功能近红外光谱作为稳定型精神分裂症的诊断辅助手段。

IF 3.2 3区 医学 Q2 PSYCHIATRY
Frontiers in Psychiatry Pub Date : 2025-09-22 eCollection Date: 2025-01-01 DOI:10.3389/fpsyt.2025.1635854
Suzhen Zhang, Ting Li, Liangliang Chen, Tongkuai Cong, Xinping Kuai, Yonggang Mu
{"title":"功能近红外光谱作为稳定型精神分裂症的诊断辅助手段。","authors":"Suzhen Zhang, Ting Li, Liangliang Chen, Tongkuai Cong, Xinping Kuai, Yonggang Mu","doi":"10.3389/fpsyt.2025.1635854","DOIUrl":null,"url":null,"abstract":"<p><strong>Objective: </strong>Cognitive impairment in schizophrenia (SCZ) is common, but the mechanism remains unclear. This study aimed to investigate whether brain activation during the functional near-infrared spectroscopy (fNIRS) verbal fluency test (VFT) task is associated with cognitive deficits and to evaluate the reliability of fNIRS as a clinical tool for diagnosing stable SCZ.</p><p><strong>Methods: </strong>A total of 45 stable SCZ patients and 30 healthy controls (HC) were included. Demographic information, Positive and Negative Symptom Scale (PANSS), and MATRICS Consensus Cognitive Battery (MCCB) were assessed. During VFT, hemodynamic responses in the frontotemporal cortex were monitored with fNIRS.</p><p><strong>Results: </strong>During VFT, individuals with SCZ demonstrated a reduced number of valid words, lower β value in channel 8, 25-26, 35-36 and 47-48, and decreased integral value (IV) in both the prefrontal lobe and bilateral temporal lobes. IV of the temporal lobes and the β value of channel 48 demonstrated sensitivity for diagnosis of SCZ, with an area under the receiver operating characteristic curve of 0.781 (95% CI: 0.667-0.896), and 0.762 (95% CI: 0.655-0.869), respectively. Moreover, IV of the temporal lobes correlated positively with multi-domain of cognition, including speed of processing, attention/vigilance, social cognition and MCCB total scores. The β value of channel 48 correlated positively with speed of processing.</p><p><strong>Conclusion: </strong>Our findings suggest that fNIRS may serve as a valuable clinical measure of cognition assessment, and IV of bilateral temporal lobes and β value of channel 48 can be used as candidate biomarkers to differentiate individuals with schizophrenia.</p>","PeriodicalId":12605,"journal":{"name":"Frontiers in Psychiatry","volume":"16 ","pages":"1635854"},"PeriodicalIF":3.2000,"publicationDate":"2025-09-22","publicationTypes":"Journal Article","fieldsOfStudy":null,"isOpenAccess":false,"openAccessPdf":"https://www.ncbi.nlm.nih.gov/pmc/articles/PMC12497714/pdf/","citationCount":"0","resultStr":"{\"title\":\"Functional near-infrared spectroscopy as a diagnostic aid for stable schizophrenia.\",\"authors\":\"Suzhen Zhang, Ting Li, Liangliang Chen, Tongkuai Cong, Xinping Kuai, Yonggang Mu\",\"doi\":\"10.3389/fpsyt.2025.1635854\",\"DOIUrl\":null,\"url\":null,\"abstract\":\"<p><strong>Objective: </strong>Cognitive impairment in schizophrenia (SCZ) is common, but the mechanism remains unclear. This study aimed to investigate whether brain activation during the functional near-infrared spectroscopy (fNIRS) verbal fluency test (VFT) task is associated with cognitive deficits and to evaluate the reliability of fNIRS as a clinical tool for diagnosing stable SCZ.</p><p><strong>Methods: </strong>A total of 45 stable SCZ patients and 30 healthy controls (HC) were included. Demographic information, Positive and Negative Symptom Scale (PANSS), and MATRICS Consensus Cognitive Battery (MCCB) were assessed. During VFT, hemodynamic responses in the frontotemporal cortex were monitored with fNIRS.</p><p><strong>Results: </strong>During VFT, individuals with SCZ demonstrated a reduced number of valid words, lower β value in channel 8, 25-26, 35-36 and 47-48, and decreased integral value (IV) in both the prefrontal lobe and bilateral temporal lobes. IV of the temporal lobes and the β value of channel 48 demonstrated sensitivity for diagnosis of SCZ, with an area under the receiver operating characteristic curve of 0.781 (95% CI: 0.667-0.896), and 0.762 (95% CI: 0.655-0.869), respectively. Moreover, IV of the temporal lobes correlated positively with multi-domain of cognition, including speed of processing, attention/vigilance, social cognition and MCCB total scores. The β value of channel 48 correlated positively with speed of processing.</p><p><strong>Conclusion: </strong>Our findings suggest that fNIRS may serve as a valuable clinical measure of cognition assessment, and IV of bilateral temporal lobes and β value of channel 48 can be used as candidate biomarkers to differentiate individuals with schizophrenia.</p>\",\"PeriodicalId\":12605,\"journal\":{\"name\":\"Frontiers in Psychiatry\",\"volume\":\"16 \",\"pages\":\"1635854\"},\"PeriodicalIF\":3.2000,\"publicationDate\":\"2025-09-22\",\"publicationTypes\":\"Journal Article\",\"fieldsOfStudy\":null,\"isOpenAccess\":false,\"openAccessPdf\":\"https://www.ncbi.nlm.nih.gov/pmc/articles/PMC12497714/pdf/\",\"citationCount\":\"0\",\"resultStr\":null,\"platform\":\"Semanticscholar\",\"paperid\":null,\"PeriodicalName\":\"Frontiers in Psychiatry\",\"FirstCategoryId\":\"3\",\"ListUrlMain\":\"https://doi.org/10.3389/fpsyt.2025.1635854\",\"RegionNum\":3,\"RegionCategory\":\"医学\",\"ArticlePicture\":[],\"TitleCN\":null,\"AbstractTextCN\":null,\"PMCID\":null,\"EPubDate\":\"2025/1/1 0:00:00\",\"PubModel\":\"eCollection\",\"JCR\":\"Q2\",\"JCRName\":\"PSYCHIATRY\",\"Score\":null,\"Total\":0}","platform":"Semanticscholar","paperid":null,"PeriodicalName":"Frontiers in Psychiatry","FirstCategoryId":"3","ListUrlMain":"https://doi.org/10.3389/fpsyt.2025.1635854","RegionNum":3,"RegionCategory":"医学","ArticlePicture":[],"TitleCN":null,"AbstractTextCN":null,"PMCID":null,"EPubDate":"2025/1/1 0:00:00","PubModel":"eCollection","JCR":"Q2","JCRName":"PSYCHIATRY","Score":null,"Total":0}
引用次数: 0

摘要

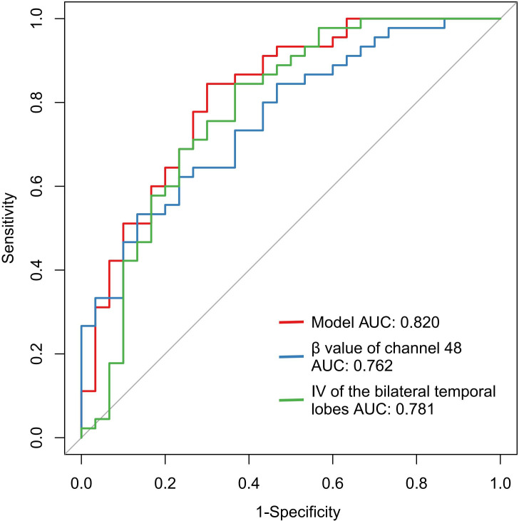
目的:精神分裂症患者认知功能障碍较为常见,但其机制尚不清楚。本研究旨在探讨功能性近红外光谱(fNIRS)语言流畅性测试(VFT)任务中的脑激活是否与认知缺陷有关,并评估fNIRS作为诊断稳定型SCZ的临床工具的可靠性。方法:选取稳定型SCZ患者45例,健康对照30例。评估人口统计信息、阳性和阴性症状量表(PANSS)和matrix共识认知电池(MCCB)。在VFT期间,用近红外光谱监测额颞叶皮层的血流动力学反应。结果:在VFT过程中,SCZ患者有效字数减少,8通道、25-26通道、35-36通道和47-48通道β值降低,前额叶和双侧颞叶积分值(IV)降低。颞叶的IV和通道48的β值对SCZ的诊断具有敏感性,受者工作特征曲线下的面积分别为0.781 (95% CI: 0.667-0.896)和0.762 (95% CI: 0.655-0.869)。此外,颞叶IV与加工速度、注意/警觉性、社会认知和MCCB总分等多认知领域呈正相关。通道48的β值与处理速度呈正相关。结论:fNIRS可作为一种有价值的临床认知评估指标,双侧颞叶IV值和48通道β值可作为区分精神分裂症个体的候选生物标志物。
本文章由计算机程序翻译,如有差异,请以英文原文为准。

Functional near-infrared spectroscopy as a diagnostic aid for stable schizophrenia.

Functional near-infrared spectroscopy as a diagnostic aid for stable schizophrenia.

Functional near-infrared spectroscopy as a diagnostic aid for stable schizophrenia.

Functional near-infrared spectroscopy as a diagnostic aid for stable schizophrenia.

Objective: Cognitive impairment in schizophrenia (SCZ) is common, but the mechanism remains unclear. This study aimed to investigate whether brain activation during the functional near-infrared spectroscopy (fNIRS) verbal fluency test (VFT) task is associated with cognitive deficits and to evaluate the reliability of fNIRS as a clinical tool for diagnosing stable SCZ.

Methods: A total of 45 stable SCZ patients and 30 healthy controls (HC) were included. Demographic information, Positive and Negative Symptom Scale (PANSS), and MATRICS Consensus Cognitive Battery (MCCB) were assessed. During VFT, hemodynamic responses in the frontotemporal cortex were monitored with fNIRS.

Results: During VFT, individuals with SCZ demonstrated a reduced number of valid words, lower β value in channel 8, 25-26, 35-36 and 47-48, and decreased integral value (IV) in both the prefrontal lobe and bilateral temporal lobes. IV of the temporal lobes and the β value of channel 48 demonstrated sensitivity for diagnosis of SCZ, with an area under the receiver operating characteristic curve of 0.781 (95% CI: 0.667-0.896), and 0.762 (95% CI: 0.655-0.869), respectively. Moreover, IV of the temporal lobes correlated positively with multi-domain of cognition, including speed of processing, attention/vigilance, social cognition and MCCB total scores. The β value of channel 48 correlated positively with speed of processing.

Conclusion: Our findings suggest that fNIRS may serve as a valuable clinical measure of cognition assessment, and IV of bilateral temporal lobes and β value of channel 48 can be used as candidate biomarkers to differentiate individuals with schizophrenia.

求助全文
通过发布文献求助,成功后即可免费获取论文全文。 去求助
来源期刊
Frontiers in Psychiatry
Frontiers in Psychiatry Medicine-Psychiatry and Mental Health
CiteScore
6.20
自引率
8.50%
发文量
2813
审稿时长
14 weeks
期刊介绍: Frontiers in Psychiatry publishes rigorously peer-reviewed research across a wide spectrum of translational, basic and clinical research. Field Chief Editor Stefan Borgwardt at the University of Basel is supported by an outstanding Editorial Board of international researchers. This multidisciplinary open-access journal is at the forefront of disseminating and communicating scientific knowledge and impactful discoveries to researchers, academics, clinicians and the public worldwide. The journal''s mission is to use translational approaches to improve therapeutic options for mental illness and consequently to improve patient treatment outcomes.
×
引用
GB/T 7714-2015
复制
MLA
复制
APA
复制
导出至
BibTeX EndNote RefMan NoteFirst NoteExpress
×
提示
您的信息不完整,为了账户安全,请先补充。
现在去补充
×
提示
您因"违规操作"
具体请查看互助需知
我知道了
×
提示
确定
请完成安全验证×
copy
已复制链接
快去分享给好友吧!
我知道了
右上角分享
点击右上角分享
0
联系我们:info@booksci.cn Book学术提供免费学术资源搜索服务,方便国内外学者检索中英文文献。致力于提供最便捷和优质的服务体验。 Copyright © 2023 布克学术 All rights reserved.
京ICP备2023020795号-1
ghs 京公网安备 11010802042870号
Book学术文献互助
Book学术文献互助群
群 号:604180095
Book学术官方微信