全球沿纬度和气候梯度的大尺度苔藓群落多样化率。

IF 6.3 1区 生物学 Q1 PLANT SCIENCES
Plant Diversity Pub Date : 2025-07-18 eCollection Date: 2025-09-01 DOI:10.1016/j.pld.2025.07.002
Hong Qian
{"title":"全球沿纬度和气候梯度的大尺度苔藓群落多样化率。","authors":"Hong Qian","doi":"10.1016/j.pld.2025.07.002","DOIUrl":null,"url":null,"abstract":"<p><p>Species richness in any area results from the interplay of the processes of speciation, extinction, and dispersal. The relationships between species richness and climate should be considered as an outcome of the effects of climate on speciation, extinction, and dispersal. Diversification rate represents the balance of speciation and extinction rates over time. Here, I explore diversification rates in mosses across geographic and climatic gradients worldwide. Specifically, I investigate latitudinal patterns and climatic associations of the mean diversification rate of mosses at global, hemispheric, and smaller scales. I find that the mean diversification rate of mosses is positively correlated with species richness of mosses, increases with decreasing latitude and increasing mean annual temperature and annual precipitation, and is more strongly associated with mean annual temperature than with annual precipitation. These findings shed light on variation of species richness in mosses across the world. The negative relationship between species richness and latitude and the positive relationship between species richness and mean diversification rate in mosses suggest that higher moss species richness at lower latitudes might have resulted, at least to some degree, from higher moss diversification rates at lower latitudes.</p>","PeriodicalId":20224,"journal":{"name":"Plant Diversity","volume":"47 5","pages":"833-838"},"PeriodicalIF":6.3000,"publicationDate":"2025-07-18","publicationTypes":"Journal Article","fieldsOfStudy":null,"isOpenAccess":false,"openAccessPdf":"https://www.ncbi.nlm.nih.gov/pmc/articles/PMC12496529/pdf/","citationCount":"0","resultStr":"{\"title\":\"Diversification rates in large-scale moss assemblages along latitudinal and climatic gradients across the world.\",\"authors\":\"Hong Qian\",\"doi\":\"10.1016/j.pld.2025.07.002\",\"DOIUrl\":null,\"url\":null,\"abstract\":\"<p><p>Species richness in any area results from the interplay of the processes of speciation, extinction, and dispersal. The relationships between species richness and climate should be considered as an outcome of the effects of climate on speciation, extinction, and dispersal. Diversification rate represents the balance of speciation and extinction rates over time. Here, I explore diversification rates in mosses across geographic and climatic gradients worldwide. Specifically, I investigate latitudinal patterns and climatic associations of the mean diversification rate of mosses at global, hemispheric, and smaller scales. I find that the mean diversification rate of mosses is positively correlated with species richness of mosses, increases with decreasing latitude and increasing mean annual temperature and annual precipitation, and is more strongly associated with mean annual temperature than with annual precipitation. These findings shed light on variation of species richness in mosses across the world. The negative relationship between species richness and latitude and the positive relationship between species richness and mean diversification rate in mosses suggest that higher moss species richness at lower latitudes might have resulted, at least to some degree, from higher moss diversification rates at lower latitudes.</p>\",\"PeriodicalId\":20224,\"journal\":{\"name\":\"Plant Diversity\",\"volume\":\"47 5\",\"pages\":\"833-838\"},\"PeriodicalIF\":6.3000,\"publicationDate\":\"2025-07-18\",\"publicationTypes\":\"Journal Article\",\"fieldsOfStudy\":null,\"isOpenAccess\":false,\"openAccessPdf\":\"https://www.ncbi.nlm.nih.gov/pmc/articles/PMC12496529/pdf/\",\"citationCount\":\"0\",\"resultStr\":null,\"platform\":\"Semanticscholar\",\"paperid\":null,\"PeriodicalName\":\"Plant Diversity\",\"FirstCategoryId\":\"99\",\"ListUrlMain\":\"https://doi.org/10.1016/j.pld.2025.07.002\",\"RegionNum\":1,\"RegionCategory\":\"生物学\",\"ArticlePicture\":[],\"TitleCN\":null,\"AbstractTextCN\":null,\"PMCID\":null,\"EPubDate\":\"2025/9/1 0:00:00\",\"PubModel\":\"eCollection\",\"JCR\":\"Q1\",\"JCRName\":\"PLANT SCIENCES\",\"Score\":null,\"Total\":0}","platform":"Semanticscholar","paperid":null,"PeriodicalName":"Plant Diversity","FirstCategoryId":"99","ListUrlMain":"https://doi.org/10.1016/j.pld.2025.07.002","RegionNum":1,"RegionCategory":"生物学","ArticlePicture":[],"TitleCN":null,"AbstractTextCN":null,"PMCID":null,"EPubDate":"2025/9/1 0:00:00","PubModel":"eCollection","JCR":"Q1","JCRName":"PLANT SCIENCES","Score":null,"Total":0}
引用次数: 0

摘要

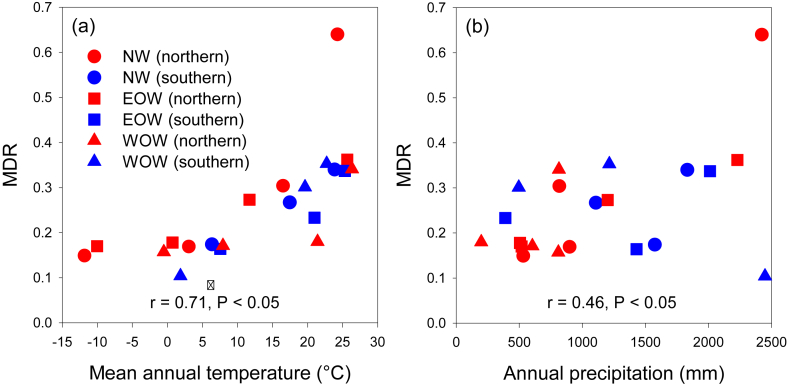
任何地区的物种丰富度都是物种形成、灭绝和扩散过程相互作用的结果。物种丰富度与气候之间的关系应被视为气候对物种形成、灭绝和扩散影响的结果。多样化率代表了一段时间内物种形成和灭绝率的平衡。在这里,我探索了全球不同地理和气候梯度下苔藓的多样化率。具体地说,我在全球、半球和更小的尺度上研究了苔藓的平均多样化率的纬度模式和气候关联。研究发现,平均多样化率与苔藓物种丰富度呈正相关,随纬度的降低、年平均温度和年降水量的增加而增加,与年平均温度的相关性强于与年降水量的相关性。这些发现揭示了世界各地苔藓物种丰富度的变化。物种丰富度与纬度呈负相关关系,物种丰富度与平均多样化率呈正相关关系,表明低纬度地区较高的苔藓物种丰富度可能至少在一定程度上是低纬度地区较高的苔藓多样化率的结果。
本文章由计算机程序翻译,如有差异,请以英文原文为准。

Diversification rates in large-scale moss assemblages along latitudinal and climatic gradients across the world.

Diversification rates in large-scale moss assemblages along latitudinal and climatic gradients across the world.

Diversification rates in large-scale moss assemblages along latitudinal and climatic gradients across the world.

Diversification rates in large-scale moss assemblages along latitudinal and climatic gradients across the world.

Species richness in any area results from the interplay of the processes of speciation, extinction, and dispersal. The relationships between species richness and climate should be considered as an outcome of the effects of climate on speciation, extinction, and dispersal. Diversification rate represents the balance of speciation and extinction rates over time. Here, I explore diversification rates in mosses across geographic and climatic gradients worldwide. Specifically, I investigate latitudinal patterns and climatic associations of the mean diversification rate of mosses at global, hemispheric, and smaller scales. I find that the mean diversification rate of mosses is positively correlated with species richness of mosses, increases with decreasing latitude and increasing mean annual temperature and annual precipitation, and is more strongly associated with mean annual temperature than with annual precipitation. These findings shed light on variation of species richness in mosses across the world. The negative relationship between species richness and latitude and the positive relationship between species richness and mean diversification rate in mosses suggest that higher moss species richness at lower latitudes might have resulted, at least to some degree, from higher moss diversification rates at lower latitudes.

求助全文
通过发布文献求助,成功后即可免费获取论文全文。 去求助
来源期刊
Plant Diversity
Plant Diversity Agricultural and Biological Sciences-Ecology, Evolution, Behavior and Systematics
CiteScore
8.30
自引率
6.20%
发文量
1863
审稿时长
35 days
期刊介绍: Plant Diversity (formerly Plant Diversity and Resources) is an international plant science journal that publishes substantial original research and review papers that advance our understanding of the past and current distribution of plants, contribute to the development of more phylogenetically accurate taxonomic classifications, present new findings on or insights into evolutionary processes and mechanisms that are of interest to the community of plant systematic and evolutionary biologists. While the focus of the journal is on biodiversity, ecology and evolution of East Asian flora, it is not limited to these topics. Applied evolutionary issues, such as climate change and conservation biology, are welcome, especially if they address conceptual problems. Theoretical papers are equally welcome. Preference is given to concise, clearly written papers focusing on precisely framed questions or hypotheses. Papers that are purely descriptive have a low chance of acceptance. Fields covered by the journal include: plant systematics and taxonomy- evolutionary developmental biology- reproductive biology- phylo- and biogeography- evolutionary ecology- population biology- conservation biology- palaeobotany- molecular evolution- comparative and evolutionary genomics- physiology- biochemistry
×
引用
GB/T 7714-2015
复制
MLA
复制
APA
复制
导出至
BibTeX EndNote RefMan NoteFirst NoteExpress
×
提示
您的信息不完整,为了账户安全,请先补充。
现在去补充
×
提示
您因"违规操作"
具体请查看互助需知
我知道了
×
提示
确定
请完成安全验证×
copy
已复制链接
快去分享给好友吧!
我知道了
右上角分享
点击右上角分享
0
联系我们:info@booksci.cn Book学术提供免费学术资源搜索服务,方便国内外学者检索中英文文献。致力于提供最便捷和优质的服务体验。 Copyright © 2023 布克学术 All rights reserved.
京ICP备2023020795号-1
ghs 京公网安备 11010802042870号
Book学术文献互助
Book学术文献互助群
群 号:604180095
Book学术官方微信