子宫肌瘤的流行病学:1990年至2021年全球疾病负担及未来趋势预测

IF 2.9 Q2 PUBLIC, ENVIRONMENTAL & OCCUPATIONAL HEALTH
Frontiers in reproductive health Pub Date : 2025-09-18 eCollection Date: 2025-01-01 DOI:10.3389/frph.2025.1629834
Chan Wu, Ling Zhou, Ruilin Chen, Huiling Li, Jian Li, Feifei Guo, Rong Li, Huaijun Zhou, Jingjing Huang
{"title":"子宫肌瘤的流行病学:1990年至2021年全球疾病负担及未来趋势预测","authors":"Chan Wu, Ling Zhou, Ruilin Chen, Huiling Li, Jian Li, Feifei Guo, Rong Li, Huaijun Zhou, Jingjing Huang","doi":"10.3389/frph.2025.1629834","DOIUrl":null,"url":null,"abstract":"<p><strong>Background: </strong>Uterine fibroids (UF) are the most common benign tumors of the female reproductive system, imposing a significant health burden. A comprehensive understanding of their global, regional, and national burden is essential for targeted public health planning. This study aimed to analyze the spatiotemporal trends of UF burden from 1990 to 2021 and project future trends to 2036.</p><p><strong>Methods: </strong>Data on the incidence, prevalence, and disability-adjusted life years (DALYs) of UF from 1990 to 2021 were extracted from the Global Burden of Disease (GBD) 2021 study, covering 204 countries and territories. We analyzed trends using estimated annual percentage changes (EAPC) for age-standardized rates. Socio-demographic Index (SDI) was used to assess the association between development level and disease burden. The Slope Index of Inequality (SII) and concentration index were employed to quantify health inequalities. A Bayesian age-period-cohort (BAPC) model was used to project the burden to 2036.</p><p><strong>Results: </strong>Between 1990 and 2021, the global ASIR of UF rose from 234.36 (95%UI: 171.06, 309.92) to 250.93 (183.44, 330.94) per 100,000 [EAPC 0.24 (0.23, 0.25)]. The ASPR increased from 2799.88 (2133.46, 3650.54) to 2841.07 (2164.43, 3682.27) [EAPC 0.04 (0.03, 0.06)]. DALYs grew from 81,142 (57,125, 111,989) to 142,885 (102,183, 192,988), while ASDR showed little change, from 3.48 (2.46, 4.77) to 3.39 (2.43, 4.59). Regional analysis indicated that South Asia exhibited the highest incidence and prevalence of UF, whereas Oceania and Australia experienced a lower burden. Analysis of health inequality revealed a shift in the burden of UF incidence and prevalence from high to low Socio-Demographic Index (SDI) countries between 1990 and 2021, indicating a reduction in health inequality. Future predictions from the BAPC model indicate that both ASIR and ASPR are expected to continue to rise, while ASDR is likely to decline.</p><p><strong>Conclusions: </strong>From 1990 to 2021, the global incidence of UF has steadily risen, with South Asia experiencing the greatest impact. Despite the stabilization of ASDR, the rise in ASIR and ASPR remains a significant public health challenge worldwide. Health inequality analysis indicates that the burden of UF is shifting toward low SDI countries. Future prevention and treatment strategies for UF should focus on middle- and low-income countries, specifically by implementing targeted screening programs, investing in low-cost diagnostic tools, and launching public health awareness campaigns. Global public health cooperation, along with early diagnosis and treatment strategies for UF, will be crucial in reducing the disease burden.</p>","PeriodicalId":73103,"journal":{"name":"Frontiers in reproductive health","volume":"7 ","pages":"1629834"},"PeriodicalIF":2.9000,"publicationDate":"2025-09-18","publicationTypes":"Journal Article","fieldsOfStudy":null,"isOpenAccess":false,"openAccessPdf":"https://www.ncbi.nlm.nih.gov/pmc/articles/PMC12488583/pdf/","citationCount":"0","resultStr":"{\"title\":\"The epidemiology of uterine fibroids: global disease burden from 1990 to 2021 and future trend predictions.\",\"authors\":\"Chan Wu, Ling Zhou, Ruilin Chen, Huiling Li, Jian Li, Feifei Guo, Rong Li, Huaijun Zhou, Jingjing Huang\",\"doi\":\"10.3389/frph.2025.1629834\",\"DOIUrl\":null,\"url\":null,\"abstract\":\"<p><strong>Background: </strong>Uterine fibroids (UF) are the most common benign tumors of the female reproductive system, imposing a significant health burden. A comprehensive understanding of their global, regional, and national burden is essential for targeted public health planning. This study aimed to analyze the spatiotemporal trends of UF burden from 1990 to 2021 and project future trends to 2036.</p><p><strong>Methods: </strong>Data on the incidence, prevalence, and disability-adjusted life years (DALYs) of UF from 1990 to 2021 were extracted from the Global Burden of Disease (GBD) 2021 study, covering 204 countries and territories. We analyzed trends using estimated annual percentage changes (EAPC) for age-standardized rates. Socio-demographic Index (SDI) was used to assess the association between development level and disease burden. The Slope Index of Inequality (SII) and concentration index were employed to quantify health inequalities. A Bayesian age-period-cohort (BAPC) model was used to project the burden to 2036.</p><p><strong>Results: </strong>Between 1990 and 2021, the global ASIR of UF rose from 234.36 (95%UI: 171.06, 309.92) to 250.93 (183.44, 330.94) per 100,000 [EAPC 0.24 (0.23, 0.25)]. The ASPR increased from 2799.88 (2133.46, 3650.54) to 2841.07 (2164.43, 3682.27) [EAPC 0.04 (0.03, 0.06)]. DALYs grew from 81,142 (57,125, 111,989) to 142,885 (102,183, 192,988), while ASDR showed little change, from 3.48 (2.46, 4.77) to 3.39 (2.43, 4.59). Regional analysis indicated that South Asia exhibited the highest incidence and prevalence of UF, whereas Oceania and Australia experienced a lower burden. Analysis of health inequality revealed a shift in the burden of UF incidence and prevalence from high to low Socio-Demographic Index (SDI) countries between 1990 and 2021, indicating a reduction in health inequality. Future predictions from the BAPC model indicate that both ASIR and ASPR are expected to continue to rise, while ASDR is likely to decline.</p><p><strong>Conclusions: </strong>From 1990 to 2021, the global incidence of UF has steadily risen, with South Asia experiencing the greatest impact. Despite the stabilization of ASDR, the rise in ASIR and ASPR remains a significant public health challenge worldwide. Health inequality analysis indicates that the burden of UF is shifting toward low SDI countries. Future prevention and treatment strategies for UF should focus on middle- and low-income countries, specifically by implementing targeted screening programs, investing in low-cost diagnostic tools, and launching public health awareness campaigns. Global public health cooperation, along with early diagnosis and treatment strategies for UF, will be crucial in reducing the disease burden.</p>\",\"PeriodicalId\":73103,\"journal\":{\"name\":\"Frontiers in reproductive health\",\"volume\":\"7 \",\"pages\":\"1629834\"},\"PeriodicalIF\":2.9000,\"publicationDate\":\"2025-09-18\",\"publicationTypes\":\"Journal Article\",\"fieldsOfStudy\":null,\"isOpenAccess\":false,\"openAccessPdf\":\"https://www.ncbi.nlm.nih.gov/pmc/articles/PMC12488583/pdf/\",\"citationCount\":\"0\",\"resultStr\":null,\"platform\":\"Semanticscholar\",\"paperid\":null,\"PeriodicalName\":\"Frontiers in reproductive health\",\"FirstCategoryId\":\"1085\",\"ListUrlMain\":\"https://doi.org/10.3389/frph.2025.1629834\",\"RegionNum\":0,\"RegionCategory\":null,\"ArticlePicture\":[],\"TitleCN\":null,\"AbstractTextCN\":null,\"PMCID\":null,\"EPubDate\":\"2025/1/1 0:00:00\",\"PubModel\":\"eCollection\",\"JCR\":\"Q2\",\"JCRName\":\"PUBLIC, ENVIRONMENTAL & OCCUPATIONAL HEALTH\",\"Score\":null,\"Total\":0}","platform":"Semanticscholar","paperid":null,"PeriodicalName":"Frontiers in reproductive health","FirstCategoryId":"1085","ListUrlMain":"https://doi.org/10.3389/frph.2025.1629834","RegionNum":0,"RegionCategory":null,"ArticlePicture":[],"TitleCN":null,"AbstractTextCN":null,"PMCID":null,"EPubDate":"2025/1/1 0:00:00","PubModel":"eCollection","JCR":"Q2","JCRName":"PUBLIC, ENVIRONMENTAL & OCCUPATIONAL HEALTH","Score":null,"Total":0}
引用次数: 0

摘要

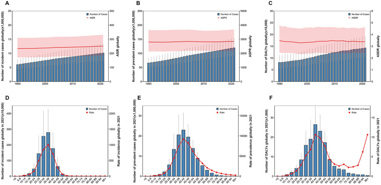
背景:子宫肌瘤(UF)是女性生殖系统最常见的良性肿瘤,对健康造成重大负担。全面了解其全球、区域和国家负担对于有针对性的公共卫生规划至关重要。本研究旨在分析1990 - 2021年UF负担的时空趋势,并预测到2036年的未来趋势。方法:从全球疾病负担(GBD) 2021研究中提取1990 - 2021年UF的发病率、患病率和残疾调整生命年(DALYs)数据,涵盖204个国家和地区。我们使用年龄标准化率的估计年百分比变化(EAPC)分析趋势。采用社会人口指数(SDI)评估发展水平与疾病负担之间的关系。采用不平等斜率指数(SII)和浓度指数对健康不平等进行量化。使用贝叶斯年龄-时期-队列(BAPC)模型预测到2036年的负担。结果:1990 - 2021年,全球UF的ASIR从234.36 (95%UI: 171.06, 309.92) / 10万上升至250.93(183.44,330.94)/ 10万[EAPC 0.24(0.23, 0.25)]。ASPR从2799.88(2133.46,3650.54)增加到2841.07 (2164.43,3682.27)[EAPC 0.04(0.03, 0.06)]。DALYs从81,142(57,125,111,989)增加到142,885(102,183,192,988),而ASDR变化不大,从3.48(2.46,4.77)到3.39(2.43,4.59)。区域分析表明,南亚的UF发病率和流行率最高,而大洋洲和澳大利亚的负担较低。对健康不平等的分析显示,1990年至2021年间,UF发病率和患病率的负担从高社会人口指数(SDI)国家向低社会人口指数国家转变,表明健康不平等有所减少。BAPC模型的未来预测表明,预计ASIR和ASPR都将继续上升,而ASDR可能会下降。结论:从1990年到2021年,全球UF发病率稳步上升,其中南亚地区的影响最大。尽管ASDR趋于稳定,但ASIR和ASPR的上升仍然是世界范围内的重大公共卫生挑战。健康不平等分析表明,UF负担正在向低SDI国家转移。未来UF的预防和治疗策略应侧重于中低收入国家,特别是通过实施有针对性的筛查方案,投资于低成本的诊断工具,并开展公众健康意识运动。全球公共卫生合作以及UF的早期诊断和治疗战略对于减轻疾病负担至关重要。
本文章由计算机程序翻译,如有差异,请以英文原文为准。

The epidemiology of uterine fibroids: global disease burden from 1990 to 2021 and future trend predictions.

The epidemiology of uterine fibroids: global disease burden from 1990 to 2021 and future trend predictions.

The epidemiology of uterine fibroids: global disease burden from 1990 to 2021 and future trend predictions.

The epidemiology of uterine fibroids: global disease burden from 1990 to 2021 and future trend predictions.

Background: Uterine fibroids (UF) are the most common benign tumors of the female reproductive system, imposing a significant health burden. A comprehensive understanding of their global, regional, and national burden is essential for targeted public health planning. This study aimed to analyze the spatiotemporal trends of UF burden from 1990 to 2021 and project future trends to 2036.

Methods: Data on the incidence, prevalence, and disability-adjusted life years (DALYs) of UF from 1990 to 2021 were extracted from the Global Burden of Disease (GBD) 2021 study, covering 204 countries and territories. We analyzed trends using estimated annual percentage changes (EAPC) for age-standardized rates. Socio-demographic Index (SDI) was used to assess the association between development level and disease burden. The Slope Index of Inequality (SII) and concentration index were employed to quantify health inequalities. A Bayesian age-period-cohort (BAPC) model was used to project the burden to 2036.

Results: Between 1990 and 2021, the global ASIR of UF rose from 234.36 (95%UI: 171.06, 309.92) to 250.93 (183.44, 330.94) per 100,000 [EAPC 0.24 (0.23, 0.25)]. The ASPR increased from 2799.88 (2133.46, 3650.54) to 2841.07 (2164.43, 3682.27) [EAPC 0.04 (0.03, 0.06)]. DALYs grew from 81,142 (57,125, 111,989) to 142,885 (102,183, 192,988), while ASDR showed little change, from 3.48 (2.46, 4.77) to 3.39 (2.43, 4.59). Regional analysis indicated that South Asia exhibited the highest incidence and prevalence of UF, whereas Oceania and Australia experienced a lower burden. Analysis of health inequality revealed a shift in the burden of UF incidence and prevalence from high to low Socio-Demographic Index (SDI) countries between 1990 and 2021, indicating a reduction in health inequality. Future predictions from the BAPC model indicate that both ASIR and ASPR are expected to continue to rise, while ASDR is likely to decline.

Conclusions: From 1990 to 2021, the global incidence of UF has steadily risen, with South Asia experiencing the greatest impact. Despite the stabilization of ASDR, the rise in ASIR and ASPR remains a significant public health challenge worldwide. Health inequality analysis indicates that the burden of UF is shifting toward low SDI countries. Future prevention and treatment strategies for UF should focus on middle- and low-income countries, specifically by implementing targeted screening programs, investing in low-cost diagnostic tools, and launching public health awareness campaigns. Global public health cooperation, along with early diagnosis and treatment strategies for UF, will be crucial in reducing the disease burden.

求助全文
通过发布文献求助,成功后即可免费获取论文全文。 去求助
来源期刊
CiteScore
2.00
自引率
0.00%
发文量
0
审稿时长
13 weeks
×
引用
GB/T 7714-2015
复制
MLA
复制
APA
复制
导出至
BibTeX EndNote RefMan NoteFirst NoteExpress
×
提示
您的信息不完整,为了账户安全,请先补充。
现在去补充
×
提示
您因"违规操作"
具体请查看互助需知
我知道了
×
提示
确定
请完成安全验证×
copy
已复制链接
快去分享给好友吧!
我知道了
右上角分享
点击右上角分享
0
联系我们:info@booksci.cn Book学术提供免费学术资源搜索服务,方便国内外学者检索中英文文献。致力于提供最便捷和优质的服务体验。 Copyright © 2023 布克学术 All rights reserved.
京ICP备2023020795号-1
ghs 京公网安备 11010802042870号
Book学术文献互助
Book学术文献互助群
群 号:604180095
Book学术官方微信