烯丙基双氨基甲酸酯简明合成单氨基甲酸酯-环己三乙酸酯

IF 0.8 4区 化学 Q4 CHEMISTRY, MULTIDISCIPLINARY
L. Kelebekli
{"title":"烯丙基双氨基甲酸酯简明合成单氨基甲酸酯-环己三乙酸酯","authors":"L. Kelebekli","doi":"10.1134/S1070363225602261","DOIUrl":null,"url":null,"abstract":"<p>The concise synthesis of novel monocarbamate-triacetate with a configuration like that of <i>cis-trans-cis</i>-cyclohexanetetrol is reported for the first time. Photooxygenation reaction of the starting compound cyclohexadiene gave the bicyclic endoperoxide compound. Controlled reduction of the endoperoxide with thiourea afforded the allylic <i>cis</i>-diol compound, and subsequent reaction of the <i>cis</i>-diol with two equivalents of <i>p</i>-TsNCO led to the formation of the key compound bis-carbamate. Treatment of the bis-carbamate compound with Pd<sub>2</sub>(dba)<sub>3</sub>·CHCl<sub>3</sub> in the presence of trimethylsilyl azide (TMSN<sub>3</sub>) produced a new monocarbamate compound as well as an oxazolidinone derivative. By oxidation of the double bond in the monocarbamate with osmium tetraoxide and subsequent acetylation with AcCl, a desired new monocarbamate triacetate compound was obtained.</p>","PeriodicalId":761,"journal":{"name":"Russian Journal of General Chemistry","volume":"95 9","pages":"2528 - 2536"},"PeriodicalIF":0.8000,"publicationDate":"2025-10-07","publicationTypes":"Journal Article","fieldsOfStudy":null,"isOpenAccess":false,"openAccessPdf":"","citationCount":"0","resultStr":"{\"title\":\"Concise Synthesis of Monocarbamate-Cyclohexanetriacetate from Allylic Bis-Carbamate\",\"authors\":\"L. Kelebekli\",\"doi\":\"10.1134/S1070363225602261\",\"DOIUrl\":null,\"url\":null,\"abstract\":\"<p>The concise synthesis of novel monocarbamate-triacetate with a configuration like that of <i>cis-trans-cis</i>-cyclohexanetetrol is reported for the first time. Photooxygenation reaction of the starting compound cyclohexadiene gave the bicyclic endoperoxide compound. Controlled reduction of the endoperoxide with thiourea afforded the allylic <i>cis</i>-diol compound, and subsequent reaction of the <i>cis</i>-diol with two equivalents of <i>p</i>-TsNCO led to the formation of the key compound bis-carbamate. Treatment of the bis-carbamate compound with Pd<sub>2</sub>(dba)<sub>3</sub>·CHCl<sub>3</sub> in the presence of trimethylsilyl azide (TMSN<sub>3</sub>) produced a new monocarbamate compound as well as an oxazolidinone derivative. By oxidation of the double bond in the monocarbamate with osmium tetraoxide and subsequent acetylation with AcCl, a desired new monocarbamate triacetate compound was obtained.</p>\",\"PeriodicalId\":761,\"journal\":{\"name\":\"Russian Journal of General Chemistry\",\"volume\":\"95 9\",\"pages\":\"2528 - 2536\"},\"PeriodicalIF\":0.8000,\"publicationDate\":\"2025-10-07\",\"publicationTypes\":\"Journal Article\",\"fieldsOfStudy\":null,\"isOpenAccess\":false,\"openAccessPdf\":\"\",\"citationCount\":\"0\",\"resultStr\":null,\"platform\":\"Semanticscholar\",\"paperid\":null,\"PeriodicalName\":\"Russian Journal of General Chemistry\",\"FirstCategoryId\":\"92\",\"ListUrlMain\":\"https://link.springer.com/article/10.1134/S1070363225602261\",\"RegionNum\":4,\"RegionCategory\":\"化学\",\"ArticlePicture\":[],\"TitleCN\":null,\"AbstractTextCN\":null,\"PMCID\":null,\"EPubDate\":\"\",\"PubModel\":\"\",\"JCR\":\"Q4\",\"JCRName\":\"CHEMISTRY, MULTIDISCIPLINARY\",\"Score\":null,\"Total\":0}","platform":"Semanticscholar","paperid":null,"PeriodicalName":"Russian Journal of General Chemistry","FirstCategoryId":"92","ListUrlMain":"https://link.springer.com/article/10.1134/S1070363225602261","RegionNum":4,"RegionCategory":"化学","ArticlePicture":[],"TitleCN":null,"AbstractTextCN":null,"PMCID":null,"EPubDate":"","PubModel":"","JCR":"Q4","JCRName":"CHEMISTRY, MULTIDISCIPLINARY","Score":null,"Total":0}
引用次数: 0

摘要

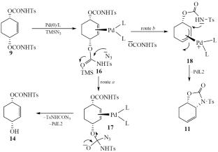
本文首次报道了具有顺-反-顺-环己内醇结构的新型单氨基甲酸酯-三乙酸酯的简明合成。起始化合物环己二烯的光氧化反应得到双环内过氧化物化合物。硫脲控制内过氧化物的还原得到烯丙基顺式二醇化合物,随后顺式二醇与两个等量的p-TsNCO反应生成关键化合物双氨基甲酸酯。用Pd2(dba)3·CHCl3在三甲基硅酰叠氮(TMSN3)存在下处理双氨基甲酸酯化合物,得到新的单氨基甲酸酯化合物和恶唑烷酮衍生物。用四氧化锇氧化单氨基甲酸酯中的双键,然后用AcCl乙酰化,得到了新的三乙酸单氨基甲酸酯化合物。
本文章由计算机程序翻译,如有差异,请以英文原文为准。

Concise Synthesis of Monocarbamate-Cyclohexanetriacetate from Allylic Bis-Carbamate

Concise Synthesis of Monocarbamate-Cyclohexanetriacetate from Allylic Bis-Carbamate

The concise synthesis of novel monocarbamate-triacetate with a configuration like that of cis-trans-cis-cyclohexanetetrol is reported for the first time. Photooxygenation reaction of the starting compound cyclohexadiene gave the bicyclic endoperoxide compound. Controlled reduction of the endoperoxide with thiourea afforded the allylic cis-diol compound, and subsequent reaction of the cis-diol with two equivalents of p-TsNCO led to the formation of the key compound bis-carbamate. Treatment of the bis-carbamate compound with Pd2(dba)3·CHCl3 in the presence of trimethylsilyl azide (TMSN3) produced a new monocarbamate compound as well as an oxazolidinone derivative. By oxidation of the double bond in the monocarbamate with osmium tetraoxide and subsequent acetylation with AcCl, a desired new monocarbamate triacetate compound was obtained.

求助全文
通过发布文献求助,成功后即可免费获取论文全文。 去求助
来源期刊
CiteScore
1.40
自引率
22.20%
发文量
252
审稿时长
2-4 weeks
期刊介绍: Russian Journal of General Chemistry is a journal that covers many problems that are of general interest to the whole community of chemists. The journal is the successor to Russia’s first chemical journal, Zhurnal Russkogo Khimicheskogo Obshchestva (Journal of the Russian Chemical Society ) founded in 1869 to cover all aspects of chemistry. Now the journal is focused on the interdisciplinary areas of chemistry (organometallics, organometalloids, organoinorganic complexes, mechanochemistry, nanochemistry, etc.), new achievements and long-term results in the field. The journal publishes reviews, current scientific papers, letters to the editor, and discussion papers.
×
引用
GB/T 7714-2015
复制
MLA
复制
APA
复制
导出至
BibTeX EndNote RefMan NoteFirst NoteExpress
×
提示
您的信息不完整,为了账户安全,请先补充。
现在去补充
×
提示
您因"违规操作"
具体请查看互助需知
我知道了
×
提示
确定
请完成安全验证×
copy
已复制链接
快去分享给好友吧!
我知道了
右上角分享
点击右上角分享
0
联系我们:info@booksci.cn Book学术提供免费学术资源搜索服务,方便国内外学者检索中英文文献。致力于提供最便捷和优质的服务体验。 Copyright © 2023 布克学术 All rights reserved.
京ICP备2023020795号-1
ghs 京公网安备 11010802042870号
Book学术文献互助
Book学术文献互助群
群 号:604180095
Book学术官方微信