用热动力学图研究硫酸盐溶液中铁钝化和传递行为的机理。

IF 7.6 2区 材料科学 Q1 MATERIALS SCIENCE, MULTIDISCIPLINARY
npj Materials Degradation Pub Date : 2025-01-01 Epub Date: 2025-10-03 DOI:10.1038/s41529-025-00667-7
Mohammad Amin Razmjoo Khollari, Kashif Mairaj Deen, Edouard Asselin
{"title":"用热动力学图研究硫酸盐溶液中铁钝化和传递行为的机理。","authors":"Mohammad Amin Razmjoo Khollari, Kashif Mairaj Deen, Edouard Asselin","doi":"10.1038/s41529-025-00667-7","DOIUrl":null,"url":null,"abstract":"<p><p>Understanding the dissolution and passivation of iron in aqueous environments is essential for enhancing its corrosion resistance and expanding its applications. We present Thermo-Kinetic (TK) diagrams for iron in deaerated solutions with no added sodium sulfate (Na<sub>2</sub>SO<sub>4</sub>) and with 0.1 M Na<sub>2</sub>SO<sub>4</sub> over the pH range 1-14, constructed by integrating current density contours from potentiodynamic polarization with thermodynamic E-pH diagrams. TK diagrams indicate that in solutions with no added Na<sub>2</sub>SO<sub>4</sub>, iron passivates above pH 7, with a minimum passive current density (i<sub>p</sub>) of 5 ×10<sup>-6</sup> mA·cm<sup>-2</sup> at pH 8. The addition of 0.1 M Na<sub>2</sub>SO<sub>4</sub> delayed passivation until pH 12 and increased i<sub>p</sub> nearly tenfold. Galvanostatic (GS) polarization and EIS validated the TK diagram results. XPS after GS polarization revealed an FeOOH/Fe<sub>2</sub>O<sub>3</sub> film at pH 10, while Fe<sub>3</sub>O<sub>4</sub>/Fe<sub>2</sub>O<sub>3</sub> dominated at pH 12 and 14. These results clarify how sulfate compromises iron passivity and highlight TK diagrams as a powerful tool for mapping corrosion behavior.</p>","PeriodicalId":19270,"journal":{"name":"npj Materials Degradation","volume":"9 1","pages":"119"},"PeriodicalIF":7.6000,"publicationDate":"2025-01-01","publicationTypes":"Journal Article","fieldsOfStudy":null,"isOpenAccess":false,"openAccessPdf":"https://www.ncbi.nlm.nih.gov/pmc/articles/PMC12494497/pdf/","citationCount":"0","resultStr":"{\"title\":\"A mechanistic study of iron passivation and transpassive behavior in sulfate solutions using thermo-kinetic diagrams.\",\"authors\":\"Mohammad Amin Razmjoo Khollari, Kashif Mairaj Deen, Edouard Asselin\",\"doi\":\"10.1038/s41529-025-00667-7\",\"DOIUrl\":null,\"url\":null,\"abstract\":\"<p><p>Understanding the dissolution and passivation of iron in aqueous environments is essential for enhancing its corrosion resistance and expanding its applications. We present Thermo-Kinetic (TK) diagrams for iron in deaerated solutions with no added sodium sulfate (Na<sub>2</sub>SO<sub>4</sub>) and with 0.1 M Na<sub>2</sub>SO<sub>4</sub> over the pH range 1-14, constructed by integrating current density contours from potentiodynamic polarization with thermodynamic E-pH diagrams. TK diagrams indicate that in solutions with no added Na<sub>2</sub>SO<sub>4</sub>, iron passivates above pH 7, with a minimum passive current density (i<sub>p</sub>) of 5 ×10<sup>-6</sup> mA·cm<sup>-2</sup> at pH 8. The addition of 0.1 M Na<sub>2</sub>SO<sub>4</sub> delayed passivation until pH 12 and increased i<sub>p</sub> nearly tenfold. Galvanostatic (GS) polarization and EIS validated the TK diagram results. XPS after GS polarization revealed an FeOOH/Fe<sub>2</sub>O<sub>3</sub> film at pH 10, while Fe<sub>3</sub>O<sub>4</sub>/Fe<sub>2</sub>O<sub>3</sub> dominated at pH 12 and 14. These results clarify how sulfate compromises iron passivity and highlight TK diagrams as a powerful tool for mapping corrosion behavior.</p>\",\"PeriodicalId\":19270,\"journal\":{\"name\":\"npj Materials Degradation\",\"volume\":\"9 1\",\"pages\":\"119\"},\"PeriodicalIF\":7.6000,\"publicationDate\":\"2025-01-01\",\"publicationTypes\":\"Journal Article\",\"fieldsOfStudy\":null,\"isOpenAccess\":false,\"openAccessPdf\":\"https://www.ncbi.nlm.nih.gov/pmc/articles/PMC12494497/pdf/\",\"citationCount\":\"0\",\"resultStr\":null,\"platform\":\"Semanticscholar\",\"paperid\":null,\"PeriodicalName\":\"npj Materials Degradation\",\"FirstCategoryId\":\"88\",\"ListUrlMain\":\"https://doi.org/10.1038/s41529-025-00667-7\",\"RegionNum\":2,\"RegionCategory\":\"材料科学\",\"ArticlePicture\":[],\"TitleCN\":null,\"AbstractTextCN\":null,\"PMCID\":null,\"EPubDate\":\"2025/10/3 0:00:00\",\"PubModel\":\"Epub\",\"JCR\":\"Q1\",\"JCRName\":\"MATERIALS SCIENCE, MULTIDISCIPLINARY\",\"Score\":null,\"Total\":0}","platform":"Semanticscholar","paperid":null,"PeriodicalName":"npj Materials Degradation","FirstCategoryId":"88","ListUrlMain":"https://doi.org/10.1038/s41529-025-00667-7","RegionNum":2,"RegionCategory":"材料科学","ArticlePicture":[],"TitleCN":null,"AbstractTextCN":null,"PMCID":null,"EPubDate":"2025/10/3 0:00:00","PubModel":"Epub","JCR":"Q1","JCRName":"MATERIALS SCIENCE, MULTIDISCIPLINARY","Score":null,"Total":0}
引用次数: 0

摘要

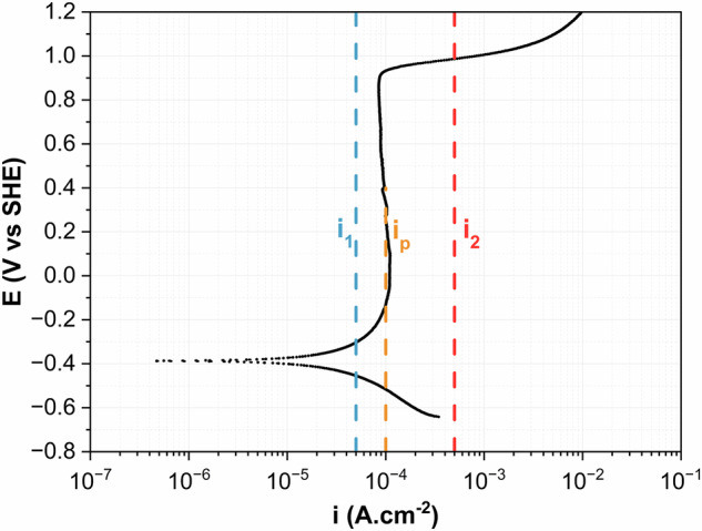
了解铁在水环境中的溶解和钝化对于提高其耐腐蚀性和扩大其应用范围至关重要。本文通过整合动电位极化电流密度曲线和热力学E-pH曲线,绘制了铁在无硫酸钠(Na2SO4)和0.1 M Na2SO4 (pH范围1-14)脱氧溶液中的热动力学(TK)图。TK图表明,在不添加Na2SO4的溶液中,铁在pH 7以上钝化,pH 8时的最小钝化电流密度(ip)为5 ×10-6 mA·cm-2。0.1 M Na2SO4的加入将钝化延迟至pH 12,并将ip提高近10倍。恒流极化和EIS验证了TK图的结果。GS极化后的XPS在pH值为10时显示FeOOH/Fe2O3薄膜,而在pH值为12和14时则以Fe3O4/Fe2O3为主。这些结果阐明了硫酸盐如何影响铁的钝化性,并突出了TK图作为绘制腐蚀行为的有力工具。
本文章由计算机程序翻译,如有差异,请以英文原文为准。

A mechanistic study of iron passivation and transpassive behavior in sulfate solutions using thermo-kinetic diagrams.

A mechanistic study of iron passivation and transpassive behavior in sulfate solutions using thermo-kinetic diagrams.

A mechanistic study of iron passivation and transpassive behavior in sulfate solutions using thermo-kinetic diagrams.

A mechanistic study of iron passivation and transpassive behavior in sulfate solutions using thermo-kinetic diagrams.

Understanding the dissolution and passivation of iron in aqueous environments is essential for enhancing its corrosion resistance and expanding its applications. We present Thermo-Kinetic (TK) diagrams for iron in deaerated solutions with no added sodium sulfate (Na2SO4) and with 0.1 M Na2SO4 over the pH range 1-14, constructed by integrating current density contours from potentiodynamic polarization with thermodynamic E-pH diagrams. TK diagrams indicate that in solutions with no added Na2SO4, iron passivates above pH 7, with a minimum passive current density (ip) of 5 ×10-6 mA·cm-2 at pH 8. The addition of 0.1 M Na2SO4 delayed passivation until pH 12 and increased ip nearly tenfold. Galvanostatic (GS) polarization and EIS validated the TK diagram results. XPS after GS polarization revealed an FeOOH/Fe2O3 film at pH 10, while Fe3O4/Fe2O3 dominated at pH 12 and 14. These results clarify how sulfate compromises iron passivity and highlight TK diagrams as a powerful tool for mapping corrosion behavior.

求助全文
通过发布文献求助,成功后即可免费获取论文全文。 去求助
来源期刊
npj Materials Degradation
npj Materials Degradation MATERIALS SCIENCE, MULTIDISCIPLINARY-
CiteScore
7.80
自引率
7.80%
发文量
86
审稿时长
6 weeks
期刊介绍: npj Materials Degradation considers basic and applied research that explores all aspects of the degradation of metallic and non-metallic materials. The journal broadly defines ‘materials degradation’ as a reduction in the ability of a material to perform its task in-service as a result of environmental exposure. The journal covers a broad range of topics including but not limited to: -Degradation of metals, glasses, minerals, polymers, ceramics, cements and composites in natural and engineered environments, as a result of various stimuli -Computational and experimental studies of degradation mechanisms and kinetics -Characterization of degradation by traditional and emerging techniques -New approaches and technologies for enhancing resistance to degradation -Inspection and monitoring techniques for materials in-service, such as sensing technologies
×
引用
GB/T 7714-2015
复制
MLA
复制
APA
复制
导出至
BibTeX EndNote RefMan NoteFirst NoteExpress
×
提示
您的信息不完整,为了账户安全,请先补充。
现在去补充
×
提示
您因"违规操作"
具体请查看互助需知
我知道了
×
提示
确定
请完成安全验证×
copy
已复制链接
快去分享给好友吧!
我知道了
右上角分享
点击右上角分享
0
联系我们:info@booksci.cn Book学术提供免费学术资源搜索服务,方便国内外学者检索中英文文献。致力于提供最便捷和优质的服务体验。 Copyright © 2023 布克学术 All rights reserved.
京ICP备2023020795号-1
ghs 京公网安备 11010802042870号
Book学术文献互助
Book学术文献互助群
群 号:604180095
Book学术官方微信