韩国饮食质量与区域因素之间的关系因个体特征而异:一项横断面研究。

Korean journal of community nutrition Pub Date : 2025-08-01 Epub Date: 2025-08-29 DOI:10.5720/kjcn.2025.00157
Hyunmi Han, Clara Yongjoo Park, Jeonghwa Lee
{"title":"韩国饮食质量与区域因素之间的关系因个体特征而异:一项横断面研究。","authors":"Hyunmi Han, Clara Yongjoo Park, Jeonghwa Lee","doi":"10.5720/kjcn.2025.00157","DOIUrl":null,"url":null,"abstract":"<p><strong>Objectives: </strong>Although diet quality is known to be associated with environment and individuals' characteristics, these have not been studied together. We determined the association of diet quality with regional factors stratified by individuals' sociodemographic characteristics.</p><p><strong>Methods: </strong>This study used nationally representative survey data on regional factors (2010-2020) and the Korea National Health and Nutrition Examination Survey data on individuals' sociodemographic characteristics (2013-2018). Community-dwelling Koreans aged ≥ 20 were included (n = 26,853). Regions were categorized into metropolitan cities or provinces and subsequently according to regional factors (level of educational attainment, income per capita, food security status, physical activity facilities, time to the nearest large retailer, and internet use of the region). Individuals' sociodemographic characteristics included age, education status, income, and number of household members. Diet quality was assessed using the Korean Healthy Eating Index (KHEI).</p><p><strong>Results: </strong>In the entire population, education status of metropolitan cities was positively associated with the KHEI. Shorter time to retailers and higher internet use were positively associated with the KHEI in metropolitan residents with higher income levels but negatively associated with the KHEI in those with lower income status. Among provincial residents with a low education status or income, regional physical activity facilities were positively associated with the KHEI.</p><p><strong>Conclusion: </strong>The association between diet quality and regional factors varied depending on the resident's sociodemographic characteristics. Both regional and individual sociodemographic factors must be considered to address gaps in nutritional equity.</p>","PeriodicalId":74046,"journal":{"name":"Korean journal of community nutrition","volume":"30 4","pages":"274-285"},"PeriodicalIF":0.0000,"publicationDate":"2025-08-01","publicationTypes":"Journal Article","fieldsOfStudy":null,"isOpenAccess":false,"openAccessPdf":"https://www.ncbi.nlm.nih.gov/pmc/articles/PMC12489314/pdf/","citationCount":"0","resultStr":"{\"title\":\"Associations between diet quality and regional factors in Korea vary according to individuals' characteristics: a cross-sectional study.\",\"authors\":\"Hyunmi Han, Clara Yongjoo Park, Jeonghwa Lee\",\"doi\":\"10.5720/kjcn.2025.00157\",\"DOIUrl\":null,\"url\":null,\"abstract\":\"<p><strong>Objectives: </strong>Although diet quality is known to be associated with environment and individuals' characteristics, these have not been studied together. We determined the association of diet quality with regional factors stratified by individuals' sociodemographic characteristics.</p><p><strong>Methods: </strong>This study used nationally representative survey data on regional factors (2010-2020) and the Korea National Health and Nutrition Examination Survey data on individuals' sociodemographic characteristics (2013-2018). Community-dwelling Koreans aged ≥ 20 were included (n = 26,853). Regions were categorized into metropolitan cities or provinces and subsequently according to regional factors (level of educational attainment, income per capita, food security status, physical activity facilities, time to the nearest large retailer, and internet use of the region). Individuals' sociodemographic characteristics included age, education status, income, and number of household members. Diet quality was assessed using the Korean Healthy Eating Index (KHEI).</p><p><strong>Results: </strong>In the entire population, education status of metropolitan cities was positively associated with the KHEI. Shorter time to retailers and higher internet use were positively associated with the KHEI in metropolitan residents with higher income levels but negatively associated with the KHEI in those with lower income status. Among provincial residents with a low education status or income, regional physical activity facilities were positively associated with the KHEI.</p><p><strong>Conclusion: </strong>The association between diet quality and regional factors varied depending on the resident's sociodemographic characteristics. Both regional and individual sociodemographic factors must be considered to address gaps in nutritional equity.</p>\",\"PeriodicalId\":74046,\"journal\":{\"name\":\"Korean journal of community nutrition\",\"volume\":\"30 4\",\"pages\":\"274-285\"},\"PeriodicalIF\":0.0000,\"publicationDate\":\"2025-08-01\",\"publicationTypes\":\"Journal Article\",\"fieldsOfStudy\":null,\"isOpenAccess\":false,\"openAccessPdf\":\"https://www.ncbi.nlm.nih.gov/pmc/articles/PMC12489314/pdf/\",\"citationCount\":\"0\",\"resultStr\":null,\"platform\":\"Semanticscholar\",\"paperid\":null,\"PeriodicalName\":\"Korean journal of community nutrition\",\"FirstCategoryId\":\"1085\",\"ListUrlMain\":\"https://doi.org/10.5720/kjcn.2025.00157\",\"RegionNum\":0,\"RegionCategory\":null,\"ArticlePicture\":[],\"TitleCN\":null,\"AbstractTextCN\":null,\"PMCID\":null,\"EPubDate\":\"2025/8/29 0:00:00\",\"PubModel\":\"Epub\",\"JCR\":\"\",\"JCRName\":\"\",\"Score\":null,\"Total\":0}","platform":"Semanticscholar","paperid":null,"PeriodicalName":"Korean journal of community nutrition","FirstCategoryId":"1085","ListUrlMain":"https://doi.org/10.5720/kjcn.2025.00157","RegionNum":0,"RegionCategory":null,"ArticlePicture":[],"TitleCN":null,"AbstractTextCN":null,"PMCID":null,"EPubDate":"2025/8/29 0:00:00","PubModel":"Epub","JCR":"","JCRName":"","Score":null,"Total":0}
引用次数: 0

摘要

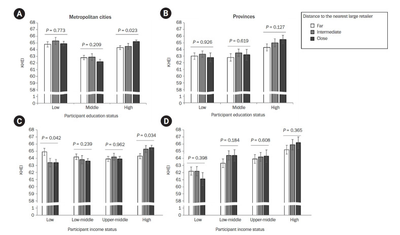
目的:虽然饮食质量与环境和个体特征有关,但尚未对两者进行综合研究。我们确定了饮食质量与按个体社会人口学特征分层的区域因素之间的关系。方法:本研究使用具有全国代表性的区域因素调查数据(2010-2020年)和韩国国家健康与营养检查调查个人社会人口学特征数据(2013-2018年)。年龄≥20岁的韩国社区居民被纳入(n = 26,853)。根据地区因素(教育程度、人均收入、食品安全状况、体育活动设施、距离最近的大型零售商的时间以及该地区的互联网使用情况),将地区划分为大都市或省。个人的社会人口学特征包括年龄、教育程度、收入和家庭成员数量。采用韩国健康饮食指数(KHEI)评估饮食质量。结果:在全体人口中,大城市的教育状况与KHEI呈正相关。较短的购物时间和较高的互联网使用率与高收入城市居民的KHEI呈正相关,而与低收入城市居民的KHEI呈负相关。在受教育程度或收入较低的省级居民中,区域体育活动设施与KHEI呈正相关。结论:饮食质量与地区因素的关系因居民的社会人口学特征而异。要解决营养公平方面的差距,必须考虑区域和个人社会人口因素。
本文章由计算机程序翻译,如有差异,请以英文原文为准。

Associations between diet quality and regional factors in Korea vary according to individuals' characteristics: a cross-sectional study.

Associations between diet quality and regional factors in Korea vary according to individuals' characteristics: a cross-sectional study.

Associations between diet quality and regional factors in Korea vary according to individuals' characteristics: a cross-sectional study.

Objectives: Although diet quality is known to be associated with environment and individuals' characteristics, these have not been studied together. We determined the association of diet quality with regional factors stratified by individuals' sociodemographic characteristics.

Methods: This study used nationally representative survey data on regional factors (2010-2020) and the Korea National Health and Nutrition Examination Survey data on individuals' sociodemographic characteristics (2013-2018). Community-dwelling Koreans aged ≥ 20 were included (n = 26,853). Regions were categorized into metropolitan cities or provinces and subsequently according to regional factors (level of educational attainment, income per capita, food security status, physical activity facilities, time to the nearest large retailer, and internet use of the region). Individuals' sociodemographic characteristics included age, education status, income, and number of household members. Diet quality was assessed using the Korean Healthy Eating Index (KHEI).

Results: In the entire population, education status of metropolitan cities was positively associated with the KHEI. Shorter time to retailers and higher internet use were positively associated with the KHEI in metropolitan residents with higher income levels but negatively associated with the KHEI in those with lower income status. Among provincial residents with a low education status or income, regional physical activity facilities were positively associated with the KHEI.

Conclusion: The association between diet quality and regional factors varied depending on the resident's sociodemographic characteristics. Both regional and individual sociodemographic factors must be considered to address gaps in nutritional equity.

求助全文
通过发布文献求助,成功后即可免费获取论文全文。 去求助
来源期刊
CiteScore
0.30
自引率
0.00%
发文量
0
×
引用
GB/T 7714-2015
复制
MLA
复制
APA
复制
导出至
BibTeX EndNote RefMan NoteFirst NoteExpress
×
提示
您的信息不完整,为了账户安全,请先补充。
现在去补充
×
提示
您因"违规操作"
具体请查看互助需知
我知道了
×
提示
确定
请完成安全验证×
copy
已复制链接
快去分享给好友吧!
我知道了
右上角分享
点击右上角分享
0
联系我们:info@booksci.cn Book学术提供免费学术资源搜索服务,方便国内外学者检索中英文文献。致力于提供最便捷和优质的服务体验。 Copyright © 2023 布克学术 All rights reserved.
京ICP备2023020795号-1
ghs 京公网安备 11010802042870号
Book学术文献互助
Book学术文献互助群
群 号:604180095
Book学术官方微信