估计脉搏波速度与妇科癌症风险和死亡率之间的关系:NHANES 2003至2016年的见解。

IF 1.4 4区 医学 Q2 MEDICINE, GENERAL & INTERNAL
Chunlin Liu, Li Hua, Xilin Wu, Shaojun Chen
{"title":"估计脉搏波速度与妇科癌症风险和死亡率之间的关系:NHANES 2003至2016年的见解。","authors":"Chunlin Liu, Li Hua, Xilin Wu, Shaojun Chen","doi":"10.1097/MD.0000000000044973","DOIUrl":null,"url":null,"abstract":"<p><p>Arterial stiffness is measured by pulse wave velocity (PWV), which has a well-established correlation with a number of health consequences. Nevertheless, it is still unknown how estimated pulse wave velocity (ePWV) and the risk and mortality of gynecological cancer (GC) are related. This study examined the association between ePWV and GC risk and mortality using data from the National Health and Nutrition Examination Survey (NHANES) conducted between 2003 and 2016. We initially performed a cross-sectional study in which we separated participants into 3 groups based on their ePWV tertiles in order to assess the relationship between ePWV and GC risk. A survival analysis was conducted to examine the relationship between ePWV and mortality risk in patients with GC. Multivariable logistic regression, Cox proportional hazards models and restricted cubic splines (RCS) were performed for analysis. A total of 19,590 participants were included in the study, with 464 diagnosed with GC (238 cervical cancer, 88 ovarian cancer, and 157 uterine cancer). Compared to the lowest ePWV group, the highest ePWV group had a 70% increased risk of GC (odds ratio (OR): 1.70, 95% confidence interval (CI): 1.10-2.62). RCS analysis revealed a nonlinear positive association between ePWV and GC risk (P for nonlinear = .044). The predictive value of ePWV for GC risk was 59.1% (area under the curve (AUC): 0.591, 95% CI: 0.567-0.616). Among GC patients, the highest ePWV group had a 6.45-fold increased risk of death compared to the lowest ePWV group (hazard ratio (HR): 6.45, 95% CI: 1.32-31.53). RCS analysis further showed a linear positive association between ePWV and mortality in GC patients (P for nonlinear = .131). The predictive value of ePWV for mortality risk in GC patients was 80.6% (AUC: 0.806, 95% CI: 0.756-0.855). Higher levels of ePWV are associated with an increased risk of GC and higher mortality in GC patients, although ePWV exhibits relatively poor discriminatory ability for GC risk. ePWV may serve as a useful predictor of both cancer risk and prognosis, highlighting its potential as a clinical marker for identifying at-risk individuals and improving patient management.</p>","PeriodicalId":18549,"journal":{"name":"Medicine","volume":"104 40","pages":"e44973"},"PeriodicalIF":1.4000,"publicationDate":"2025-10-03","publicationTypes":"Journal Article","fieldsOfStudy":null,"isOpenAccess":false,"openAccessPdf":"https://www.ncbi.nlm.nih.gov/pmc/articles/PMC12499780/pdf/","citationCount":"0","resultStr":"{\"title\":\"Association between estimated pulse wave velocity and gynecological cancer risk and mortality: Insights from NHANES 2003 to 2016.\",\"authors\":\"Chunlin Liu, Li Hua, Xilin Wu, Shaojun Chen\",\"doi\":\"10.1097/MD.0000000000044973\",\"DOIUrl\":null,\"url\":null,\"abstract\":\"<p><p>Arterial stiffness is measured by pulse wave velocity (PWV), which has a well-established correlation with a number of health consequences. Nevertheless, it is still unknown how estimated pulse wave velocity (ePWV) and the risk and mortality of gynecological cancer (GC) are related. This study examined the association between ePWV and GC risk and mortality using data from the National Health and Nutrition Examination Survey (NHANES) conducted between 2003 and 2016. We initially performed a cross-sectional study in which we separated participants into 3 groups based on their ePWV tertiles in order to assess the relationship between ePWV and GC risk. A survival analysis was conducted to examine the relationship between ePWV and mortality risk in patients with GC. Multivariable logistic regression, Cox proportional hazards models and restricted cubic splines (RCS) were performed for analysis. A total of 19,590 participants were included in the study, with 464 diagnosed with GC (238 cervical cancer, 88 ovarian cancer, and 157 uterine cancer). Compared to the lowest ePWV group, the highest ePWV group had a 70% increased risk of GC (odds ratio (OR): 1.70, 95% confidence interval (CI): 1.10-2.62). RCS analysis revealed a nonlinear positive association between ePWV and GC risk (P for nonlinear = .044). The predictive value of ePWV for GC risk was 59.1% (area under the curve (AUC): 0.591, 95% CI: 0.567-0.616). Among GC patients, the highest ePWV group had a 6.45-fold increased risk of death compared to the lowest ePWV group (hazard ratio (HR): 6.45, 95% CI: 1.32-31.53). RCS analysis further showed a linear positive association between ePWV and mortality in GC patients (P for nonlinear = .131). The predictive value of ePWV for mortality risk in GC patients was 80.6% (AUC: 0.806, 95% CI: 0.756-0.855). Higher levels of ePWV are associated with an increased risk of GC and higher mortality in GC patients, although ePWV exhibits relatively poor discriminatory ability for GC risk. ePWV may serve as a useful predictor of both cancer risk and prognosis, highlighting its potential as a clinical marker for identifying at-risk individuals and improving patient management.</p>\",\"PeriodicalId\":18549,\"journal\":{\"name\":\"Medicine\",\"volume\":\"104 40\",\"pages\":\"e44973\"},\"PeriodicalIF\":1.4000,\"publicationDate\":\"2025-10-03\",\"publicationTypes\":\"Journal Article\",\"fieldsOfStudy\":null,\"isOpenAccess\":false,\"openAccessPdf\":\"https://www.ncbi.nlm.nih.gov/pmc/articles/PMC12499780/pdf/\",\"citationCount\":\"0\",\"resultStr\":null,\"platform\":\"Semanticscholar\",\"paperid\":null,\"PeriodicalName\":\"Medicine\",\"FirstCategoryId\":\"3\",\"ListUrlMain\":\"https://doi.org/10.1097/MD.0000000000044973\",\"RegionNum\":4,\"RegionCategory\":\"医学\",\"ArticlePicture\":[],\"TitleCN\":null,\"AbstractTextCN\":null,\"PMCID\":null,\"EPubDate\":\"\",\"PubModel\":\"\",\"JCR\":\"Q2\",\"JCRName\":\"MEDICINE, GENERAL & INTERNAL\",\"Score\":null,\"Total\":0}","platform":"Semanticscholar","paperid":null,"PeriodicalName":"Medicine","FirstCategoryId":"3","ListUrlMain":"https://doi.org/10.1097/MD.0000000000044973","RegionNum":4,"RegionCategory":"医学","ArticlePicture":[],"TitleCN":null,"AbstractTextCN":null,"PMCID":null,"EPubDate":"","PubModel":"","JCR":"Q2","JCRName":"MEDICINE, GENERAL & INTERNAL","Score":null,"Total":0}
引用次数: 0

摘要

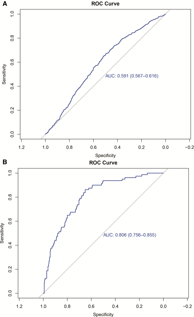
动脉硬度是通过脉搏波速度(PWV)来测量的,它与许多健康后果有着明确的相关性。然而,目前尚不清楚估计脉搏波速度(ePWV)与妇科癌(GC)的风险和死亡率之间的关系。本研究利用2003年至2016年进行的国家健康与营养检查调查(NHANES)的数据,研究了ePWV与GC风险和死亡率之间的关系。为了评估ePWV和GC风险之间的关系,我们最初进行了一项横断面研究,根据ePWV的分位数将参与者分为三组。通过生存分析,研究ePWV与胃癌患者死亡风险之间的关系。采用多变量logistic回归、Cox比例风险模型和限制性三次样条(RCS)进行分析。研究共纳入19590名参与者,其中464人被诊断为胃癌(238人患有宫颈癌,88人患有卵巢癌,157人患有子宫癌)。与最低ePWV组相比,最高ePWV组发生GC的风险增加70%(优势比(OR): 1.70, 95%可信区间(CI): 1.10-2.62)。RCS分析显示ePWV与GC风险呈非线性正相关(非线性P = 0.044)。ePWV对GC风险的预测值为59.1%(曲线下面积(AUC): 0.591, 95% CI: 0.567 ~ 0.616)。在GC患者中,ePWV最高组的死亡风险是ePWV最低组的6.45倍(危险比(HR): 6.45, 95% CI: 1.32-31.53)。RCS分析进一步显示ePWV与胃癌患者死亡率呈线性正相关(非线性P = 0.131)。ePWV对GC患者死亡风险的预测值为80.6% (AUC: 0.806, 95% CI: 0.756 ~ 0.855)。较高水平的ePWV与胃癌患者胃癌风险增加和死亡率升高相关,尽管ePWV对胃癌风险的区分能力相对较差。ePWV可以作为癌症风险和预后的有用预测因子,突出其作为识别高危个体和改善患者管理的临床标志物的潜力。
本文章由计算机程序翻译,如有差异,请以英文原文为准。

Association between estimated pulse wave velocity and gynecological cancer risk and mortality: Insights from NHANES 2003 to 2016.

Association between estimated pulse wave velocity and gynecological cancer risk and mortality: Insights from NHANES 2003 to 2016.

Association between estimated pulse wave velocity and gynecological cancer risk and mortality: Insights from NHANES 2003 to 2016.

Association between estimated pulse wave velocity and gynecological cancer risk and mortality: Insights from NHANES 2003 to 2016.

Arterial stiffness is measured by pulse wave velocity (PWV), which has a well-established correlation with a number of health consequences. Nevertheless, it is still unknown how estimated pulse wave velocity (ePWV) and the risk and mortality of gynecological cancer (GC) are related. This study examined the association between ePWV and GC risk and mortality using data from the National Health and Nutrition Examination Survey (NHANES) conducted between 2003 and 2016. We initially performed a cross-sectional study in which we separated participants into 3 groups based on their ePWV tertiles in order to assess the relationship between ePWV and GC risk. A survival analysis was conducted to examine the relationship between ePWV and mortality risk in patients with GC. Multivariable logistic regression, Cox proportional hazards models and restricted cubic splines (RCS) were performed for analysis. A total of 19,590 participants were included in the study, with 464 diagnosed with GC (238 cervical cancer, 88 ovarian cancer, and 157 uterine cancer). Compared to the lowest ePWV group, the highest ePWV group had a 70% increased risk of GC (odds ratio (OR): 1.70, 95% confidence interval (CI): 1.10-2.62). RCS analysis revealed a nonlinear positive association between ePWV and GC risk (P for nonlinear = .044). The predictive value of ePWV for GC risk was 59.1% (area under the curve (AUC): 0.591, 95% CI: 0.567-0.616). Among GC patients, the highest ePWV group had a 6.45-fold increased risk of death compared to the lowest ePWV group (hazard ratio (HR): 6.45, 95% CI: 1.32-31.53). RCS analysis further showed a linear positive association between ePWV and mortality in GC patients (P for nonlinear = .131). The predictive value of ePWV for mortality risk in GC patients was 80.6% (AUC: 0.806, 95% CI: 0.756-0.855). Higher levels of ePWV are associated with an increased risk of GC and higher mortality in GC patients, although ePWV exhibits relatively poor discriminatory ability for GC risk. ePWV may serve as a useful predictor of both cancer risk and prognosis, highlighting its potential as a clinical marker for identifying at-risk individuals and improving patient management.

求助全文
通过发布文献求助,成功后即可免费获取论文全文。 去求助
来源期刊
Medicine
Medicine 医学-医学:内科
CiteScore
2.80
自引率
0.00%
发文量
4342
审稿时长
>12 weeks
期刊介绍: Medicine is now a fully open access journal, providing authors with a distinctive new service offering continuous publication of original research across a broad spectrum of medical scientific disciplines and sub-specialties. As an open access title, Medicine will continue to provide authors with an established, trusted platform for the publication of their work. To ensure the ongoing quality of Medicine’s content, the peer-review process will only accept content that is scientifically, technically and ethically sound, and in compliance with standard reporting guidelines.
×
引用
GB/T 7714-2015
复制
MLA
复制
APA
复制
导出至
BibTeX EndNote RefMan NoteFirst NoteExpress
×
提示
您的信息不完整,为了账户安全,请先补充。
现在去补充
×
提示
您因"违规操作"
具体请查看互助需知
我知道了
×
提示
确定
请完成安全验证×
copy
已复制链接
快去分享给好友吧!
我知道了
右上角分享
点击右上角分享
0
联系我们:info@booksci.cn Book学术提供免费学术资源搜索服务,方便国内外学者检索中英文文献。致力于提供最便捷和优质的服务体验。 Copyright © 2023 布克学术 All rights reserved.
京ICP备2023020795号-1
ghs 京公网安备 11010802042870号
Book学术文献互助
Book学术文献互助群
群 号:604180095
Book学术官方微信