拉丁美洲混血患者单纯增殖性狼疮肾炎的肾脏预后预测模型。

IF 3.5 2区 医学 Q1 RHEUMATOLOGY
Arturo Villalobos Navarro, Marc Xipell, Estefanía Garduño Hernández, Ricardo Valjalo, Francisco Contreras, Andrea Ruiz de Arechavaleta, Paula Segura, Daniel Miranda, Eduardo Ávila, María José Hidalgo, Juan Daniel Diaz Garcia, Fabiola Pazos Pérez, Diana Valderrama Ávila, María Inés Gil Arredondo, Elena Guillén, Ricard Cervera, Gerard Espinosa, Arturo Pereira, Miquel Blasco, Luis F Quintana
{"title":"拉丁美洲混血患者单纯增殖性狼疮肾炎的肾脏预后预测模型。","authors":"Arturo Villalobos Navarro, Marc Xipell, Estefanía Garduño Hernández, Ricardo Valjalo, Francisco Contreras, Andrea Ruiz de Arechavaleta, Paula Segura, Daniel Miranda, Eduardo Ávila, María José Hidalgo, Juan Daniel Diaz Garcia, Fabiola Pazos Pérez, Diana Valderrama Ávila, María Inés Gil Arredondo, Elena Guillén, Ricard Cervera, Gerard Espinosa, Arturo Pereira, Miquel Blasco, Luis F Quintana","doi":"10.1136/lupus-2025-001649","DOIUrl":null,"url":null,"abstract":"<p><strong>Objective: </strong>Lupus nephritis (LN) is associated with a poorer prognosis in Latin American populations. However, the contributing risk factors contributing to this remain to be fully elucidated. This study aimed to develop a prognostic model for poor renal outcomes in patients of mestizo descent.</p><p><strong>Methods: </strong>We conducted a multicentre, retrospective analysis including 290 adult mestizo patients with incident, biopsy-proven pure proliferative LN (International Society of Nephrology/Renal Pathology Society (ISN/RPS) class III or IV) from nine Chilean hospitals. Clinical, biological and histological variables were assessed. The primary outcome was a composite of stage IV/V chronic kidney disease, dialysis or death. Predictive variables were selected using multivariable Cox regression, and prognostic scores were derived accordingly. Internal validation was performed via bootstrapping. External validation included 93 Mexican patients, with model performance assessed using Harrel's concordance index.</p><p><strong>Results: </strong>Two baseline factors were independently associated with poor renal outcome: estimated glomerular filtration rate <30 mL/min/m<sup>2</sup> (HR 3.82, 95% CI 2.15 to 6.78; p<0.001) and histological chronicity index >2 (HR 2.01, 95% CI 1.18 to 3.43; p=0.01). Patients were stratified into three risk categories according to the presence of none (low risk), one (intermediate risk) or both (high risk) of these factors. The likelihood of the primary outcome increased progressively across these groups: high versus intermediate risk (HR 3.22, 95% CI 1.64 to 6.34; p=0.001), and intermediate versus low risk group (HR 2.41, 95% CI 1.35 to 4.30; p=0.003). The three-tier model was replicated in the validation cohort with a concordance index of 79% (95% CI 71% to 87%; p<0.001) between predicted and observed results.</p><p><strong>Conclusions: </strong>Based on two readily available features at the time of diagnosis, the proposed model effectively stratifies Latin American mestizo patients with pure proliferative LN (ISN/RPS class III or IV) into three risk categories for poor renal outcome. This tool may support improved risk-based management in this high-risk population.</p>","PeriodicalId":18126,"journal":{"name":"Lupus Science & Medicine","volume":"12 2","pages":""},"PeriodicalIF":3.5000,"publicationDate":"2025-10-06","publicationTypes":"Journal Article","fieldsOfStudy":null,"isOpenAccess":false,"openAccessPdf":"https://www.ncbi.nlm.nih.gov/pmc/articles/PMC12506453/pdf/","citationCount":"0","resultStr":"{\"title\":\"Prediction model for renal outcomes in Latin American Mestizo patients with pure proliferative lupus nephritis.\",\"authors\":\"Arturo Villalobos Navarro, Marc Xipell, Estefanía Garduño Hernández, Ricardo Valjalo, Francisco Contreras, Andrea Ruiz de Arechavaleta, Paula Segura, Daniel Miranda, Eduardo Ávila, María José Hidalgo, Juan Daniel Diaz Garcia, Fabiola Pazos Pérez, Diana Valderrama Ávila, María Inés Gil Arredondo, Elena Guillén, Ricard Cervera, Gerard Espinosa, Arturo Pereira, Miquel Blasco, Luis F Quintana\",\"doi\":\"10.1136/lupus-2025-001649\",\"DOIUrl\":null,\"url\":null,\"abstract\":\"<p><strong>Objective: </strong>Lupus nephritis (LN) is associated with a poorer prognosis in Latin American populations. However, the contributing risk factors contributing to this remain to be fully elucidated. This study aimed to develop a prognostic model for poor renal outcomes in patients of mestizo descent.</p><p><strong>Methods: </strong>We conducted a multicentre, retrospective analysis including 290 adult mestizo patients with incident, biopsy-proven pure proliferative LN (International Society of Nephrology/Renal Pathology Society (ISN/RPS) class III or IV) from nine Chilean hospitals. Clinical, biological and histological variables were assessed. The primary outcome was a composite of stage IV/V chronic kidney disease, dialysis or death. Predictive variables were selected using multivariable Cox regression, and prognostic scores were derived accordingly. Internal validation was performed via bootstrapping. External validation included 93 Mexican patients, with model performance assessed using Harrel's concordance index.</p><p><strong>Results: </strong>Two baseline factors were independently associated with poor renal outcome: estimated glomerular filtration rate <30 mL/min/m<sup>2</sup> (HR 3.82, 95% CI 2.15 to 6.78; p<0.001) and histological chronicity index >2 (HR 2.01, 95% CI 1.18 to 3.43; p=0.01). Patients were stratified into three risk categories according to the presence of none (low risk), one (intermediate risk) or both (high risk) of these factors. The likelihood of the primary outcome increased progressively across these groups: high versus intermediate risk (HR 3.22, 95% CI 1.64 to 6.34; p=0.001), and intermediate versus low risk group (HR 2.41, 95% CI 1.35 to 4.30; p=0.003). The three-tier model was replicated in the validation cohort with a concordance index of 79% (95% CI 71% to 87%; p<0.001) between predicted and observed results.</p><p><strong>Conclusions: </strong>Based on two readily available features at the time of diagnosis, the proposed model effectively stratifies Latin American mestizo patients with pure proliferative LN (ISN/RPS class III or IV) into three risk categories for poor renal outcome. This tool may support improved risk-based management in this high-risk population.</p>\",\"PeriodicalId\":18126,\"journal\":{\"name\":\"Lupus Science & Medicine\",\"volume\":\"12 2\",\"pages\":\"\"},\"PeriodicalIF\":3.5000,\"publicationDate\":\"2025-10-06\",\"publicationTypes\":\"Journal Article\",\"fieldsOfStudy\":null,\"isOpenAccess\":false,\"openAccessPdf\":\"https://www.ncbi.nlm.nih.gov/pmc/articles/PMC12506453/pdf/\",\"citationCount\":\"0\",\"resultStr\":null,\"platform\":\"Semanticscholar\",\"paperid\":null,\"PeriodicalName\":\"Lupus Science & Medicine\",\"FirstCategoryId\":\"3\",\"ListUrlMain\":\"https://doi.org/10.1136/lupus-2025-001649\",\"RegionNum\":2,\"RegionCategory\":\"医学\",\"ArticlePicture\":[],\"TitleCN\":null,\"AbstractTextCN\":null,\"PMCID\":null,\"EPubDate\":\"\",\"PubModel\":\"\",\"JCR\":\"Q1\",\"JCRName\":\"RHEUMATOLOGY\",\"Score\":null,\"Total\":0}","platform":"Semanticscholar","paperid":null,"PeriodicalName":"Lupus Science & Medicine","FirstCategoryId":"3","ListUrlMain":"https://doi.org/10.1136/lupus-2025-001649","RegionNum":2,"RegionCategory":"医学","ArticlePicture":[],"TitleCN":null,"AbstractTextCN":null,"PMCID":null,"EPubDate":"","PubModel":"","JCR":"Q1","JCRName":"RHEUMATOLOGY","Score":null,"Total":0}
引用次数: 0

摘要

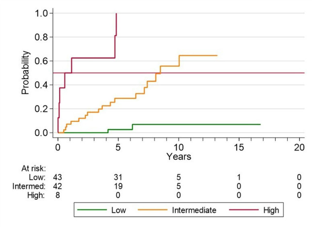
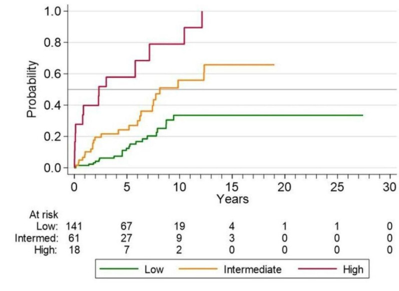
目的:狼疮性肾炎(LN)与拉丁美洲人群预后较差相关。然而,导致这种情况的风险因素仍有待充分阐明。这项研究的目的是建立一个预后模型,为患者的不良肾脏预后混血血统。方法:我们进行了一项多中心、回顾性分析,包括290名来自智利9家医院的偶然、活检证实的纯增生性LN(国际肾脏病学会/肾脏病理学会(ISN/RPS) III级或IV级)的成年混血患者。评估临床、生物学和组织学变量。主要转归是IV/V期慢性肾病、透析或死亡的综合转归。采用多变量Cox回归选择预测变量,并据此得出预后评分。内部验证通过引导执行。外部验证纳入93名墨西哥患者,使用Harrel’s一致性指数评估模型性能。结果:两个基线因素与肾脏预后不良独立相关:估计肾小球滤过率2 (HR 3.82, 95% CI 2.15至6.78;p2 (HR 2.01, 95% CI 1.18至3.43;p=0.01)。根据这些因素中无(低风险)、有(中风险)或均有(高风险)的存在,将患者分为三种风险类别。主要结局的可能性在这些组中逐渐增加:高风险组与中危组(HR 3.22, 95% CI 1.64至6.34;p=0.001),中危组与低危组(HR 2.41, 95% CI 1.35至4.30;p=0.003)。三层模型在验证队列中被复制,一致性指数为79% (95% CI 71%至87%)。结论:基于诊断时两个容易获得的特征,所提出的模型有效地将拉丁美洲混血患者纯增殖性LN (ISN/RPS III或IV级)分为肾功能不佳的三个风险类别。该工具可支持在这一高危人群中改进基于风险的管理。
本文章由计算机程序翻译,如有差异,请以英文原文为准。

Prediction model for renal outcomes in Latin American Mestizo patients with pure proliferative lupus nephritis.

Prediction model for renal outcomes in Latin American Mestizo patients with pure proliferative lupus nephritis.

Prediction model for renal outcomes in Latin American Mestizo patients with pure proliferative lupus nephritis.

Prediction model for renal outcomes in Latin American Mestizo patients with pure proliferative lupus nephritis.

Objective: Lupus nephritis (LN) is associated with a poorer prognosis in Latin American populations. However, the contributing risk factors contributing to this remain to be fully elucidated. This study aimed to develop a prognostic model for poor renal outcomes in patients of mestizo descent.

Methods: We conducted a multicentre, retrospective analysis including 290 adult mestizo patients with incident, biopsy-proven pure proliferative LN (International Society of Nephrology/Renal Pathology Society (ISN/RPS) class III or IV) from nine Chilean hospitals. Clinical, biological and histological variables were assessed. The primary outcome was a composite of stage IV/V chronic kidney disease, dialysis or death. Predictive variables were selected using multivariable Cox regression, and prognostic scores were derived accordingly. Internal validation was performed via bootstrapping. External validation included 93 Mexican patients, with model performance assessed using Harrel's concordance index.

Results: Two baseline factors were independently associated with poor renal outcome: estimated glomerular filtration rate <30 mL/min/m2 (HR 3.82, 95% CI 2.15 to 6.78; p<0.001) and histological chronicity index >2 (HR 2.01, 95% CI 1.18 to 3.43; p=0.01). Patients were stratified into three risk categories according to the presence of none (low risk), one (intermediate risk) or both (high risk) of these factors. The likelihood of the primary outcome increased progressively across these groups: high versus intermediate risk (HR 3.22, 95% CI 1.64 to 6.34; p=0.001), and intermediate versus low risk group (HR 2.41, 95% CI 1.35 to 4.30; p=0.003). The three-tier model was replicated in the validation cohort with a concordance index of 79% (95% CI 71% to 87%; p<0.001) between predicted and observed results.

Conclusions: Based on two readily available features at the time of diagnosis, the proposed model effectively stratifies Latin American mestizo patients with pure proliferative LN (ISN/RPS class III or IV) into three risk categories for poor renal outcome. This tool may support improved risk-based management in this high-risk population.

求助全文
通过发布文献求助,成功后即可免费获取论文全文。 去求助
来源期刊
Lupus Science & Medicine
Lupus Science & Medicine RHEUMATOLOGY-
CiteScore
5.30
自引率
7.70%
发文量
88
审稿时长
15 weeks
期刊介绍: Lupus Science & Medicine is a global, peer reviewed, open access online journal that provides a central point for publication of basic, clinical, translational, and epidemiological studies of all aspects of lupus and related diseases. It is the first lupus-specific open access journal in the world and was developed in response to the need for a barrier-free forum for publication of groundbreaking studies in lupus. The journal publishes research on lupus from fields including, but not limited to: rheumatology, dermatology, nephrology, immunology, pediatrics, cardiology, hepatology, pulmonology, obstetrics and gynecology, and psychiatry.
×
引用
GB/T 7714-2015
复制
MLA
复制
APA
复制
导出至
BibTeX EndNote RefMan NoteFirst NoteExpress
×
提示
您的信息不完整,为了账户安全,请先补充。
现在去补充
×
提示
您因"违规操作"
具体请查看互助需知
我知道了
×
提示
确定
请完成安全验证×
copy
已复制链接
快去分享给好友吧!
我知道了
右上角分享
点击右上角分享
0
联系我们:info@booksci.cn Book学术提供免费学术资源搜索服务,方便国内外学者检索中英文文献。致力于提供最便捷和优质的服务体验。 Copyright © 2023 布克学术 All rights reserved.
京ICP备2023020795号-1
ghs 京公网安备 11010802042870号
Book学术文献互助
Book学术文献互助群
群 号:604180095
Book学术官方微信