甘氨酸max发酵生产γ -聚谷氨酸其提取、分离及应用综述

IF 4 3区 化学 Q2 POLYMER SCIENCE
Rakhi Rajput, Soumya Pandit, Bibhu Prasad Panda, Sunita Sheoran, Subhasree Ray, Kuldeep Sharma, Debasmita Bhattacharya, Moupriya Nagg, Dibyajit Lahirih
{"title":"甘氨酸max发酵生产γ -聚谷氨酸其提取、分离及应用综述","authors":"Rakhi Rajput,&nbsp;Soumya Pandit,&nbsp;Bibhu Prasad Panda,&nbsp;Sunita Sheoran,&nbsp;Subhasree Ray,&nbsp;Kuldeep Sharma,&nbsp;Debasmita Bhattacharya,&nbsp;Moupriya Nagg,&nbsp;Dibyajit Lahirih","doi":"10.1007/s00289-025-05872-7","DOIUrl":null,"url":null,"abstract":"<div><p>Polyglutamic acid, often known as γ-PGA, is a kind of polymer material with great biological compatibility and biodegradability that is frequently used in the food, pharmaceutical, environmental, skincare, and agricultural industries. Since microbial fermentation produces γ-PGA, its isolation, purification, and detection by quantitative methods are crucial. Methods of separation used in this investigation include organic solvent precipitation. Eastern India consumes kinema, a regional meal made of fermented, unsalted, sticky soybeans. Customers cite stickiness as one of the nicest aspects, resulting from the creation of poly-glutamic acid (PGA) from <i>Bacillus species</i>. The fermented soya product \"natto\" contains a significant amount of poly-gamma-glutamic acid. This review highlights various procedures, which include lyophilization and grinding of natto seeds, optimization of protein together with peptide elimination, precipitation with the alcohol, and HCl degradation, which result in the production of highest amount of γ-PGA in natto. </p></div>","PeriodicalId":737,"journal":{"name":"Polymer Bulletin","volume":"82 14","pages":"8791 - 8826"},"PeriodicalIF":4.0000,"publicationDate":"2025-07-03","publicationTypes":"Journal Article","fieldsOfStudy":null,"isOpenAccess":false,"openAccessPdf":"","citationCount":"0","resultStr":"{\"title\":\"Production of gamma polyglutamic acid from Glycine max fermentation; its extraction, separation, and application: a review\",\"authors\":\"Rakhi Rajput,&nbsp;Soumya Pandit,&nbsp;Bibhu Prasad Panda,&nbsp;Sunita Sheoran,&nbsp;Subhasree Ray,&nbsp;Kuldeep Sharma,&nbsp;Debasmita Bhattacharya,&nbsp;Moupriya Nagg,&nbsp;Dibyajit Lahirih\",\"doi\":\"10.1007/s00289-025-05872-7\",\"DOIUrl\":null,\"url\":null,\"abstract\":\"<div><p>Polyglutamic acid, often known as γ-PGA, is a kind of polymer material with great biological compatibility and biodegradability that is frequently used in the food, pharmaceutical, environmental, skincare, and agricultural industries. Since microbial fermentation produces γ-PGA, its isolation, purification, and detection by quantitative methods are crucial. Methods of separation used in this investigation include organic solvent precipitation. Eastern India consumes kinema, a regional meal made of fermented, unsalted, sticky soybeans. Customers cite stickiness as one of the nicest aspects, resulting from the creation of poly-glutamic acid (PGA) from <i>Bacillus species</i>. The fermented soya product \\\"natto\\\" contains a significant amount of poly-gamma-glutamic acid. This review highlights various procedures, which include lyophilization and grinding of natto seeds, optimization of protein together with peptide elimination, precipitation with the alcohol, and HCl degradation, which result in the production of highest amount of γ-PGA in natto. </p></div>\",\"PeriodicalId\":737,\"journal\":{\"name\":\"Polymer Bulletin\",\"volume\":\"82 14\",\"pages\":\"8791 - 8826\"},\"PeriodicalIF\":4.0000,\"publicationDate\":\"2025-07-03\",\"publicationTypes\":\"Journal Article\",\"fieldsOfStudy\":null,\"isOpenAccess\":false,\"openAccessPdf\":\"\",\"citationCount\":\"0\",\"resultStr\":null,\"platform\":\"Semanticscholar\",\"paperid\":null,\"PeriodicalName\":\"Polymer Bulletin\",\"FirstCategoryId\":\"92\",\"ListUrlMain\":\"https://link.springer.com/article/10.1007/s00289-025-05872-7\",\"RegionNum\":3,\"RegionCategory\":\"化学\",\"ArticlePicture\":[],\"TitleCN\":null,\"AbstractTextCN\":null,\"PMCID\":null,\"EPubDate\":\"\",\"PubModel\":\"\",\"JCR\":\"Q2\",\"JCRName\":\"POLYMER SCIENCE\",\"Score\":null,\"Total\":0}","platform":"Semanticscholar","paperid":null,"PeriodicalName":"Polymer Bulletin","FirstCategoryId":"92","ListUrlMain":"https://link.springer.com/article/10.1007/s00289-025-05872-7","RegionNum":3,"RegionCategory":"化学","ArticlePicture":[],"TitleCN":null,"AbstractTextCN":null,"PMCID":null,"EPubDate":"","PubModel":"","JCR":"Q2","JCRName":"POLYMER SCIENCE","Score":null,"Total":0}
引用次数: 0

摘要

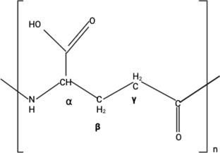
聚谷氨酸,通常被称为γ-PGA,是一种具有良好生物相容性和可生物降解性的高分子材料,在食品、制药、环保、护肤、农业等行业中有着广泛的应用。由于微生物发酵产生γ-PGA,其分离、纯化和定量检测方法至关重要。本研究中使用的分离方法包括有机溶剂沉淀法。东印度人吃的是kinema,这是一种由发酵、无盐、粘稠的大豆制成的地方美食。顾客们认为粘稠度是最好的方面之一,这是由芽孢杆菌中产生的聚谷氨酸(PGA)造成的。发酵的豆制品“纳豆”含有大量的多γ -谷氨酸。本文综述了纳豆种子的冻干和研磨、蛋白质的优化和肽的消除、酒精沉淀和HCl的降解等过程,这些过程导致纳豆中γ-PGA的产量最高。
本文章由计算机程序翻译,如有差异,请以英文原文为准。

Production of gamma polyglutamic acid from Glycine max fermentation; its extraction, separation, and application: a review

Production of gamma polyglutamic acid from Glycine max fermentation; its extraction, separation, and application: a review

Polyglutamic acid, often known as γ-PGA, is a kind of polymer material with great biological compatibility and biodegradability that is frequently used in the food, pharmaceutical, environmental, skincare, and agricultural industries. Since microbial fermentation produces γ-PGA, its isolation, purification, and detection by quantitative methods are crucial. Methods of separation used in this investigation include organic solvent precipitation. Eastern India consumes kinema, a regional meal made of fermented, unsalted, sticky soybeans. Customers cite stickiness as one of the nicest aspects, resulting from the creation of poly-glutamic acid (PGA) from Bacillus species. The fermented soya product "natto" contains a significant amount of poly-gamma-glutamic acid. This review highlights various procedures, which include lyophilization and grinding of natto seeds, optimization of protein together with peptide elimination, precipitation with the alcohol, and HCl degradation, which result in the production of highest amount of γ-PGA in natto.

求助全文
通过发布文献求助,成功后即可免费获取论文全文。 去求助
来源期刊
Polymer Bulletin
Polymer Bulletin 化学-高分子科学
CiteScore
6.00
自引率
6.20%
发文量
0
审稿时长
5.5 months
期刊介绍: "Polymer Bulletin" is a comprehensive academic journal on polymer science founded in 1988. It was founded under the initiative of the late Mr. Wang Baoren, a famous Chinese chemist and educator. This journal is co-sponsored by the Chinese Chemical Society, the Institute of Chemistry, and the Chinese Academy of Sciences and is supervised by the China Association for Science and Technology. It is a core journal and is publicly distributed at home and abroad. "Polymer Bulletin" is a monthly magazine with multiple columns, including a project application guide, outlook, review, research papers, highlight reviews, polymer education and teaching, information sharing, interviews, polymer science popularization, etc. The journal is included in the CSCD Chinese Science Citation Database. It serves as the source journal for Chinese scientific and technological paper statistics and the source journal of Peking University's "Overview of Chinese Core Journals."
×
引用
GB/T 7714-2015
复制
MLA
复制
APA
复制
导出至
BibTeX EndNote RefMan NoteFirst NoteExpress
×
提示
您的信息不完整,为了账户安全,请先补充。
现在去补充
×
提示
您因"违规操作"
具体请查看互助需知
我知道了
×
提示
确定
请完成安全验证×
copy
已复制链接
快去分享给好友吧!
我知道了
右上角分享
点击右上角分享
0
联系我们:info@booksci.cn Book学术提供免费学术资源搜索服务,方便国内外学者检索中英文文献。致力于提供最便捷和优质的服务体验。 Copyright © 2023 布克学术 All rights reserved.
京ICP备2023020795号-1
ghs 京公网安备 11010802042870号
Book学术文献互助
Book学术文献互助群
群 号:604180095
Book学术官方微信