针刺疤痕、筋膜和肌肉对社会和健康不平等人群肌筋膜功能障碍和慢性疼痛管理的新方法过程的影响:一项纵向观察试点研究的定量结果。

IF 3 3区 医学 Q2 CLINICAL NEUROLOGY
Pain Research & Management Pub Date : 2025-09-28 eCollection Date: 2025-01-01 DOI:10.1155/prm/8567447
Ly Nguyen, Barb L Eddy, Nicholas West, Jeffrey N Bone, Leanne M Currie, Gillian Lauder
{"title":"针刺疤痕、筋膜和肌肉对社会和健康不平等人群肌筋膜功能障碍和慢性疼痛管理的新方法过程的影响:一项纵向观察试点研究的定量结果。","authors":"Ly Nguyen, Barb L Eddy, Nicholas West, Jeffrey N Bone, Leanne M Currie, Gillian Lauder","doi":"10.1155/prm/8567447","DOIUrl":null,"url":null,"abstract":"<p><p><b>Background:</b> Nonpharmacological interventions are necessary tools for managing chronic pain to reduce dependence on prescribed analgesic medications. myoActivation® is an innovative systematic nonpharmacological assessment and needling process to help reduce chronic pain related to myofascial dysfunction (MFD). <b>Aim:</b> Analyze quantitative data collected during a longitudinal mixed methods observational pilot study in patients living with social and health inequities undergoing myoActivation as part of routine clinical care to determine the impact of this treatment approach on pain intensity, enjoyment of life, general activity, and unregulated drug use. <b>Methods:</b> Following ethics approval, we conducted a prospective observational study of patients receiving sequential myoActivation for chronic pain. Data were collected at baseline (Week 1) and subsequently at 4, 12, and 24 weeks using validated tools, including the PEG (Pain, Enjoyment of Life, General Activity) scale as well as self-reports of substance and analgesic use. <b>Results:</b> There were 35 participants with a median (interquartile range) baseline PEG score of 7.7/10 (6.7-8.7/10). PEG scores improved at each follow-up, with a mean difference from baseline of -2.5 (95% CI -3.4 to -1.5, <i>p</i> < 0.001) at Week 24, which corresponds to a clinically significant (> 30%) and lasting improvement. At 24 weeks, 9/27 (33%) participants reported less unregulated drug use, and 8/27 (30%) reported less analgesic medication use. <b>Discussion:</b> This study suggests that myoActivation pain care can be an effective tool, with a lasting positive impact, to manage MFD and chronic pain in a population living with social and health inequities. Further studies are needed to examine the impact of myoActivation in the primary care setting. <b>Trial Registration:</b> ClinicalTrials.gov identifier: NCT04261959.</p>","PeriodicalId":19913,"journal":{"name":"Pain Research & Management","volume":"2025 ","pages":"8567447"},"PeriodicalIF":3.0000,"publicationDate":"2025-09-28","publicationTypes":"Journal Article","fieldsOfStudy":null,"isOpenAccess":false,"openAccessPdf":"https://www.ncbi.nlm.nih.gov/pmc/articles/PMC12497526/pdf/","citationCount":"0","resultStr":"{\"title\":\"The Impact of a Novel Methodological Process for Needling Scars, Fascia, and Muscles in the Management of Myofascial Dysfunction and Chronic Pain in a Population Living With Social and Health Inequities: Quantitative Findings From a Longitudinal Observational Pilot Study.\",\"authors\":\"Ly Nguyen, Barb L Eddy, Nicholas West, Jeffrey N Bone, Leanne M Currie, Gillian Lauder\",\"doi\":\"10.1155/prm/8567447\",\"DOIUrl\":null,\"url\":null,\"abstract\":\"<p><p><b>Background:</b> Nonpharmacological interventions are necessary tools for managing chronic pain to reduce dependence on prescribed analgesic medications. myoActivation® is an innovative systematic nonpharmacological assessment and needling process to help reduce chronic pain related to myofascial dysfunction (MFD). <b>Aim:</b> Analyze quantitative data collected during a longitudinal mixed methods observational pilot study in patients living with social and health inequities undergoing myoActivation as part of routine clinical care to determine the impact of this treatment approach on pain intensity, enjoyment of life, general activity, and unregulated drug use. <b>Methods:</b> Following ethics approval, we conducted a prospective observational study of patients receiving sequential myoActivation for chronic pain. Data were collected at baseline (Week 1) and subsequently at 4, 12, and 24 weeks using validated tools, including the PEG (Pain, Enjoyment of Life, General Activity) scale as well as self-reports of substance and analgesic use. <b>Results:</b> There were 35 participants with a median (interquartile range) baseline PEG score of 7.7/10 (6.7-8.7/10). PEG scores improved at each follow-up, with a mean difference from baseline of -2.5 (95% CI -3.4 to -1.5, <i>p</i> < 0.001) at Week 24, which corresponds to a clinically significant (> 30%) and lasting improvement. At 24 weeks, 9/27 (33%) participants reported less unregulated drug use, and 8/27 (30%) reported less analgesic medication use. <b>Discussion:</b> This study suggests that myoActivation pain care can be an effective tool, with a lasting positive impact, to manage MFD and chronic pain in a population living with social and health inequities. Further studies are needed to examine the impact of myoActivation in the primary care setting. <b>Trial Registration:</b> ClinicalTrials.gov identifier: NCT04261959.</p>\",\"PeriodicalId\":19913,\"journal\":{\"name\":\"Pain Research & Management\",\"volume\":\"2025 \",\"pages\":\"8567447\"},\"PeriodicalIF\":3.0000,\"publicationDate\":\"2025-09-28\",\"publicationTypes\":\"Journal Article\",\"fieldsOfStudy\":null,\"isOpenAccess\":false,\"openAccessPdf\":\"https://www.ncbi.nlm.nih.gov/pmc/articles/PMC12497526/pdf/\",\"citationCount\":\"0\",\"resultStr\":null,\"platform\":\"Semanticscholar\",\"paperid\":null,\"PeriodicalName\":\"Pain Research & Management\",\"FirstCategoryId\":\"3\",\"ListUrlMain\":\"https://doi.org/10.1155/prm/8567447\",\"RegionNum\":3,\"RegionCategory\":\"医学\",\"ArticlePicture\":[],\"TitleCN\":null,\"AbstractTextCN\":null,\"PMCID\":null,\"EPubDate\":\"2025/1/1 0:00:00\",\"PubModel\":\"eCollection\",\"JCR\":\"Q2\",\"JCRName\":\"CLINICAL NEUROLOGY\",\"Score\":null,\"Total\":0}","platform":"Semanticscholar","paperid":null,"PeriodicalName":"Pain Research & Management","FirstCategoryId":"3","ListUrlMain":"https://doi.org/10.1155/prm/8567447","RegionNum":3,"RegionCategory":"医学","ArticlePicture":[],"TitleCN":null,"AbstractTextCN":null,"PMCID":null,"EPubDate":"2025/1/1 0:00:00","PubModel":"eCollection","JCR":"Q2","JCRName":"CLINICAL NEUROLOGY","Score":null,"Total":0}
引用次数: 0

摘要

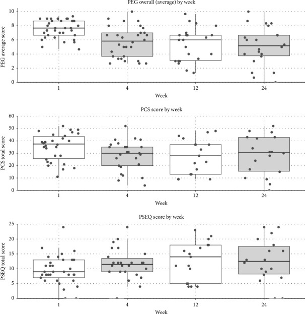
背景:非药物干预是治疗慢性疼痛以减少对处方镇痛药物依赖的必要工具。myoActivation®是一种创新的系统非药物评估和针刺过程,有助于减轻与肌筋膜功能障碍(MFD)相关的慢性疼痛。目的:分析在一项纵向混合方法观察性试点研究中收集的定量数据,该研究针对生活在社会和健康不平等的患者,将肌激活作为常规临床护理的一部分,以确定这种治疗方法对疼痛强度、生活享受、一般活动和无管制药物使用的影响。方法:在伦理批准后,我们对接受顺序肌激活治疗慢性疼痛的患者进行了一项前瞻性观察研究。在基线(第1周)和随后的第4、12和24周使用经过验证的工具收集数据,包括PEG(疼痛、生活享受、一般活动)量表以及物质和止痛药使用的自我报告。结果:35名参与者的基线PEG评分中位数(四分位数范围)为7.7/10(6.7-8.7/10)。每次随访时,PEG评分均有所改善,第24周时与基线的平均差异为-2.5 (95% CI -3.4至-1.5,p < 0.001),这对应于临床显著(> 30%)和持续改善。在24周时,9/27(33%)的参与者报告无管制药物使用减少,8/27(30%)的参与者报告镇痛药物使用减少。讨论:本研究表明,肌激活疼痛护理可以是一种有效的工具,具有持久的积极影响,用于管理生活在社会和健康不平等人群的MFD和慢性疼痛。需要进一步的研究来检验肌激活在初级保健环境中的影响。试验注册:ClinicalTrials.gov标识符:NCT04261959。
本文章由计算机程序翻译,如有差异,请以英文原文为准。

The Impact of a Novel Methodological Process for Needling Scars, Fascia, and Muscles in the Management of Myofascial Dysfunction and Chronic Pain in a Population Living With Social and Health Inequities: Quantitative Findings From a Longitudinal Observational Pilot Study.

The Impact of a Novel Methodological Process for Needling Scars, Fascia, and Muscles in the Management of Myofascial Dysfunction and Chronic Pain in a Population Living With Social and Health Inequities: Quantitative Findings From a Longitudinal Observational Pilot Study.

The Impact of a Novel Methodological Process for Needling Scars, Fascia, and Muscles in the Management of Myofascial Dysfunction and Chronic Pain in a Population Living With Social and Health Inequities: Quantitative Findings From a Longitudinal Observational Pilot Study.

The Impact of a Novel Methodological Process for Needling Scars, Fascia, and Muscles in the Management of Myofascial Dysfunction and Chronic Pain in a Population Living With Social and Health Inequities: Quantitative Findings From a Longitudinal Observational Pilot Study.

Background: Nonpharmacological interventions are necessary tools for managing chronic pain to reduce dependence on prescribed analgesic medications. myoActivation® is an innovative systematic nonpharmacological assessment and needling process to help reduce chronic pain related to myofascial dysfunction (MFD). Aim: Analyze quantitative data collected during a longitudinal mixed methods observational pilot study in patients living with social and health inequities undergoing myoActivation as part of routine clinical care to determine the impact of this treatment approach on pain intensity, enjoyment of life, general activity, and unregulated drug use. Methods: Following ethics approval, we conducted a prospective observational study of patients receiving sequential myoActivation for chronic pain. Data were collected at baseline (Week 1) and subsequently at 4, 12, and 24 weeks using validated tools, including the PEG (Pain, Enjoyment of Life, General Activity) scale as well as self-reports of substance and analgesic use. Results: There were 35 participants with a median (interquartile range) baseline PEG score of 7.7/10 (6.7-8.7/10). PEG scores improved at each follow-up, with a mean difference from baseline of -2.5 (95% CI -3.4 to -1.5, p < 0.001) at Week 24, which corresponds to a clinically significant (> 30%) and lasting improvement. At 24 weeks, 9/27 (33%) participants reported less unregulated drug use, and 8/27 (30%) reported less analgesic medication use. Discussion: This study suggests that myoActivation pain care can be an effective tool, with a lasting positive impact, to manage MFD and chronic pain in a population living with social and health inequities. Further studies are needed to examine the impact of myoActivation in the primary care setting. Trial Registration: ClinicalTrials.gov identifier: NCT04261959.

求助全文
通过发布文献求助,成功后即可免费获取论文全文。 去求助
来源期刊
Pain Research & Management
Pain Research & Management CLINICAL NEUROLOGY-
CiteScore
5.30
自引率
0.00%
发文量
109
审稿时长
>12 weeks
期刊介绍: Pain Research and Management is a peer-reviewed, Open Access journal that publishes original research articles, review articles, and clinical studies in all areas of pain management. The most recent Impact Factor for Pain Research and Management is 1.685 according to the 2015 Journal Citation Reports released by Thomson Reuters in 2016.
×
引用
GB/T 7714-2015
复制
MLA
复制
APA
复制
导出至
BibTeX EndNote RefMan NoteFirst NoteExpress
×
提示
您的信息不完整,为了账户安全,请先补充。
现在去补充
×
提示
您因"违规操作"
具体请查看互助需知
我知道了
×
提示
确定
请完成安全验证×
copy
已复制链接
快去分享给好友吧!
我知道了
右上角分享
点击右上角分享
0
联系我们:info@booksci.cn Book学术提供免费学术资源搜索服务,方便国内外学者检索中英文文献。致力于提供最便捷和优质的服务体验。 Copyright © 2023 布克学术 All rights reserved.
京ICP备2023020795号-1
ghs 京公网安备 11010802042870号
Book学术文献互助
Book学术文献互助群
群 号:604180095
Book学术官方微信