18F-FDG PET/CT参数及标准摄取值预测肺癌对侧肺转移

IF 1.1 Q4 RADIOLOGY, NUCLEAR MEDICINE & MEDICAL IMAGING
Büşra Özdemir Günay, Funda Üstün
{"title":"18F-FDG PET/CT参数及标准摄取值预测肺癌对侧肺转移","authors":"Büşra Özdemir Günay, Funda Üstün","doi":"10.4274/mirt.galenos.2025.48379","DOIUrl":null,"url":null,"abstract":"<p><strong>Objectives: </strong>Contralateral lung parenchymal metastasis (CLM), less common than expected in lung cancer, and its exact mechanism is still unknown. To determine the additional value of <sup>18</sup>F-fluorodeoxyglucose positron emission tomography/computed tomography (<sup>18</sup>F-FDG PET/CT) in determining CLM, its causes, and predictive factors in lung cancer.</p><p><strong>Methods: </strong>The data were evaluated by comparing the group with CLM and the group without CLM but with distant metastasis to other organs, two groups known as the M1 classification according to the 9<sup>th</sup> tumor-node-metastasis classification in lung cancer. Histopathological data, follow-up, and <sup>18</sup>F-FDG PET/CT findings, including primary tumor lobe, segment, size, pleural effusion, additional metastasis, and their maximum standardized uptake value (SUV<sub>max</sub>) values were recorded, and survival analyses were performed.</p><p><strong>Results: </strong>CLM developed in 125 cases. Eighty-one individuals had contralateral metastases at diagnosis, and 44 developed CLM during follow-up. Distant metastases were present in 100 patients; there was no CLM in the control group. While there was no statistical difference between the two groups in terms of the SUV<sub>max</sub>, mean standardized uptake, and metabolic tumor volume values, the presence of satellite nodules and metastatic nodules in other lobes in the same lung were found to be significantly higher in the CLM group (p=0.007; p<0.001). Also, in the CLM group, ipsilateral nodules had significantly higher SUV values than the control group (3.47 g/mL in the CLM group vs 2.81 g/mL in the control group; p=0.046). Pleural metastasis and effusion were more common in the CLM group (p=0.003; p=0.036). The mean SUV values in pleural metastases and pleural effusions in the CLM group were statistically significantly higher (p=0.048 and p=0.037). In statistical analyses, satellite nodules increase the probability of CLM fourfold, while ipsilateral other lobe nodules in the same lung increase it by 5.527 times (p=0.012; R=-0.2752 and p=0.005; R=-0.3672). Additionally, the absence of necrosis in the initial tumor raises the probability of metastasis to the contralateral lung by 3.326 times during follow-up (p=0.015; R=0.2656).</p><p><strong>Conclusion: </strong>The study emphasized the role of ipsilateral nodules, pleural effusion, and pleural metastasis in predicting CLM using <sup>18</sup>F-FDG PET/CT imaging.</p>","PeriodicalId":44681,"journal":{"name":"Molecular Imaging and Radionuclide Therapy","volume":"34 3","pages":"202-212"},"PeriodicalIF":1.1000,"publicationDate":"2025-10-08","publicationTypes":"Journal Article","fieldsOfStudy":null,"isOpenAccess":false,"openAccessPdf":"https://www.ncbi.nlm.nih.gov/pmc/articles/PMC12505199/pdf/","citationCount":"0","resultStr":"{\"title\":\"<sup>18</sup>F-FDG PET/CT Parameters and Standard Uptake Values Predicting Contralateral Lung Metastasis in Lung Cancer.\",\"authors\":\"Büşra Özdemir Günay, Funda Üstün\",\"doi\":\"10.4274/mirt.galenos.2025.48379\",\"DOIUrl\":null,\"url\":null,\"abstract\":\"<p><strong>Objectives: </strong>Contralateral lung parenchymal metastasis (CLM), less common than expected in lung cancer, and its exact mechanism is still unknown. To determine the additional value of <sup>18</sup>F-fluorodeoxyglucose positron emission tomography/computed tomography (<sup>18</sup>F-FDG PET/CT) in determining CLM, its causes, and predictive factors in lung cancer.</p><p><strong>Methods: </strong>The data were evaluated by comparing the group with CLM and the group without CLM but with distant metastasis to other organs, two groups known as the M1 classification according to the 9<sup>th</sup> tumor-node-metastasis classification in lung cancer. Histopathological data, follow-up, and <sup>18</sup>F-FDG PET/CT findings, including primary tumor lobe, segment, size, pleural effusion, additional metastasis, and their maximum standardized uptake value (SUV<sub>max</sub>) values were recorded, and survival analyses were performed.</p><p><strong>Results: </strong>CLM developed in 125 cases. Eighty-one individuals had contralateral metastases at diagnosis, and 44 developed CLM during follow-up. Distant metastases were present in 100 patients; there was no CLM in the control group. While there was no statistical difference between the two groups in terms of the SUV<sub>max</sub>, mean standardized uptake, and metabolic tumor volume values, the presence of satellite nodules and metastatic nodules in other lobes in the same lung were found to be significantly higher in the CLM group (p=0.007; p<0.001). Also, in the CLM group, ipsilateral nodules had significantly higher SUV values than the control group (3.47 g/mL in the CLM group vs 2.81 g/mL in the control group; p=0.046). Pleural metastasis and effusion were more common in the CLM group (p=0.003; p=0.036). The mean SUV values in pleural metastases and pleural effusions in the CLM group were statistically significantly higher (p=0.048 and p=0.037). In statistical analyses, satellite nodules increase the probability of CLM fourfold, while ipsilateral other lobe nodules in the same lung increase it by 5.527 times (p=0.012; R=-0.2752 and p=0.005; R=-0.3672). Additionally, the absence of necrosis in the initial tumor raises the probability of metastasis to the contralateral lung by 3.326 times during follow-up (p=0.015; R=0.2656).</p><p><strong>Conclusion: </strong>The study emphasized the role of ipsilateral nodules, pleural effusion, and pleural metastasis in predicting CLM using <sup>18</sup>F-FDG PET/CT imaging.</p>\",\"PeriodicalId\":44681,\"journal\":{\"name\":\"Molecular Imaging and Radionuclide Therapy\",\"volume\":\"34 3\",\"pages\":\"202-212\"},\"PeriodicalIF\":1.1000,\"publicationDate\":\"2025-10-08\",\"publicationTypes\":\"Journal Article\",\"fieldsOfStudy\":null,\"isOpenAccess\":false,\"openAccessPdf\":\"https://www.ncbi.nlm.nih.gov/pmc/articles/PMC12505199/pdf/\",\"citationCount\":\"0\",\"resultStr\":null,\"platform\":\"Semanticscholar\",\"paperid\":null,\"PeriodicalName\":\"Molecular Imaging and Radionuclide Therapy\",\"FirstCategoryId\":\"1085\",\"ListUrlMain\":\"https://doi.org/10.4274/mirt.galenos.2025.48379\",\"RegionNum\":0,\"RegionCategory\":null,\"ArticlePicture\":[],\"TitleCN\":null,\"AbstractTextCN\":null,\"PMCID\":null,\"EPubDate\":\"\",\"PubModel\":\"\",\"JCR\":\"Q4\",\"JCRName\":\"RADIOLOGY, NUCLEAR MEDICINE & MEDICAL IMAGING\",\"Score\":null,\"Total\":0}","platform":"Semanticscholar","paperid":null,"PeriodicalName":"Molecular Imaging and Radionuclide Therapy","FirstCategoryId":"1085","ListUrlMain":"https://doi.org/10.4274/mirt.galenos.2025.48379","RegionNum":0,"RegionCategory":null,"ArticlePicture":[],"TitleCN":null,"AbstractTextCN":null,"PMCID":null,"EPubDate":"","PubModel":"","JCR":"Q4","JCRName":"RADIOLOGY, NUCLEAR MEDICINE & MEDICAL IMAGING","Score":null,"Total":0}
引用次数: 0

摘要

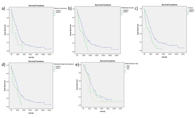
目的:对侧肺实质转移(CLM)在肺癌中较少见,其确切机制尚不清楚。确定18f -氟脱氧葡萄糖正电子发射断层扫描/计算机断层扫描(18F-FDG PET/CT)在确定肺癌CLM、其原因和预测因素方面的附加价值。方法:根据肺癌第9肿瘤-淋巴结-转移分型,将有CLM组与无CLM但有远处转移的组进行比较,将两组数据称为M1分型。记录组织病理学数据、随访和18F-FDG PET/CT结果,包括原发肿瘤叶、节段、大小、胸膜积液、附加转移及其最大标准化摄取值(SUVmax)值,并进行生存分析。结果:125例发生CLM。81人在诊断时有对侧转移,44人在随访期间发展为CLM。100例患者存在远处转移;对照组无CLM。虽然两组在SUVmax、平均标准化摄取和代谢肿瘤体积值方面无统计学差异,但发现CLM组在同一肺其他肺叶中卫星结节和转移结节的存在明显高于CLM组(p=0.007)。结论:本研究强调了同侧结节、胸腔积液和胸膜转移在18F-FDG PET/CT成像预测CLM中的作用。
本文章由计算机程序翻译,如有差异,请以英文原文为准。

<sup>18</sup>F-FDG PET/CT Parameters and Standard Uptake Values Predicting Contralateral Lung Metastasis in Lung Cancer.

<sup>18</sup>F-FDG PET/CT Parameters and Standard Uptake Values Predicting Contralateral Lung Metastasis in Lung Cancer.

18F-FDG PET/CT Parameters and Standard Uptake Values Predicting Contralateral Lung Metastasis in Lung Cancer.

Objectives: Contralateral lung parenchymal metastasis (CLM), less common than expected in lung cancer, and its exact mechanism is still unknown. To determine the additional value of 18F-fluorodeoxyglucose positron emission tomography/computed tomography (18F-FDG PET/CT) in determining CLM, its causes, and predictive factors in lung cancer.

Methods: The data were evaluated by comparing the group with CLM and the group without CLM but with distant metastasis to other organs, two groups known as the M1 classification according to the 9th tumor-node-metastasis classification in lung cancer. Histopathological data, follow-up, and 18F-FDG PET/CT findings, including primary tumor lobe, segment, size, pleural effusion, additional metastasis, and their maximum standardized uptake value (SUVmax) values were recorded, and survival analyses were performed.

Results: CLM developed in 125 cases. Eighty-one individuals had contralateral metastases at diagnosis, and 44 developed CLM during follow-up. Distant metastases were present in 100 patients; there was no CLM in the control group. While there was no statistical difference between the two groups in terms of the SUVmax, mean standardized uptake, and metabolic tumor volume values, the presence of satellite nodules and metastatic nodules in other lobes in the same lung were found to be significantly higher in the CLM group (p=0.007; p<0.001). Also, in the CLM group, ipsilateral nodules had significantly higher SUV values than the control group (3.47 g/mL in the CLM group vs 2.81 g/mL in the control group; p=0.046). Pleural metastasis and effusion were more common in the CLM group (p=0.003; p=0.036). The mean SUV values in pleural metastases and pleural effusions in the CLM group were statistically significantly higher (p=0.048 and p=0.037). In statistical analyses, satellite nodules increase the probability of CLM fourfold, while ipsilateral other lobe nodules in the same lung increase it by 5.527 times (p=0.012; R=-0.2752 and p=0.005; R=-0.3672). Additionally, the absence of necrosis in the initial tumor raises the probability of metastasis to the contralateral lung by 3.326 times during follow-up (p=0.015; R=0.2656).

Conclusion: The study emphasized the role of ipsilateral nodules, pleural effusion, and pleural metastasis in predicting CLM using 18F-FDG PET/CT imaging.

求助全文
通过发布文献求助,成功后即可免费获取论文全文。 去求助
来源期刊
Molecular Imaging and Radionuclide Therapy
Molecular Imaging and Radionuclide Therapy RADIOLOGY, NUCLEAR MEDICINE & MEDICAL IMAGING-
CiteScore
1.30
自引率
0.00%
发文量
50
期刊介绍: Molecular Imaging and Radionuclide Therapy (Mol Imaging Radionucl Ther, MIRT) is publishes original research articles, invited reviews, editorials, short communications, letters, consensus statements, guidelines and case reports with a literature review on the topic, in the field of molecular imaging, multimodality imaging, nuclear medicine, radionuclide therapy, radiopharmacy, medical physics, dosimetry and radiobiology.
×
引用
GB/T 7714-2015
复制
MLA
复制
APA
复制
导出至
BibTeX EndNote RefMan NoteFirst NoteExpress
×
提示
您的信息不完整,为了账户安全,请先补充。
现在去补充
×
提示
您因"违规操作"
具体请查看互助需知
我知道了
×
提示
确定
请完成安全验证×
copy
已复制链接
快去分享给好友吧!
我知道了
右上角分享
点击右上角分享
0
联系我们:info@booksci.cn Book学术提供免费学术资源搜索服务,方便国内外学者检索中英文文献。致力于提供最便捷和优质的服务体验。 Copyright © 2023 布克学术 All rights reserved.
京ICP备2023020795号-1
ghs 京公网安备 11010802042870号
Book学术文献互助
Book学术文献互助群
群 号:604180095
Book学术官方微信