长期使用尼达尼布和吡非尼酮治疗特发性肺纤维化:一项比较,现实世界队列研究。

IF 2.8 3区 医学 Q2 RESPIRATORY SYSTEM
Francesca Lalla, Angelo Latella, Francesco Varone, Bruno Iovene, Luca Richeldi, Giacomo Sgalla
{"title":"长期使用尼达尼布和吡非尼酮治疗特发性肺纤维化:一项比较,现实世界队列研究。","authors":"Francesca Lalla, Angelo Latella, Francesco Varone, Bruno Iovene, Luca Richeldi, Giacomo Sgalla","doi":"10.1186/s12890-025-03916-2","DOIUrl":null,"url":null,"abstract":"<p><strong>Rationale: </strong>Limited data exists on the long-term comparative efficacy and tolerability of pirfenidone and nintedanib, the two approved treatments for idiopathic pulmonary fibrosis (IPF).</p><p><strong>Methods: </strong>We retrospectively enrolled IPF patients treated with either pirfenidone or nintedanib at our centre between 2017 and 2023. Progression-free survival (PFS), defined as time to death or ≥ 10% decline in % predicted forced vital capacity (FVC) and continuous FVC decline were compared between groups defined by antifibrotic type or treatment intensity (full or reduced). Time to drug dose reduction was also compared. Statistical analysis included Kaplan-Meier curves with Log-Rank tests, Cox proportional hazards models and linear mixed-effects models.</p><p><strong>Results: </strong>A total of 292 IPF patients treated with pirfenidone (n = 142) or nintedanib (n = 150) were included with a mean follow-up time of 32.3 months (SD = 14.5). No significant differences in efficacy were observed between groups by antifibrotic type. Dose reduction was more frequent in the nintedanib group (59.3%) than pirfenidone group (16.9%, p < 0.001). Multivariate analysis showed that patients on nintedanib had a 4-fold higher risk of dose reduction compared to those on pirfenidone (p < 0.001). There were no significant differences in clinical outcomes between patients with dose reduction and those maintaining the full dose, both in the overall population and when stratified by antifibrotic type.</p><p><strong>Conclusion: </strong>Nintedanib and pirfenidone exhibited similar long-term efficacy. Dose adjustment was more frequent with nintedanib, however it did not have impact on clinical outcomes.</p>","PeriodicalId":9148,"journal":{"name":"BMC Pulmonary Medicine","volume":"25 1","pages":"455"},"PeriodicalIF":2.8000,"publicationDate":"2025-10-07","publicationTypes":"Journal Article","fieldsOfStudy":null,"isOpenAccess":false,"openAccessPdf":"https://www.ncbi.nlm.nih.gov/pmc/articles/PMC12506389/pdf/","citationCount":"0","resultStr":"{\"title\":\"Long-term treatment with nintedanib and pirfenidone in idiopathic pulmonary fibrosis: a comparative, real-world cohort study.\",\"authors\":\"Francesca Lalla, Angelo Latella, Francesco Varone, Bruno Iovene, Luca Richeldi, Giacomo Sgalla\",\"doi\":\"10.1186/s12890-025-03916-2\",\"DOIUrl\":null,\"url\":null,\"abstract\":\"<p><strong>Rationale: </strong>Limited data exists on the long-term comparative efficacy and tolerability of pirfenidone and nintedanib, the two approved treatments for idiopathic pulmonary fibrosis (IPF).</p><p><strong>Methods: </strong>We retrospectively enrolled IPF patients treated with either pirfenidone or nintedanib at our centre between 2017 and 2023. Progression-free survival (PFS), defined as time to death or ≥ 10% decline in % predicted forced vital capacity (FVC) and continuous FVC decline were compared between groups defined by antifibrotic type or treatment intensity (full or reduced). Time to drug dose reduction was also compared. Statistical analysis included Kaplan-Meier curves with Log-Rank tests, Cox proportional hazards models and linear mixed-effects models.</p><p><strong>Results: </strong>A total of 292 IPF patients treated with pirfenidone (n = 142) or nintedanib (n = 150) were included with a mean follow-up time of 32.3 months (SD = 14.5). No significant differences in efficacy were observed between groups by antifibrotic type. Dose reduction was more frequent in the nintedanib group (59.3%) than pirfenidone group (16.9%, p < 0.001). Multivariate analysis showed that patients on nintedanib had a 4-fold higher risk of dose reduction compared to those on pirfenidone (p < 0.001). There were no significant differences in clinical outcomes between patients with dose reduction and those maintaining the full dose, both in the overall population and when stratified by antifibrotic type.</p><p><strong>Conclusion: </strong>Nintedanib and pirfenidone exhibited similar long-term efficacy. Dose adjustment was more frequent with nintedanib, however it did not have impact on clinical outcomes.</p>\",\"PeriodicalId\":9148,\"journal\":{\"name\":\"BMC Pulmonary Medicine\",\"volume\":\"25 1\",\"pages\":\"455\"},\"PeriodicalIF\":2.8000,\"publicationDate\":\"2025-10-07\",\"publicationTypes\":\"Journal Article\",\"fieldsOfStudy\":null,\"isOpenAccess\":false,\"openAccessPdf\":\"https://www.ncbi.nlm.nih.gov/pmc/articles/PMC12506389/pdf/\",\"citationCount\":\"0\",\"resultStr\":null,\"platform\":\"Semanticscholar\",\"paperid\":null,\"PeriodicalName\":\"BMC Pulmonary Medicine\",\"FirstCategoryId\":\"3\",\"ListUrlMain\":\"https://doi.org/10.1186/s12890-025-03916-2\",\"RegionNum\":3,\"RegionCategory\":\"医学\",\"ArticlePicture\":[],\"TitleCN\":null,\"AbstractTextCN\":null,\"PMCID\":null,\"EPubDate\":\"\",\"PubModel\":\"\",\"JCR\":\"Q2\",\"JCRName\":\"RESPIRATORY SYSTEM\",\"Score\":null,\"Total\":0}","platform":"Semanticscholar","paperid":null,"PeriodicalName":"BMC Pulmonary Medicine","FirstCategoryId":"3","ListUrlMain":"https://doi.org/10.1186/s12890-025-03916-2","RegionNum":3,"RegionCategory":"医学","ArticlePicture":[],"TitleCN":null,"AbstractTextCN":null,"PMCID":null,"EPubDate":"","PubModel":"","JCR":"Q2","JCRName":"RESPIRATORY SYSTEM","Score":null,"Total":0}
引用次数: 0

摘要

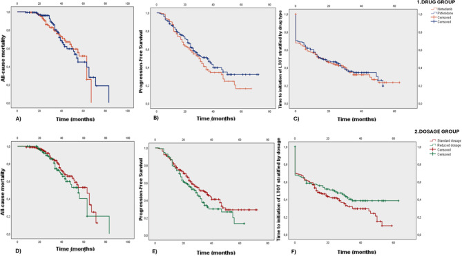
理由:关于吡非尼酮和尼达尼布这两种已获批治疗特发性肺纤维化(IPF)的药物的长期比较疗效和耐受性的数据有限。方法:我们回顾性地纳入了2017年至2023年间在我们中心接受吡非尼酮或尼达尼布治疗的IPF患者。无进展生存期(PFS),定义为死亡时间或预测用力肺活量(FVC) %下降≥10%和FVC持续下降,以抗纤维化类型或治疗强度(完全或减少)定义组之间的比较。同时比较两组药物减剂量所需时间。统计分析包括Kaplan-Meier曲线和Log-Rank检验、Cox比例风险模型和线性混合效应模型。结果:共有292例IPF患者接受吡非尼酮(n = 142)或尼达尼布(n = 150)治疗,平均随访时间32.3个月(SD = 14.5)。不同抗纤维化类型组间疗效无显著差异。尼达尼布组的剂量减少频率(59.3%)高于吡非尼酮组(16.9%),p结论:尼达尼布与吡非尼酮的长期疗效相似。尼达尼布的剂量调整更频繁,但对临床结果没有影响。
本文章由计算机程序翻译,如有差异,请以英文原文为准。

Long-term treatment with nintedanib and pirfenidone in idiopathic pulmonary fibrosis: a comparative, real-world cohort study.

Long-term treatment with nintedanib and pirfenidone in idiopathic pulmonary fibrosis: a comparative, real-world cohort study.

Long-term treatment with nintedanib and pirfenidone in idiopathic pulmonary fibrosis: a comparative, real-world cohort study.

Long-term treatment with nintedanib and pirfenidone in idiopathic pulmonary fibrosis: a comparative, real-world cohort study.

Rationale: Limited data exists on the long-term comparative efficacy and tolerability of pirfenidone and nintedanib, the two approved treatments for idiopathic pulmonary fibrosis (IPF).

Methods: We retrospectively enrolled IPF patients treated with either pirfenidone or nintedanib at our centre between 2017 and 2023. Progression-free survival (PFS), defined as time to death or ≥ 10% decline in % predicted forced vital capacity (FVC) and continuous FVC decline were compared between groups defined by antifibrotic type or treatment intensity (full or reduced). Time to drug dose reduction was also compared. Statistical analysis included Kaplan-Meier curves with Log-Rank tests, Cox proportional hazards models and linear mixed-effects models.

Results: A total of 292 IPF patients treated with pirfenidone (n = 142) or nintedanib (n = 150) were included with a mean follow-up time of 32.3 months (SD = 14.5). No significant differences in efficacy were observed between groups by antifibrotic type. Dose reduction was more frequent in the nintedanib group (59.3%) than pirfenidone group (16.9%, p < 0.001). Multivariate analysis showed that patients on nintedanib had a 4-fold higher risk of dose reduction compared to those on pirfenidone (p < 0.001). There were no significant differences in clinical outcomes between patients with dose reduction and those maintaining the full dose, both in the overall population and when stratified by antifibrotic type.

Conclusion: Nintedanib and pirfenidone exhibited similar long-term efficacy. Dose adjustment was more frequent with nintedanib, however it did not have impact on clinical outcomes.

求助全文
通过发布文献求助,成功后即可免费获取论文全文。 去求助
来源期刊
BMC Pulmonary Medicine
BMC Pulmonary Medicine RESPIRATORY SYSTEM-
CiteScore
4.40
自引率
3.20%
发文量
423
审稿时长
6-12 weeks
期刊介绍: BMC Pulmonary Medicine is an open access, peer-reviewed journal that considers articles on all aspects of the prevention, diagnosis and management of pulmonary and associated disorders, as well as related molecular genetics, pathophysiology, and epidemiology.
×
引用
GB/T 7714-2015
复制
MLA
复制
APA
复制
导出至
BibTeX EndNote RefMan NoteFirst NoteExpress
×
提示
您的信息不完整,为了账户安全,请先补充。
现在去补充
×
提示
您因"违规操作"
具体请查看互助需知
我知道了
×
提示
确定
请完成安全验证×
copy
已复制链接
快去分享给好友吧!
我知道了
右上角分享
点击右上角分享
0
联系我们:info@booksci.cn Book学术提供免费学术资源搜索服务,方便国内外学者检索中英文文献。致力于提供最便捷和优质的服务体验。 Copyright © 2023 布克学术 All rights reserved.
京ICP备2023020795号-1
ghs 京公网安备 11010802042870号
Book学术文献互助
Book学术文献互助群
群 号:604180095
Book学术官方微信