应激性高血糖率与心血管疾病患者全因死亡率和过早死亡的u型关联:一项队列研究

IF 3.9 3区 医学 Q2 ENDOCRINOLOGY & METABOLISM
Na Wang, Ya Shao, Yan Zhan, Meiling Shao, Bin Liu, Longti Li, Huiqin Zhong
{"title":"应激性高血糖率与心血管疾病患者全因死亡率和过早死亡的u型关联:一项队列研究","authors":"Na Wang, Ya Shao, Yan Zhan, Meiling Shao, Bin Liu, Longti Li, Huiqin Zhong","doi":"10.1186/s13098-025-01959-3","DOIUrl":null,"url":null,"abstract":"<p><strong>Background: </strong>The stress hyperglycemia ratio (SHR) is recognized as a significant indicator of relative hyperglycemia that has demonstrated to correlate with poor outcomes, including elevated mortality rates in individuals facing severe acute conditions. However, the connection between SHR and all-cause mortality and premature death in individuals with cardiovascular disease (CVD) remains insufficiently investigated. This research intended to investigate the relationship between SHR and all-cause mortality and premature death among individuals with CVD.</p><p><strong>Methods: </strong>This cohort study involved data extracted from 2,714 follow-up cohorts sourced from the National Health and Nutrition Examination Survey (NHANES). Participants were categorized based on SHR quartiles. The relationship between SHR and all-cause mortality and premature death in CVD patients was analyzed using Kaplan-Meier survival curves, restricted cubic splines (RCS), Cox proportional hazards models, threshold effect analysis, and subgroup analyses.</p><p><strong>Results: </strong>Over an average follow-up duration of 88.38 months, 1,201 deaths were documented, of which 351 were classified as premature. The Kaplan-Meier curves illustrated that individuals in quartile 2 of SHR exhibited highest survival probability compared to other quartiles. Cox proportional hazards regression revealed a positive association between SHR (for continuous) and all-cause mortality (HR 1.57, 95% CI 1.12-2.19) as well as premature death (HR 1.96, 95% CI 1.10-3.49). Compared with the second quartile, both lower and higher SHR values were significantly correlated with elevated risk of all-cause mortality and premature death (HR > 1, P-value < 0.05). The RCS analysis elucidated a U-shaped association of SHR with risk of all-cause mortality and premature death. Furthermore, the threshold effect analysis pinpointed the inflection points for SHR relative to all-cause mortality and premature death at 0.86 and 0.87, respectively. E-value indicated that the model demonstrated robust stability concerning potential unknown confounding variables.</p><p><strong>Conclusion: </strong>An independent association of SHR with all-cause mortality and premature death was observed among individuals with CVD. Maintaining SHR within a moderate range might improve their prognosis.</p>","PeriodicalId":11106,"journal":{"name":"Diabetology & Metabolic Syndrome","volume":"17 1","pages":"386"},"PeriodicalIF":3.9000,"publicationDate":"2025-10-08","publicationTypes":"Journal Article","fieldsOfStudy":null,"isOpenAccess":false,"openAccessPdf":"https://www.ncbi.nlm.nih.gov/pmc/articles/PMC12506222/pdf/","citationCount":"0","resultStr":"{\"title\":\"U-shaped association of the stress hyperglycemia ratio with all-cause mortality and premature death in patients with cardiovascular disease: a cohort study.\",\"authors\":\"Na Wang, Ya Shao, Yan Zhan, Meiling Shao, Bin Liu, Longti Li, Huiqin Zhong\",\"doi\":\"10.1186/s13098-025-01959-3\",\"DOIUrl\":null,\"url\":null,\"abstract\":\"<p><strong>Background: </strong>The stress hyperglycemia ratio (SHR) is recognized as a significant indicator of relative hyperglycemia that has demonstrated to correlate with poor outcomes, including elevated mortality rates in individuals facing severe acute conditions. However, the connection between SHR and all-cause mortality and premature death in individuals with cardiovascular disease (CVD) remains insufficiently investigated. This research intended to investigate the relationship between SHR and all-cause mortality and premature death among individuals with CVD.</p><p><strong>Methods: </strong>This cohort study involved data extracted from 2,714 follow-up cohorts sourced from the National Health and Nutrition Examination Survey (NHANES). Participants were categorized based on SHR quartiles. The relationship between SHR and all-cause mortality and premature death in CVD patients was analyzed using Kaplan-Meier survival curves, restricted cubic splines (RCS), Cox proportional hazards models, threshold effect analysis, and subgroup analyses.</p><p><strong>Results: </strong>Over an average follow-up duration of 88.38 months, 1,201 deaths were documented, of which 351 were classified as premature. The Kaplan-Meier curves illustrated that individuals in quartile 2 of SHR exhibited highest survival probability compared to other quartiles. Cox proportional hazards regression revealed a positive association between SHR (for continuous) and all-cause mortality (HR 1.57, 95% CI 1.12-2.19) as well as premature death (HR 1.96, 95% CI 1.10-3.49). Compared with the second quartile, both lower and higher SHR values were significantly correlated with elevated risk of all-cause mortality and premature death (HR > 1, P-value < 0.05). The RCS analysis elucidated a U-shaped association of SHR with risk of all-cause mortality and premature death. Furthermore, the threshold effect analysis pinpointed the inflection points for SHR relative to all-cause mortality and premature death at 0.86 and 0.87, respectively. E-value indicated that the model demonstrated robust stability concerning potential unknown confounding variables.</p><p><strong>Conclusion: </strong>An independent association of SHR with all-cause mortality and premature death was observed among individuals with CVD. Maintaining SHR within a moderate range might improve their prognosis.</p>\",\"PeriodicalId\":11106,\"journal\":{\"name\":\"Diabetology & Metabolic Syndrome\",\"volume\":\"17 1\",\"pages\":\"386\"},\"PeriodicalIF\":3.9000,\"publicationDate\":\"2025-10-08\",\"publicationTypes\":\"Journal Article\",\"fieldsOfStudy\":null,\"isOpenAccess\":false,\"openAccessPdf\":\"https://www.ncbi.nlm.nih.gov/pmc/articles/PMC12506222/pdf/\",\"citationCount\":\"0\",\"resultStr\":null,\"platform\":\"Semanticscholar\",\"paperid\":null,\"PeriodicalName\":\"Diabetology & Metabolic Syndrome\",\"FirstCategoryId\":\"3\",\"ListUrlMain\":\"https://doi.org/10.1186/s13098-025-01959-3\",\"RegionNum\":3,\"RegionCategory\":\"医学\",\"ArticlePicture\":[],\"TitleCN\":null,\"AbstractTextCN\":null,\"PMCID\":null,\"EPubDate\":\"\",\"PubModel\":\"\",\"JCR\":\"Q2\",\"JCRName\":\"ENDOCRINOLOGY & METABOLISM\",\"Score\":null,\"Total\":0}","platform":"Semanticscholar","paperid":null,"PeriodicalName":"Diabetology & Metabolic Syndrome","FirstCategoryId":"3","ListUrlMain":"https://doi.org/10.1186/s13098-025-01959-3","RegionNum":3,"RegionCategory":"医学","ArticlePicture":[],"TitleCN":null,"AbstractTextCN":null,"PMCID":null,"EPubDate":"","PubModel":"","JCR":"Q2","JCRName":"ENDOCRINOLOGY & METABOLISM","Score":null,"Total":0}
引用次数: 0

摘要

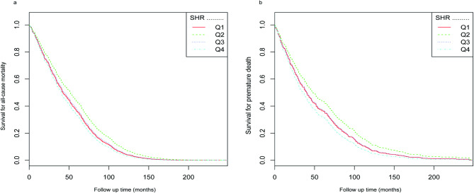
背景:应激性高血糖比(SHR)被认为是相对高血糖的一个重要指标,已被证明与不良预后相关,包括面临严重急性疾病的个体死亡率升高。然而,SHR与心血管疾病(CVD)患者的全因死亡率和过早死亡之间的关系仍未得到充分研究。本研究旨在探讨SHR与心血管疾病患者全因死亡率和过早死亡之间的关系。方法:本队列研究的数据来自2714个来自国家健康和营养检查调查(NHANES)的随访队列。参与者根据SHR四分位数进行分类。采用Kaplan-Meier生存曲线、限制性三次样条(RCS)、Cox比例风险模型、阈值效应分析和亚组分析分析SHR与CVD患者全因死亡率和过早死亡的关系。结果:在平均88.38个月的随访期间,记录了1,201例死亡,其中351例为过早死亡。Kaplan-Meier曲线表明,与其他四分位数相比,SHR四分位数2的个体表现出最高的生存概率。Cox比例风险回归显示SHR(连续)与全因死亡率(HR 1.57, 95% CI 1.12-2.19)和过早死亡(HR 1.96, 95% CI 1.10-3.49)呈正相关。与第二四分位数相比,SHR值的高低均与全因死亡率和过早死亡风险升高有显著相关性(HR bbbb1, p值)。结论:在心血管疾病患者中,SHR值与全因死亡率和过早死亡风险存在独立关联。将SHR维持在中等范围内可能改善其预后。
本文章由计算机程序翻译,如有差异,请以英文原文为准。

U-shaped association of the stress hyperglycemia ratio with all-cause mortality and premature death in patients with cardiovascular disease: a cohort study.

U-shaped association of the stress hyperglycemia ratio with all-cause mortality and premature death in patients with cardiovascular disease: a cohort study.

U-shaped association of the stress hyperglycemia ratio with all-cause mortality and premature death in patients with cardiovascular disease: a cohort study.

U-shaped association of the stress hyperglycemia ratio with all-cause mortality and premature death in patients with cardiovascular disease: a cohort study.

Background: The stress hyperglycemia ratio (SHR) is recognized as a significant indicator of relative hyperglycemia that has demonstrated to correlate with poor outcomes, including elevated mortality rates in individuals facing severe acute conditions. However, the connection between SHR and all-cause mortality and premature death in individuals with cardiovascular disease (CVD) remains insufficiently investigated. This research intended to investigate the relationship between SHR and all-cause mortality and premature death among individuals with CVD.

Methods: This cohort study involved data extracted from 2,714 follow-up cohorts sourced from the National Health and Nutrition Examination Survey (NHANES). Participants were categorized based on SHR quartiles. The relationship between SHR and all-cause mortality and premature death in CVD patients was analyzed using Kaplan-Meier survival curves, restricted cubic splines (RCS), Cox proportional hazards models, threshold effect analysis, and subgroup analyses.

Results: Over an average follow-up duration of 88.38 months, 1,201 deaths were documented, of which 351 were classified as premature. The Kaplan-Meier curves illustrated that individuals in quartile 2 of SHR exhibited highest survival probability compared to other quartiles. Cox proportional hazards regression revealed a positive association between SHR (for continuous) and all-cause mortality (HR 1.57, 95% CI 1.12-2.19) as well as premature death (HR 1.96, 95% CI 1.10-3.49). Compared with the second quartile, both lower and higher SHR values were significantly correlated with elevated risk of all-cause mortality and premature death (HR > 1, P-value < 0.05). The RCS analysis elucidated a U-shaped association of SHR with risk of all-cause mortality and premature death. Furthermore, the threshold effect analysis pinpointed the inflection points for SHR relative to all-cause mortality and premature death at 0.86 and 0.87, respectively. E-value indicated that the model demonstrated robust stability concerning potential unknown confounding variables.

Conclusion: An independent association of SHR with all-cause mortality and premature death was observed among individuals with CVD. Maintaining SHR within a moderate range might improve their prognosis.

求助全文
通过发布文献求助,成功后即可免费获取论文全文。 去求助
来源期刊
Diabetology & Metabolic Syndrome
Diabetology & Metabolic Syndrome ENDOCRINOLOGY & METABOLISM-
CiteScore
6.20
自引率
0.00%
发文量
170
审稿时长
7.5 months
期刊介绍: Diabetology & Metabolic Syndrome publishes articles on all aspects of the pathophysiology of diabetes and metabolic syndrome. By publishing original material exploring any area of laboratory, animal or clinical research into diabetes and metabolic syndrome, the journal offers a high-visibility forum for new insights and discussions into the issues of importance to the relevant community.
×
引用
GB/T 7714-2015
复制
MLA
复制
APA
复制
导出至
BibTeX EndNote RefMan NoteFirst NoteExpress
×
提示
您的信息不完整,为了账户安全,请先补充。
现在去补充
×
提示
您因"违规操作"
具体请查看互助需知
我知道了
×
提示
确定
请完成安全验证×
copy
已复制链接
快去分享给好友吧!
我知道了
右上角分享
点击右上角分享
0
联系我们:info@booksci.cn Book学术提供免费学术资源搜索服务,方便国内外学者检索中英文文献。致力于提供最便捷和优质的服务体验。 Copyright © 2023 布克学术 All rights reserved.
京ICP备2023020795号-1
ghs 京公网安备 11010802042870号
Book学术文献互助
Book学术文献互助群
群 号:604180095
Book学术官方微信