展望:C3植物叶片光合CO2同化的生化模型(植物学报149,78-90)。

IF 3.8 3区 生物学 Q1 PLANT SCIENCES
Planta Pub Date : 2025-10-06 DOI:10.1007/s00425-025-04834-7
Susanne von Caemmerer, Joseph A Berry, Graham D Farquhar
{"title":"展望:C3植物叶片光合CO2同化的生化模型(植物学报149,78-90)。","authors":"Susanne von Caemmerer, Joseph A Berry, Graham D Farquhar","doi":"10.1007/s00425-025-04834-7","DOIUrl":null,"url":null,"abstract":"<p><p>The model of C<sub>3</sub> photosynthesis of Farquhar et al. (1980) integrated knowledge of the functioning of the biochemical components of photosynthetic carbon assimilation in C<sub>3</sub> plants. The model linked equations describing activated Rubisco kinetics with those on the stoichiometry of the photosynthetic carbon reduction cycle and the photorespiratory carbon oxidation cycle, particularly on their energetic (electron transport, ATP synthesis and NADPH) requirements. It included temperature dependencies of these processes and combined them with a semi-empirical equation for the dependence of potential electron transport rate on absorbed irradiance. The model aimed to match generalized observations of photosynthetic gas exchange of leaves with predictions from this mathematical summary of photosynthesis. In this model, we introduced the hypothesis that the rate of Rubisco carboxylation could not exceed the capacity for RuP<sub>2</sub> regeneration or the enzymatic capacity to consume RuP<sub>2</sub>, and that the system behaved as a teeter-totter (see-saw) with a sharp transition from one limiting state to the other. We suggested that to model genotypic and phenotypic variations amongst leaves most parameters could be assigned a priori and only the maximum Rubisco activity (V<sub>cmax</sub>) and the maximal electron transport rate, J<sub>max</sub>, needed to be varied. This simplicity of use led to the wider spread application and success of the model.</p>","PeriodicalId":20177,"journal":{"name":"Planta","volume":"262 5","pages":"115"},"PeriodicalIF":3.8000,"publicationDate":"2025-10-06","publicationTypes":"Journal Article","fieldsOfStudy":null,"isOpenAccess":false,"openAccessPdf":"https://www.ncbi.nlm.nih.gov/pmc/articles/PMC12500802/pdf/","citationCount":"0","resultStr":"{\"title\":\"A perspective: A biochemical model of photosynthetic CO<sub>2</sub> assimilation in leaves of C<sub>3</sub> species (Planta 149, 78-90).\",\"authors\":\"Susanne von Caemmerer, Joseph A Berry, Graham D Farquhar\",\"doi\":\"10.1007/s00425-025-04834-7\",\"DOIUrl\":null,\"url\":null,\"abstract\":\"<p><p>The model of C<sub>3</sub> photosynthesis of Farquhar et al. (1980) integrated knowledge of the functioning of the biochemical components of photosynthetic carbon assimilation in C<sub>3</sub> plants. The model linked equations describing activated Rubisco kinetics with those on the stoichiometry of the photosynthetic carbon reduction cycle and the photorespiratory carbon oxidation cycle, particularly on their energetic (electron transport, ATP synthesis and NADPH) requirements. It included temperature dependencies of these processes and combined them with a semi-empirical equation for the dependence of potential electron transport rate on absorbed irradiance. The model aimed to match generalized observations of photosynthetic gas exchange of leaves with predictions from this mathematical summary of photosynthesis. In this model, we introduced the hypothesis that the rate of Rubisco carboxylation could not exceed the capacity for RuP<sub>2</sub> regeneration or the enzymatic capacity to consume RuP<sub>2</sub>, and that the system behaved as a teeter-totter (see-saw) with a sharp transition from one limiting state to the other. We suggested that to model genotypic and phenotypic variations amongst leaves most parameters could be assigned a priori and only the maximum Rubisco activity (V<sub>cmax</sub>) and the maximal electron transport rate, J<sub>max</sub>, needed to be varied. This simplicity of use led to the wider spread application and success of the model.</p>\",\"PeriodicalId\":20177,\"journal\":{\"name\":\"Planta\",\"volume\":\"262 5\",\"pages\":\"115\"},\"PeriodicalIF\":3.8000,\"publicationDate\":\"2025-10-06\",\"publicationTypes\":\"Journal Article\",\"fieldsOfStudy\":null,\"isOpenAccess\":false,\"openAccessPdf\":\"https://www.ncbi.nlm.nih.gov/pmc/articles/PMC12500802/pdf/\",\"citationCount\":\"0\",\"resultStr\":null,\"platform\":\"Semanticscholar\",\"paperid\":null,\"PeriodicalName\":\"Planta\",\"FirstCategoryId\":\"99\",\"ListUrlMain\":\"https://doi.org/10.1007/s00425-025-04834-7\",\"RegionNum\":3,\"RegionCategory\":\"生物学\",\"ArticlePicture\":[],\"TitleCN\":null,\"AbstractTextCN\":null,\"PMCID\":null,\"EPubDate\":\"\",\"PubModel\":\"\",\"JCR\":\"Q1\",\"JCRName\":\"PLANT SCIENCES\",\"Score\":null,\"Total\":0}","platform":"Semanticscholar","paperid":null,"PeriodicalName":"Planta","FirstCategoryId":"99","ListUrlMain":"https://doi.org/10.1007/s00425-025-04834-7","RegionNum":3,"RegionCategory":"生物学","ArticlePicture":[],"TitleCN":null,"AbstractTextCN":null,"PMCID":null,"EPubDate":"","PubModel":"","JCR":"Q1","JCRName":"PLANT SCIENCES","Score":null,"Total":0}
引用次数: 0

摘要

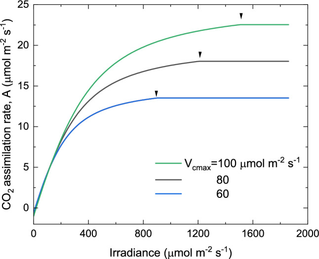
Farquhar等人(1980)的C3光合作用模型整合了C3植物光合碳同化生化成分功能的知识。该模型将描述活化Rubisco动力学的方程与光合碳还原循环和光呼吸碳氧化循环的化学计量学方程联系起来,特别是它们的能量(电子传递、ATP合成和NADPH)需求。它包括了这些过程的温度依赖关系,并将它们与潜在电子传递速率与吸收辐照度依赖关系的半经验方程结合起来。该模型旨在将叶片光合作用气体交换的一般观测结果与光合作用数学总结的预测相匹配。在该模型中,我们引入了Rubisco羧化速率不能超过RuP2再生能力或酶消耗RuP2的能力的假设,并且该系统表现为跷跷板(跷跷板),从一种极限状态急剧过渡到另一种极限状态。我们认为,为了模拟叶片之间的基因型和表型差异,大多数参数可以先验地指定,只需要改变最大Rubisco活性(Vcmax)和最大电子传递速率(Jmax)。这种使用的简单性使得该模型得到了更广泛的应用和成功。
本文章由计算机程序翻译,如有差异,请以英文原文为准。

A perspective: A biochemical model of photosynthetic CO<sub>2</sub> assimilation in leaves of C<sub>3</sub> species (Planta 149, 78-90).

A perspective: A biochemical model of photosynthetic CO<sub>2</sub> assimilation in leaves of C<sub>3</sub> species (Planta 149, 78-90).

A perspective: A biochemical model of photosynthetic CO<sub>2</sub> assimilation in leaves of C<sub>3</sub> species (Planta 149, 78-90).

A perspective: A biochemical model of photosynthetic CO2 assimilation in leaves of C3 species (Planta 149, 78-90).

The model of C3 photosynthesis of Farquhar et al. (1980) integrated knowledge of the functioning of the biochemical components of photosynthetic carbon assimilation in C3 plants. The model linked equations describing activated Rubisco kinetics with those on the stoichiometry of the photosynthetic carbon reduction cycle and the photorespiratory carbon oxidation cycle, particularly on their energetic (electron transport, ATP synthesis and NADPH) requirements. It included temperature dependencies of these processes and combined them with a semi-empirical equation for the dependence of potential electron transport rate on absorbed irradiance. The model aimed to match generalized observations of photosynthetic gas exchange of leaves with predictions from this mathematical summary of photosynthesis. In this model, we introduced the hypothesis that the rate of Rubisco carboxylation could not exceed the capacity for RuP2 regeneration or the enzymatic capacity to consume RuP2, and that the system behaved as a teeter-totter (see-saw) with a sharp transition from one limiting state to the other. We suggested that to model genotypic and phenotypic variations amongst leaves most parameters could be assigned a priori and only the maximum Rubisco activity (Vcmax) and the maximal electron transport rate, Jmax, needed to be varied. This simplicity of use led to the wider spread application and success of the model.

求助全文
通过发布文献求助,成功后即可免费获取论文全文。 去求助
来源期刊
Planta
Planta 生物-植物科学
CiteScore
7.20
自引率
2.30%
发文量
217
审稿时长
2.3 months
期刊介绍: Planta publishes timely and substantial articles on all aspects of plant biology. We welcome original research papers on any plant species. Areas of interest include biochemistry, bioenergy, biotechnology, cell biology, development, ecological and environmental physiology, growth, metabolism, morphogenesis, molecular biology, new methods, physiology, plant-microbe interactions, structural biology, and systems biology.
×
引用
GB/T 7714-2015
复制
MLA
复制
APA
复制
导出至
BibTeX EndNote RefMan NoteFirst NoteExpress
×
提示
您的信息不完整,为了账户安全,请先补充。
现在去补充
×
提示
您因"违规操作"
具体请查看互助需知
我知道了
×
提示
确定
请完成安全验证×
copy
已复制链接
快去分享给好友吧!
我知道了
右上角分享
点击右上角分享
0
联系我们:info@booksci.cn Book学术提供免费学术资源搜索服务,方便国内外学者检索中英文文献。致力于提供最便捷和优质的服务体验。 Copyright © 2023 布克学术 All rights reserved.
京ICP备2023020795号-1
ghs 京公网安备 11010802042870号
Book学术文献互助
Book学术文献互助群
群 号:604180095
Book学术官方微信