乳酸与白蛋白比率与危重心衰合并败血症患者短期和长期死亡率的关系:使用MIMIC-IV数据库的回顾性研究

IF 2.8 3区 医学 Q2 CARDIAC & CARDIOVASCULAR SYSTEMS
Frontiers in Cardiovascular Medicine Pub Date : 2025-09-23 eCollection Date: 2025-01-01 DOI:10.3389/fcvm.2025.1636375
Yuming Wu, Ling Wang, Qiuyan Wen
{"title":"乳酸与白蛋白比率与危重心衰合并败血症患者短期和长期死亡率的关系:使用MIMIC-IV数据库的回顾性研究","authors":"Yuming Wu, Ling Wang, Qiuyan Wen","doi":"10.3389/fcvm.2025.1636375","DOIUrl":null,"url":null,"abstract":"<p><strong>Background: </strong>Elevated lactate to albumin ratio (LAR) has been associated with poor prognosis in critical illnesses. However, evidence regarding LAR in patients with heart failure (HF) complicated by sepsis remains limited. This study aimed to explore the relationship between LAR and both short-term and long-term mortality in this population.</p><p><strong>Method: </strong>Patient data were extracted from the Medical Information Mart for Intensive Care (MIMIC-IV) database and stratified into quartiles based on LAR. The primary endpoints were 28-day and 365-day all-cause mortality. Kaplan-Meier survival analysis was performed to compare outcomes across the four groups. Association between LAR and mortality was assessed using restricted cubic splines (RCS) and Cox regression analysis. Additionally, subgroup and sensitivity analyses were conducted.</p><p><strong>Result: </strong>Among 4,242 participants (mean age 72.04 ± 13.50 years; 57.33% male), Kaplan-Meier analysis showed that higher LAR levels were associated with increased 28-day and 365-day all-cause mortality (log-rank <i>P</i> < 0.001). Cox regression analysis confirmed that elevated LAR was independently associated with higher 28-day and 365-day all-cause mortality (HR: 1.101, 95% CI 1.005-1.205; HR: 1.125, 95% CI 1.039-1.218). The highest LAR quartile (>0.97) remained significantly associated with both 28-day and 365-day mortality (Q4 vs. Q1: HR: 1.313, 95% CI 1.063-1.622; HR: 1.310, 95% CI 1.092-1.571). RCS analysis indicated a linear positive correlation between LAR and mortality (<i>P</i> for nonlinear > 0.05). Subgroup analysis revealed a significant interaction with hypertension (<i>P</i> for interaction = 0.033 for 28-day; <i>P</i> for interaction = 0.015 for 365-day). Sensitivity analyses confirmed the robustness of these findings.</p><p><strong>Conclusion: </strong>In critically ill patients with HF complicated by sepsis, LAR is a reliable and independent predictor of mortality. Patients in the highest LAR quartile (>0.97) have a significantly increased risk of death, providing a clinically useful reference for rapid identification of high-risk individuals. The significant interaction observed in hypertensive subgroups highlights the need for heightened clinical attention. Overall, LAR may serve as a practical biomarker for risk stratification and prognostic evaluation in this vulnerable population.</p>","PeriodicalId":12414,"journal":{"name":"Frontiers in Cardiovascular Medicine","volume":"12 ","pages":"1636375"},"PeriodicalIF":2.8000,"publicationDate":"2025-09-23","publicationTypes":"Journal Article","fieldsOfStudy":null,"isOpenAccess":false,"openAccessPdf":"https://www.ncbi.nlm.nih.gov/pmc/articles/PMC12500606/pdf/","citationCount":"0","resultStr":"{\"title\":\"Association of lactate to albumin ratio with short-term and long-term mortality in critically ill patients with heart failure complicated by sepsis: a retrospective study using the MIMIC-IV database.\",\"authors\":\"Yuming Wu, Ling Wang, Qiuyan Wen\",\"doi\":\"10.3389/fcvm.2025.1636375\",\"DOIUrl\":null,\"url\":null,\"abstract\":\"<p><strong>Background: </strong>Elevated lactate to albumin ratio (LAR) has been associated with poor prognosis in critical illnesses. However, evidence regarding LAR in patients with heart failure (HF) complicated by sepsis remains limited. This study aimed to explore the relationship between LAR and both short-term and long-term mortality in this population.</p><p><strong>Method: </strong>Patient data were extracted from the Medical Information Mart for Intensive Care (MIMIC-IV) database and stratified into quartiles based on LAR. The primary endpoints were 28-day and 365-day all-cause mortality. Kaplan-Meier survival analysis was performed to compare outcomes across the four groups. Association between LAR and mortality was assessed using restricted cubic splines (RCS) and Cox regression analysis. Additionally, subgroup and sensitivity analyses were conducted.</p><p><strong>Result: </strong>Among 4,242 participants (mean age 72.04 ± 13.50 years; 57.33% male), Kaplan-Meier analysis showed that higher LAR levels were associated with increased 28-day and 365-day all-cause mortality (log-rank <i>P</i> < 0.001). Cox regression analysis confirmed that elevated LAR was independently associated with higher 28-day and 365-day all-cause mortality (HR: 1.101, 95% CI 1.005-1.205; HR: 1.125, 95% CI 1.039-1.218). The highest LAR quartile (>0.97) remained significantly associated with both 28-day and 365-day mortality (Q4 vs. Q1: HR: 1.313, 95% CI 1.063-1.622; HR: 1.310, 95% CI 1.092-1.571). RCS analysis indicated a linear positive correlation between LAR and mortality (<i>P</i> for nonlinear > 0.05). Subgroup analysis revealed a significant interaction with hypertension (<i>P</i> for interaction = 0.033 for 28-day; <i>P</i> for interaction = 0.015 for 365-day). Sensitivity analyses confirmed the robustness of these findings.</p><p><strong>Conclusion: </strong>In critically ill patients with HF complicated by sepsis, LAR is a reliable and independent predictor of mortality. Patients in the highest LAR quartile (>0.97) have a significantly increased risk of death, providing a clinically useful reference for rapid identification of high-risk individuals. The significant interaction observed in hypertensive subgroups highlights the need for heightened clinical attention. Overall, LAR may serve as a practical biomarker for risk stratification and prognostic evaluation in this vulnerable population.</p>\",\"PeriodicalId\":12414,\"journal\":{\"name\":\"Frontiers in Cardiovascular Medicine\",\"volume\":\"12 \",\"pages\":\"1636375\"},\"PeriodicalIF\":2.8000,\"publicationDate\":\"2025-09-23\",\"publicationTypes\":\"Journal Article\",\"fieldsOfStudy\":null,\"isOpenAccess\":false,\"openAccessPdf\":\"https://www.ncbi.nlm.nih.gov/pmc/articles/PMC12500606/pdf/\",\"citationCount\":\"0\",\"resultStr\":null,\"platform\":\"Semanticscholar\",\"paperid\":null,\"PeriodicalName\":\"Frontiers in Cardiovascular Medicine\",\"FirstCategoryId\":\"3\",\"ListUrlMain\":\"https://doi.org/10.3389/fcvm.2025.1636375\",\"RegionNum\":3,\"RegionCategory\":\"医学\",\"ArticlePicture\":[],\"TitleCN\":null,\"AbstractTextCN\":null,\"PMCID\":null,\"EPubDate\":\"2025/1/1 0:00:00\",\"PubModel\":\"eCollection\",\"JCR\":\"Q2\",\"JCRName\":\"CARDIAC & CARDIOVASCULAR SYSTEMS\",\"Score\":null,\"Total\":0}","platform":"Semanticscholar","paperid":null,"PeriodicalName":"Frontiers in Cardiovascular Medicine","FirstCategoryId":"3","ListUrlMain":"https://doi.org/10.3389/fcvm.2025.1636375","RegionNum":3,"RegionCategory":"医学","ArticlePicture":[],"TitleCN":null,"AbstractTextCN":null,"PMCID":null,"EPubDate":"2025/1/1 0:00:00","PubModel":"eCollection","JCR":"Q2","JCRName":"CARDIAC & CARDIOVASCULAR SYSTEMS","Score":null,"Total":0}
引用次数: 0

摘要

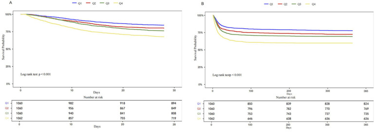
背景:乳酸与白蛋白比值(LAR)升高与危重疾病的不良预后有关。然而,关于LAR在心力衰竭(HF)合并败血症患者中的作用的证据仍然有限。本研究旨在探讨LAR与该人群短期和长期死亡率之间的关系。方法:从重症监护医疗信息市场(MIMIC-IV)数据库中提取患者资料,并基于LAR分层为四分位数。主要终点是28天和365天的全因死亡率。采用Kaplan-Meier生存分析比较四组的结果。使用限制性三次样条(RCS)和Cox回归分析评估LAR与死亡率之间的关系。此外,还进行了亚组分析和敏感性分析。结果:在4242名参与者(平均年龄72.04±13.50岁,男性57.33%)中,Kaplan-Meier分析显示,较高的LAR水平与28天和365天全因死亡率增加相关(log-rank P 0.97),与28天和365天死亡率显著相关(Q4 vs Q1: HR: 1.313, 95% CI 1.063-1.622; HR: 1.310, 95% CI 1.092-1.571)。RCS分析显示LAR与死亡率呈线性正相关(非线性P < 0.05)。亚组分析显示与高血压有显著的交互作用(交互作用P = 0.033,持续28天;交互作用P = 0.015,持续365天)。敏感性分析证实了这些发现的稳健性。结论:在HF合并败血症的危重患者中,LAR是一个可靠且独立的死亡率预测指标。LAR最高四分位数(>0.97)患者的死亡风险显著增加,为快速识别高危个体提供了临床有用的参考。在高血压亚组中观察到的显著相互作用强调了加强临床关注的必要性。总之,LAR可作为易感人群风险分层和预后评估的实用生物标志物。
本文章由计算机程序翻译,如有差异,请以英文原文为准。

Association of lactate to albumin ratio with short-term and long-term mortality in critically ill patients with heart failure complicated by sepsis: a retrospective study using the MIMIC-IV database.

Association of lactate to albumin ratio with short-term and long-term mortality in critically ill patients with heart failure complicated by sepsis: a retrospective study using the MIMIC-IV database.

Association of lactate to albumin ratio with short-term and long-term mortality in critically ill patients with heart failure complicated by sepsis: a retrospective study using the MIMIC-IV database.

Association of lactate to albumin ratio with short-term and long-term mortality in critically ill patients with heart failure complicated by sepsis: a retrospective study using the MIMIC-IV database.

Background: Elevated lactate to albumin ratio (LAR) has been associated with poor prognosis in critical illnesses. However, evidence regarding LAR in patients with heart failure (HF) complicated by sepsis remains limited. This study aimed to explore the relationship between LAR and both short-term and long-term mortality in this population.

Method: Patient data were extracted from the Medical Information Mart for Intensive Care (MIMIC-IV) database and stratified into quartiles based on LAR. The primary endpoints were 28-day and 365-day all-cause mortality. Kaplan-Meier survival analysis was performed to compare outcomes across the four groups. Association between LAR and mortality was assessed using restricted cubic splines (RCS) and Cox regression analysis. Additionally, subgroup and sensitivity analyses were conducted.

Result: Among 4,242 participants (mean age 72.04 ± 13.50 years; 57.33% male), Kaplan-Meier analysis showed that higher LAR levels were associated with increased 28-day and 365-day all-cause mortality (log-rank P < 0.001). Cox regression analysis confirmed that elevated LAR was independently associated with higher 28-day and 365-day all-cause mortality (HR: 1.101, 95% CI 1.005-1.205; HR: 1.125, 95% CI 1.039-1.218). The highest LAR quartile (>0.97) remained significantly associated with both 28-day and 365-day mortality (Q4 vs. Q1: HR: 1.313, 95% CI 1.063-1.622; HR: 1.310, 95% CI 1.092-1.571). RCS analysis indicated a linear positive correlation between LAR and mortality (P for nonlinear > 0.05). Subgroup analysis revealed a significant interaction with hypertension (P for interaction = 0.033 for 28-day; P for interaction = 0.015 for 365-day). Sensitivity analyses confirmed the robustness of these findings.

Conclusion: In critically ill patients with HF complicated by sepsis, LAR is a reliable and independent predictor of mortality. Patients in the highest LAR quartile (>0.97) have a significantly increased risk of death, providing a clinically useful reference for rapid identification of high-risk individuals. The significant interaction observed in hypertensive subgroups highlights the need for heightened clinical attention. Overall, LAR may serve as a practical biomarker for risk stratification and prognostic evaluation in this vulnerable population.

求助全文
通过发布文献求助,成功后即可免费获取论文全文。 去求助
来源期刊
Frontiers in Cardiovascular Medicine
Frontiers in Cardiovascular Medicine Medicine-Cardiology and Cardiovascular Medicine
CiteScore
3.80
自引率
11.10%
发文量
3529
审稿时长
14 weeks
期刊介绍: Frontiers? Which frontiers? Where exactly are the frontiers of cardiovascular medicine? And who should be defining these frontiers? At Frontiers in Cardiovascular Medicine we believe it is worth being curious to foresee and explore beyond the current frontiers. In other words, we would like, through the articles published by our community journal Frontiers in Cardiovascular Medicine, to anticipate the future of cardiovascular medicine, and thus better prevent cardiovascular disorders and improve therapeutic options and outcomes of our patients.
×
引用
GB/T 7714-2015
复制
MLA
复制
APA
复制
导出至
BibTeX EndNote RefMan NoteFirst NoteExpress
×
提示
您的信息不完整,为了账户安全,请先补充。
现在去补充
×
提示
您因"违规操作"
具体请查看互助需知
我知道了
×
提示
确定
请完成安全验证×
copy
已复制链接
快去分享给好友吧!
我知道了
右上角分享
点击右上角分享
0
联系我们:info@booksci.cn Book学术提供免费学术资源搜索服务,方便国内外学者检索中英文文献。致力于提供最便捷和优质的服务体验。 Copyright © 2023 布克学术 All rights reserved.
京ICP备2023020795号-1
ghs 京公网安备 11010802042870号
Book学术文献互助
Book学术文献互助群
群 号:604180095
Book学术官方微信