolones, and (3) addition of linezolid.</p><p><strong>Results: </strong>Ten trials meeting eligibility criteria, involving 1369 participants, were included. Higher-dose rifampicin (n = 1050; OR, 0.86; 95% CI, 0.54-1.35; <i>P</i> = .50), adjunctive fluoroquinolones (n = 1115; OR, 0.85; 95% CI, 0.56-1.27; <i>P</i> = .42), and linezolid (n = 79; OR, 0.73; 95% CI, 0.22-2.43; <i>P</i> = .61) did not significantly reduce TBM mortality. Due to heterogeneity in disability and safety endpoints, secondary outcomes could not be meta-analyzed.</p><p><strong>Conclusions: </strong>Current clinical trial evidence does not support the use of intensified TBM treatment in adults. However, these analyses are limited by diverse TBM case definitions, absence of MRC grading at enrollment, variable rifampicin dosing, limited data on linezolid and higher-dose isoniazid, and heterogeneous disability and safety outcomes. Use of uniform case definitions and consistent endpoints is essential to standardize data.</p>\",\"PeriodicalId\":19517,\"journal\":{\"name\":\"Open Forum Infectious Diseases\",\"volume\":\"12 10\",\"pages\":\"ofaf503\"},\"PeriodicalIF\":3.8000,\"publicationDate\":\"2025-10-07\",\"publicationTypes\":\"Journal Article\",\"fieldsOfStudy\":null,\"isOpenAccess\":false,\"openAccessPdf\":\"https://www.ncbi.nlm.nih.gov/pmc/articles/PMC12502660/pdf/\",\"citationCount\":\"0\",\"resultStr\":null,\"platform\":\"Semanticscholar\",\"paperid\":null,\"PeriodicalName\":\"Open Forum Infectious Diseases\",\"FirstCategoryId\":\"3\",\"ListUrlMain\":\"https://doi.org/10.1093/ofid/ofaf503\",\"RegionNum\":4,\"RegionCategory\":\"医学\",\"ArticlePicture\":[],\"TitleCN\":null,\"AbstractTextCN\":null,\"PMCID\":null,\"EPubDate\":\"2025/10/1 0:00:00\",\"PubModel\":\"eCollection\",\"JCR\":\"Q2\",\"JCRName\":\"IMMUNOLOGY\",\"Score\":null,\"Total\":0}","platform":"Semanticscholar","paperid":null,"PeriodicalName":"Open Forum Infectious Diseases","FirstCategoryId":"3","ListUrlMain":"https://doi.org/10.1093/ofid/ofaf503","RegionNum":4,"RegionCategory":"医学","ArticlePicture":[],"TitleCN":null,"AbstractTextCN":null,"PMCID":null,"EPubDate":"2025/10/1 0:00:00","PubModel":"eCollection","JCR":"Q2","JCRName":"IMMUNOLOGY","Score":null,"Total":0}
引用次数: 0

摘要

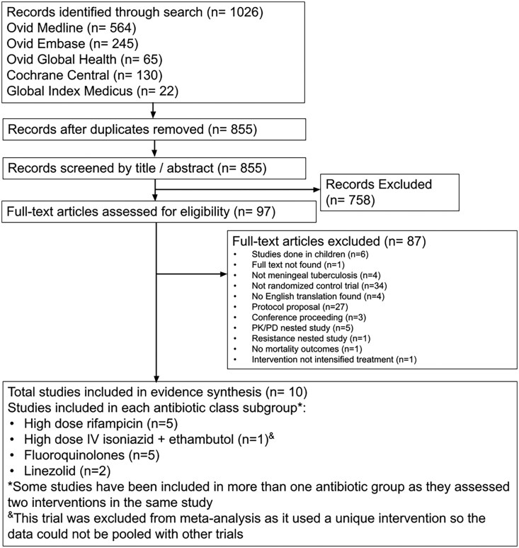
背景:结核性脑膜炎(TBM)仍然是最致命的结核病。利福平和乙胺丁醇在脑和脑脊液(CSF)中的渗透不足可能导致死亡。在过去的十年中,研究的重点是“强化”治疗(高剂量的一线药物或添加具有良好CSF穿透性的二线药物)。本系统综述和荟萃分析评估了强化TBM治疗对死亡率、致残率和安全性的影响。方法:对临床试验进行系统的文献检索,比较成人强化TBM治疗与基于利福平的标准治疗方案。使用以死亡率为主要结局的随机效应模型计算优势比(ORs), OR结果:10项符合入选标准的试验,涉及1369名受试者。高剂量利福平(n = 1050; OR, 0.86; 95% CI, 0.54-1.35; P = 0.50)、辅助氟喹诺酮类药物(n = 1115; OR, 0.85; 95% CI, 0.56-1.27; P = 0.42)和利奈唑胺(n = 79; OR, 0.73; 95% CI, 0.22-2.43; P = 0.61)没有显著降低TBM死亡率。由于残疾和安全终点的异质性,次要结局不能进行meta分析。结论:目前的临床试验证据不支持在成人中使用强化TBM治疗。然而,这些分析受到TBM病例定义不同、入组时缺乏MRC分级、利福平剂量不同、利奈唑胺和高剂量异烟肼数据有限以及异质性残疾和安全性结果的限制。使用统一的案例定义和一致的端点对于标准化数据至关重要。
本文章由计算机程序翻译,如有差异,请以英文原文为准。

Intensified Treatment of Tuberculous Meningitis in Adults: A Systematic Review and Meta-analysis.

Intensified Treatment of Tuberculous Meningitis in Adults: A Systematic Review and Meta-analysis.

Intensified Treatment of Tuberculous Meningitis in Adults: A Systematic Review and Meta-analysis.

Intensified Treatment of Tuberculous Meningitis in Adults: A Systematic Review and Meta-analysis.

Background: Tuberculous meningitis (TBM) remains the deadliest form of tuberculosis. Inadequate penetration of rifampicin and ethambutol into the brain and cerebrospinal fluid (CSF) may contribute to mortality. Over the last decade, research has focused on "intensified" treatment (higher-dose first-line drugs or addition of second-line drugs with good CSF penetration). This systematic review and meta-analysis evaluates the impact of intensified TBM treatment on mortality, disability, and safety.

Methods: A systematic literature search was conducted of clinical trials examining intensified TBM treatments compared with a rifampicin-based standard-of-care regimen in adults. Odds ratios (ORs) were calculated using a random-effects model with mortality as the primary outcome, with OR <1 indicating lower mortality. Disability and safety were examined as secondary outcomes. Subgroup analyses included (1) higher-dose rifampicin, (2) addition of fluoroquinolones, and (3) addition of linezolid.

Results: Ten trials meeting eligibility criteria, involving 1369 participants, were included. Higher-dose rifampicin (n = 1050; OR, 0.86; 95% CI, 0.54-1.35; P = .50), adjunctive fluoroquinolones (n = 1115; OR, 0.85; 95% CI, 0.56-1.27; P = .42), and linezolid (n = 79; OR, 0.73; 95% CI, 0.22-2.43; P = .61) did not significantly reduce TBM mortality. Due to heterogeneity in disability and safety endpoints, secondary outcomes could not be meta-analyzed.

Conclusions: Current clinical trial evidence does not support the use of intensified TBM treatment in adults. However, these analyses are limited by diverse TBM case definitions, absence of MRC grading at enrollment, variable rifampicin dosing, limited data on linezolid and higher-dose isoniazid, and heterogeneous disability and safety outcomes. Use of uniform case definitions and consistent endpoints is essential to standardize data.

求助全文
通过发布文献求助,成功后即可免费获取论文全文。 去求助
来源期刊
Open Forum Infectious Diseases
Open Forum Infectious Diseases Medicine-Neurology (clinical)
CiteScore
6.70
自引率
4.80%
发文量
630
审稿时长
9 weeks
期刊介绍: Open Forum Infectious Diseases provides a global forum for the publication of clinical, translational, and basic research findings in a fully open access, online journal environment. The journal reflects the broad diversity of the field of infectious diseases, and focuses on the intersection of biomedical science and clinical practice, with a particular emphasis on knowledge that holds the potential to improve patient care in populations around the world. Fully peer-reviewed, OFID supports the international community of infectious diseases experts by providing a venue for articles that further the understanding of all aspects of infectious diseases.
×
引用
GB/T 7714-2015
复制
MLA
复制
APA
复制
导出至
BibTeX EndNote RefMan NoteFirst NoteExpress
×
提示
您的信息不完整,为了账户安全,请先补充。
现在去补充
×
提示
您因"违规操作"
具体请查看互助需知
我知道了
×
提示
确定
请完成安全验证×
copy
已复制链接
快去分享给好友吧!
我知道了
右上角分享
点击右上角分享
0
联系我们:info@booksci.cn Book学术提供免费学术资源搜索服务,方便国内外学者检索中英文文献。致力于提供最便捷和优质的服务体验。 Copyright © 2023 布克学术 All rights reserved.
京ICP备2023020795号-1
ghs 京公网安备 11010802042870号
Book学术文献互助
Book学术文献互助群
群 号:604180095
Book学术官方微信