施用硅提高荞麦抗旱性:三个品种的比较研究。

IF 4.1 2区 生物学 Q1 PLANT SCIENCES
Frontiers in Plant Science Pub Date : 2025-09-23 eCollection Date: 2025-01-01 DOI:10.3389/fpls.2025.1635709
Jiri Krucky, Vaclav Hejnak, Pavla Vachova, Aayushi Gupta, Jan Kubes, Marek Popov, Milan Skalicky
{"title":"施用硅提高荞麦抗旱性:三个品种的比较研究。","authors":"Jiri Krucky, Vaclav Hejnak, Pavla Vachova, Aayushi Gupta, Jan Kubes, Marek Popov, Milan Skalicky","doi":"10.3389/fpls.2025.1635709","DOIUrl":null,"url":null,"abstract":"<p><p>This study evaluated the effects of foliar silicon (Si) application on physiological and biochemical traits in three buckwheat lines (La Harpe, Panda, Smuga) grown under optimal (control) and drought stress conditions. Plants were cultivated under controlled conditions with four treatments: Control (80% water availability), Drought (40%), Control + Si, and Drought + Si (0.5 mM Na<sub>2</sub>SiO<sub>3</sub>·9H<sub>2</sub>O applied to foliage). Water stress significantly reduced relative leaf water content (RWC), osmotic potential (Ψ<sub>s</sub>), photosynthetic pigments, and gas exchange parameters (<i>A</i>, <i>E</i>, <i>g<sub>s</sub></i> ) in all varieties. It also increased malondialdehyde (MDA), total flavonoid content (TFC), total antioxidant capacity (TAC), and 5-methylcytosine (5mC), while Fv/Fm remained unchanged, indicating sustained photosystem II activity. However, varietal differences were evident. La Harpe and Panda showed lower RWC, Ψ<sub>s</sub>, <i>A</i>, <i>E</i>, and <i>g<sub>s</sub></i> under drought than Smuga. La Harpe had the highest MDA accumulation in roots, increased 5mC levels in leaves, and was the only line with decreased water use efficiency (WUE). Smuga exhibited the highest natural proline level and the strongest proline increase under drought. Foliar Si application reduced MDA and enhanced antioxidant activity (TFC, TAC) in both roots and leaves across all varieties, under both water regimes. The strongest antioxidant response was observed in La Harpe. Si also improved photosynthetic pigment levels, likely contributing to the protection of the photosynthetic apparatus under drought stress. Its effects on RWC, Ψ<sub>s</sub>, and gas exchange under drought were variety-specific: La Harpe and Panda responded positively, while Smuga showed minimal changes. Group correlation analysis under drought showed that Smuga had the strongest positive correlations between plant health traits and stress responses, suggesting effective physiological coordination. Panda showed moderate, and La Harpe negative, correlations. After Si application, these relationships improved most in Smuga, moderately in Panda, and least in La Harpe. Overall, the results reveal clear genotype-specific responses to foliar-applied Si in buckwheat. Silicon improved antioxidant defenses, mitigated drought-induced oxidative stress, and supported physiological functions, particularly in Smuga. These findings support using Si as a promising tool to enhance drought resilience in buckwheat cultivation.</p>","PeriodicalId":12632,"journal":{"name":"Frontiers in Plant Science","volume":"16 ","pages":"1635709"},"PeriodicalIF":4.1000,"publicationDate":"2025-09-23","publicationTypes":"Journal Article","fieldsOfStudy":null,"isOpenAccess":false,"openAccessPdf":"https://www.ncbi.nlm.nih.gov/pmc/articles/PMC12503412/pdf/","citationCount":"0","resultStr":"{\"title\":\"Silicon application enhances drought resilience in buckwheat: a comparative study of three varieties.\",\"authors\":\"Jiri Krucky, Vaclav Hejnak, Pavla Vachova, Aayushi Gupta, Jan Kubes, Marek Popov, Milan Skalicky\",\"doi\":\"10.3389/fpls.2025.1635709\",\"DOIUrl\":null,\"url\":null,\"abstract\":\"<p><p>This study evaluated the effects of foliar silicon (Si) application on physiological and biochemical traits in three buckwheat lines (La Harpe, Panda, Smuga) grown under optimal (control) and drought stress conditions. Plants were cultivated under controlled conditions with four treatments: Control (80% water availability), Drought (40%), Control + Si, and Drought + Si (0.5 mM Na<sub>2</sub>SiO<sub>3</sub>·9H<sub>2</sub>O applied to foliage). Water stress significantly reduced relative leaf water content (RWC), osmotic potential (Ψ<sub>s</sub>), photosynthetic pigments, and gas exchange parameters (<i>A</i>, <i>E</i>, <i>g<sub>s</sub></i> ) in all varieties. It also increased malondialdehyde (MDA), total flavonoid content (TFC), total antioxidant capacity (TAC), and 5-methylcytosine (5mC), while Fv/Fm remained unchanged, indicating sustained photosystem II activity. However, varietal differences were evident. La Harpe and Panda showed lower RWC, Ψ<sub>s</sub>, <i>A</i>, <i>E</i>, and <i>g<sub>s</sub></i> under drought than Smuga. La Harpe had the highest MDA accumulation in roots, increased 5mC levels in leaves, and was the only line with decreased water use efficiency (WUE). Smuga exhibited the highest natural proline level and the strongest proline increase under drought. Foliar Si application reduced MDA and enhanced antioxidant activity (TFC, TAC) in both roots and leaves across all varieties, under both water regimes. The strongest antioxidant response was observed in La Harpe. Si also improved photosynthetic pigment levels, likely contributing to the protection of the photosynthetic apparatus under drought stress. Its effects on RWC, Ψ<sub>s</sub>, and gas exchange under drought were variety-specific: La Harpe and Panda responded positively, while Smuga showed minimal changes. Group correlation analysis under drought showed that Smuga had the strongest positive correlations between plant health traits and stress responses, suggesting effective physiological coordination. Panda showed moderate, and La Harpe negative, correlations. After Si application, these relationships improved most in Smuga, moderately in Panda, and least in La Harpe. Overall, the results reveal clear genotype-specific responses to foliar-applied Si in buckwheat. Silicon improved antioxidant defenses, mitigated drought-induced oxidative stress, and supported physiological functions, particularly in Smuga. These findings support using Si as a promising tool to enhance drought resilience in buckwheat cultivation.</p>\",\"PeriodicalId\":12632,\"journal\":{\"name\":\"Frontiers in Plant Science\",\"volume\":\"16 \",\"pages\":\"1635709\"},\"PeriodicalIF\":4.1000,\"publicationDate\":\"2025-09-23\",\"publicationTypes\":\"Journal Article\",\"fieldsOfStudy\":null,\"isOpenAccess\":false,\"openAccessPdf\":\"https://www.ncbi.nlm.nih.gov/pmc/articles/PMC12503412/pdf/\",\"citationCount\":\"0\",\"resultStr\":null,\"platform\":\"Semanticscholar\",\"paperid\":null,\"PeriodicalName\":\"Frontiers in Plant Science\",\"FirstCategoryId\":\"99\",\"ListUrlMain\":\"https://doi.org/10.3389/fpls.2025.1635709\",\"RegionNum\":2,\"RegionCategory\":\"生物学\",\"ArticlePicture\":[],\"TitleCN\":null,\"AbstractTextCN\":null,\"PMCID\":null,\"EPubDate\":\"2025/1/1 0:00:00\",\"PubModel\":\"eCollection\",\"JCR\":\"Q1\",\"JCRName\":\"PLANT SCIENCES\",\"Score\":null,\"Total\":0}","platform":"Semanticscholar","paperid":null,"PeriodicalName":"Frontiers in Plant Science","FirstCategoryId":"99","ListUrlMain":"https://doi.org/10.3389/fpls.2025.1635709","RegionNum":2,"RegionCategory":"生物学","ArticlePicture":[],"TitleCN":null,"AbstractTextCN":null,"PMCID":null,"EPubDate":"2025/1/1 0:00:00","PubModel":"eCollection","JCR":"Q1","JCRName":"PLANT SCIENCES","Score":null,"Total":0}
引用次数: 0

摘要

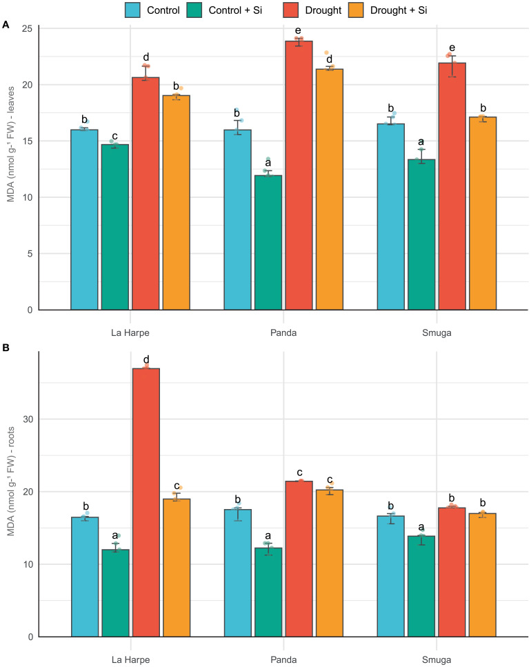
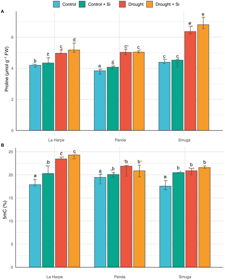
研究了叶面施硅对3个荞麦品系(La Harpe、Panda、Smuga)在最优(对照)和干旱胁迫条件下生理生化性状的影响。采用对照(80%水分利用率)、干旱(40%)、对照+ Si和干旱+ Si(叶片施用0.5 mM Na2SiO3·9H2O) 4种处理进行栽培。水分胁迫显著降低了各品种叶片相对含水量(RWC)、渗透势(Ψs)、光合色素和气体交换参数(A、E、gs)。丙二醛(MDA)、总黄酮含量(TFC)、总抗氧化能力(TAC)和5-甲基胞嘧啶(5mC)均增加,而Fv/Fm保持不变,表明光系统II活性持续。然而,品种差异明显。在干旱条件下,La Harpe和Panda的RWC、Ψs、A、E和gs均低于Smuga。根系MDA积累量最高,叶片5mC含量增加,是唯一水分利用效率(WUE)下降的品系。赤潮草脯氨酸天然含量最高,干旱条件下脯氨酸增加幅度最大。在两种水分条件下,叶面施硅降低了所有品种根和叶的丙二醛(MDA),增强了抗氧化活性(TFC, TAC)。La Harpe的抗氧化反应最强。硅还提高了光合色素水平,可能有助于在干旱胁迫下保护光合机构。其对干旱条件下RWC、Ψs和气体交换的影响具有品种特异性:La Harpe和Panda响应积极,而Smuga则表现出微小的变化。干旱条件下的群相关分析表明,Smuga在植物健康性状与胁迫响应之间具有最强的正相关,表明存在有效的生理协调作用。Panda表现出中度相关性,与La Harpe呈负相关。施硅后,Smuga的这些关系改善最多,Panda的改善中等,而La Harpe的改善最少。总的来说,结果显示荞麦对叶面施硅有明显的基因型特异性反应。硅提高了抗氧化防御能力,减轻了干旱引起的氧化应激,并支持生理功能,特别是在Smuga中。这些发现支持使用硅作为有希望的工具来提高荞麦种植的抗旱能力。
本文章由计算机程序翻译,如有差异,请以英文原文为准。

Silicon application enhances drought resilience in buckwheat: a comparative study of three varieties.

Silicon application enhances drought resilience in buckwheat: a comparative study of three varieties.

Silicon application enhances drought resilience in buckwheat: a comparative study of three varieties.

Silicon application enhances drought resilience in buckwheat: a comparative study of three varieties.

This study evaluated the effects of foliar silicon (Si) application on physiological and biochemical traits in three buckwheat lines (La Harpe, Panda, Smuga) grown under optimal (control) and drought stress conditions. Plants were cultivated under controlled conditions with four treatments: Control (80% water availability), Drought (40%), Control + Si, and Drought + Si (0.5 mM Na2SiO3·9H2O applied to foliage). Water stress significantly reduced relative leaf water content (RWC), osmotic potential (Ψs), photosynthetic pigments, and gas exchange parameters (A, E, gs ) in all varieties. It also increased malondialdehyde (MDA), total flavonoid content (TFC), total antioxidant capacity (TAC), and 5-methylcytosine (5mC), while Fv/Fm remained unchanged, indicating sustained photosystem II activity. However, varietal differences were evident. La Harpe and Panda showed lower RWC, Ψs, A, E, and gs under drought than Smuga. La Harpe had the highest MDA accumulation in roots, increased 5mC levels in leaves, and was the only line with decreased water use efficiency (WUE). Smuga exhibited the highest natural proline level and the strongest proline increase under drought. Foliar Si application reduced MDA and enhanced antioxidant activity (TFC, TAC) in both roots and leaves across all varieties, under both water regimes. The strongest antioxidant response was observed in La Harpe. Si also improved photosynthetic pigment levels, likely contributing to the protection of the photosynthetic apparatus under drought stress. Its effects on RWC, Ψs, and gas exchange under drought were variety-specific: La Harpe and Panda responded positively, while Smuga showed minimal changes. Group correlation analysis under drought showed that Smuga had the strongest positive correlations between plant health traits and stress responses, suggesting effective physiological coordination. Panda showed moderate, and La Harpe negative, correlations. After Si application, these relationships improved most in Smuga, moderately in Panda, and least in La Harpe. Overall, the results reveal clear genotype-specific responses to foliar-applied Si in buckwheat. Silicon improved antioxidant defenses, mitigated drought-induced oxidative stress, and supported physiological functions, particularly in Smuga. These findings support using Si as a promising tool to enhance drought resilience in buckwheat cultivation.

求助全文
通过发布文献求助,成功后即可免费获取论文全文。 去求助
来源期刊
Frontiers in Plant Science
Frontiers in Plant Science PLANT SCIENCES-
CiteScore
7.30
自引率
14.30%
发文量
4844
审稿时长
14 weeks
期刊介绍: In an ever changing world, plant science is of the utmost importance for securing the future well-being of humankind. Plants provide oxygen, food, feed, fibers, and building materials. In addition, they are a diverse source of industrial and pharmaceutical chemicals. Plants are centrally important to the health of ecosystems, and their understanding is critical for learning how to manage and maintain a sustainable biosphere. Plant science is extremely interdisciplinary, reaching from agricultural science to paleobotany, and molecular physiology to ecology. It uses the latest developments in computer science, optics, molecular biology and genomics to address challenges in model systems, agricultural crops, and ecosystems. Plant science research inquires into the form, function, development, diversity, reproduction, evolution and uses of both higher and lower plants and their interactions with other organisms throughout the biosphere. Frontiers in Plant Science welcomes outstanding contributions in any field of plant science from basic to applied research, from organismal to molecular studies, from single plant analysis to studies of populations and whole ecosystems, and from molecular to biophysical to computational approaches. Frontiers in Plant Science publishes articles on the most outstanding discoveries across a wide research spectrum of Plant Science. The mission of Frontiers in Plant Science is to bring all relevant Plant Science areas together on a single platform.
×
引用
GB/T 7714-2015
复制
MLA
复制
APA
复制
导出至
BibTeX EndNote RefMan NoteFirst NoteExpress
×
提示
您的信息不完整,为了账户安全,请先补充。
现在去补充
×
提示
您因"违规操作"
具体请查看互助需知
我知道了
×
提示
确定
请完成安全验证×
copy
已复制链接
快去分享给好友吧!
我知道了
右上角分享
点击右上角分享
0
联系我们:info@booksci.cn Book学术提供免费学术资源搜索服务,方便国内外学者检索中英文文献。致力于提供最便捷和优质的服务体验。 Copyright © 2023 布克学术 All rights reserved.
京ICP备2023020795号-1
ghs 京公网安备 11010802042870号
Book学术文献互助
Book学术文献互助群
群 号:604180095
Book学术官方微信