根据国家规定的手术室每小时换气次数,各州手术部位感染率的差异。

IF 4.4 2区 医学 Q1 INFECTIOUS DISEASES
Andrew Atkinson, Jonas Marschall, Jason P Burnham
{"title":"根据国家规定的手术室每小时换气次数,各州手术部位感染率的差异。","authors":"Andrew Atkinson, Jonas Marschall, Jason P Burnham","doi":"10.1186/s13756-025-01631-5","DOIUrl":null,"url":null,"abstract":"<p><strong>Background: </strong>Air changes per hour (ACH) in operating rooms (ORs) are energy intensive, and optimal air change settings are not known.</p><p><strong>Objectives: </strong>We sought to explore whether there is a relationship between surgical site infections (SSIs) across states based on their state-mandated ACHs.</p><p><strong>Design: </strong>Ecological, descriptive, cross-sectional study of publicly reported SSI data in the United States.</p><p><strong>Methods: </strong>Wilcoxon test was used to investigate differences between SSI rates for specific surgery types between ACH mandate levels (15 and 20 ACH). Uni- and multivariable Poisson models at the state level were fitted to estimate differences in SSI rates for each surgery type.</p><p><strong>Results: </strong>OR ACH mandates and SSIs were positively correlated for C-sections and spinal fusion; negatively correlated for colon and laminectomy surgery.</p><p><strong>Conclusion: </strong>For most surgery types, there is no correlation between state-mandated OR ACH. Further studies are needed to determine what changes to mandates can be made safely and effectively.</p>","PeriodicalId":7950,"journal":{"name":"Antimicrobial Resistance and Infection Control","volume":"14 1","pages":"115"},"PeriodicalIF":4.4000,"publicationDate":"2025-10-08","publicationTypes":"Journal Article","fieldsOfStudy":null,"isOpenAccess":false,"openAccessPdf":"https://www.ncbi.nlm.nih.gov/pmc/articles/PMC12506489/pdf/","citationCount":"0","resultStr":"{\"title\":\"Differences in surgical site infection rates by state according to state-mandated operating room air changes per hour.\",\"authors\":\"Andrew Atkinson, Jonas Marschall, Jason P Burnham\",\"doi\":\"10.1186/s13756-025-01631-5\",\"DOIUrl\":null,\"url\":null,\"abstract\":\"<p><strong>Background: </strong>Air changes per hour (ACH) in operating rooms (ORs) are energy intensive, and optimal air change settings are not known.</p><p><strong>Objectives: </strong>We sought to explore whether there is a relationship between surgical site infections (SSIs) across states based on their state-mandated ACHs.</p><p><strong>Design: </strong>Ecological, descriptive, cross-sectional study of publicly reported SSI data in the United States.</p><p><strong>Methods: </strong>Wilcoxon test was used to investigate differences between SSI rates for specific surgery types between ACH mandate levels (15 and 20 ACH). Uni- and multivariable Poisson models at the state level were fitted to estimate differences in SSI rates for each surgery type.</p><p><strong>Results: </strong>OR ACH mandates and SSIs were positively correlated for C-sections and spinal fusion; negatively correlated for colon and laminectomy surgery.</p><p><strong>Conclusion: </strong>For most surgery types, there is no correlation between state-mandated OR ACH. Further studies are needed to determine what changes to mandates can be made safely and effectively.</p>\",\"PeriodicalId\":7950,\"journal\":{\"name\":\"Antimicrobial Resistance and Infection Control\",\"volume\":\"14 1\",\"pages\":\"115\"},\"PeriodicalIF\":4.4000,\"publicationDate\":\"2025-10-08\",\"publicationTypes\":\"Journal Article\",\"fieldsOfStudy\":null,\"isOpenAccess\":false,\"openAccessPdf\":\"https://www.ncbi.nlm.nih.gov/pmc/articles/PMC12506489/pdf/\",\"citationCount\":\"0\",\"resultStr\":null,\"platform\":\"Semanticscholar\",\"paperid\":null,\"PeriodicalName\":\"Antimicrobial Resistance and Infection Control\",\"FirstCategoryId\":\"3\",\"ListUrlMain\":\"https://doi.org/10.1186/s13756-025-01631-5\",\"RegionNum\":2,\"RegionCategory\":\"医学\",\"ArticlePicture\":[],\"TitleCN\":null,\"AbstractTextCN\":null,\"PMCID\":null,\"EPubDate\":\"\",\"PubModel\":\"\",\"JCR\":\"Q1\",\"JCRName\":\"INFECTIOUS DISEASES\",\"Score\":null,\"Total\":0}","platform":"Semanticscholar","paperid":null,"PeriodicalName":"Antimicrobial Resistance and Infection Control","FirstCategoryId":"3","ListUrlMain":"https://doi.org/10.1186/s13756-025-01631-5","RegionNum":2,"RegionCategory":"医学","ArticlePicture":[],"TitleCN":null,"AbstractTextCN":null,"PMCID":null,"EPubDate":"","PubModel":"","JCR":"Q1","JCRName":"INFECTIOUS DISEASES","Score":null,"Total":0}
引用次数: 0

摘要

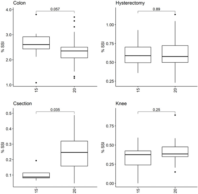
背景:手术室(or)的每小时换气次数(ACH)是能源密集型的,最佳换气设置尚不清楚。目的:我们试图探讨是否存在的关系,手术部位感染(ssi)跨州基于其国家规定的ACHs。设计:对美国公开报道的SSI数据进行生态、描述性、横断面研究。方法:采用Wilcoxon检验调查不同ACH授权水平(15和20 ACH)的特定手术类型SSI率的差异。拟合州一级的单变量和多变量泊松模型来估计每种手术类型的SSI率差异。结果:剖宫产和脊柱融合术中OR ACH指令与ssi呈正相关;与结肠和椎板切除术负相关。结论:对于大多数手术类型,国家规定的OR与ACH没有相关性。需要进一步研究,以确定可以安全有效地对任务作出哪些改变。
本文章由计算机程序翻译,如有差异,请以英文原文为准。

Differences in surgical site infection rates by state according to state-mandated operating room air changes per hour.

Differences in surgical site infection rates by state according to state-mandated operating room air changes per hour.

Background: Air changes per hour (ACH) in operating rooms (ORs) are energy intensive, and optimal air change settings are not known.

Objectives: We sought to explore whether there is a relationship between surgical site infections (SSIs) across states based on their state-mandated ACHs.

Design: Ecological, descriptive, cross-sectional study of publicly reported SSI data in the United States.

Methods: Wilcoxon test was used to investigate differences between SSI rates for specific surgery types between ACH mandate levels (15 and 20 ACH). Uni- and multivariable Poisson models at the state level were fitted to estimate differences in SSI rates for each surgery type.

Results: OR ACH mandates and SSIs were positively correlated for C-sections and spinal fusion; negatively correlated for colon and laminectomy surgery.

Conclusion: For most surgery types, there is no correlation between state-mandated OR ACH. Further studies are needed to determine what changes to mandates can be made safely and effectively.

求助全文
通过发布文献求助,成功后即可免费获取论文全文。 去求助
来源期刊
Antimicrobial Resistance and Infection Control
Antimicrobial Resistance and Infection Control PUBLIC, ENVIRONMENTAL & OCCUPATIONAL HEALTH -INFECTIOUS DISEASES
CiteScore
9.70
自引率
3.60%
发文量
140
审稿时长
13 weeks
期刊介绍: Antimicrobial Resistance and Infection Control is a global forum for all those working on the prevention, diagnostic and treatment of health-care associated infections and antimicrobial resistance development in all health-care settings. The journal covers a broad spectrum of preeminent practices and best available data to the top interventional and translational research, and innovative developments in the field of infection control.
×
引用
GB/T 7714-2015
复制
MLA
复制
APA
复制
导出至
BibTeX EndNote RefMan NoteFirst NoteExpress
×
提示
您的信息不完整,为了账户安全,请先补充。
现在去补充
×
提示
您因"违规操作"
具体请查看互助需知
我知道了
×
提示
确定
请完成安全验证×
copy
已复制链接
快去分享给好友吧!
我知道了
右上角分享
点击右上角分享
0
联系我们:info@booksci.cn Book学术提供免费学术资源搜索服务,方便国内外学者检索中英文文献。致力于提供最便捷和优质的服务体验。 Copyright © 2023 布克学术 All rights reserved.
京ICP备2023020795号-1
ghs 京公网安备 11010802042870号
Book学术文献互助
Book学术文献互助群
群 号:604180095
Book学术官方微信