基于临床及生化指标的糖尿病肾病与非糖尿病肾病鉴别诊断预测模型研究

IF 3.2 3区 医学 Q1 MEDICINE, GENERAL & INTERNAL
International Journal of Medical Sciences Pub Date : 2025-09-27 eCollection Date: 2025-01-01 DOI:10.7150/ijms.115709
Pinning Feng, Xianlian Deng, Wenjia Gan, Yijiang Song, Yuyan Yang, Ruijie Zhang, Jin Li, Wenbin Lin
{"title":"基于临床及生化指标的糖尿病肾病与非糖尿病肾病鉴别诊断预测模型研究","authors":"Pinning Feng, Xianlian Deng, Wenjia Gan, Yijiang Song, Yuyan Yang, Ruijie Zhang, Jin Li, Wenbin Lin","doi":"10.7150/ijms.115709","DOIUrl":null,"url":null,"abstract":"<p><p><b>Background:</b> The differential diagnosis of diabetic kidney disease (DKD) from non-diabetic kidney disease (NDKD) presents significant challenges in clinical practice, as current diagnostic methods, such as renal biopsy, are invasive and lack specificity. This study aims to develop a non-invasive predictive model based on clinical and biochemical indicators to enhance diagnostic accuracy in distinguishing DKD from NDKD. The model is designed to serve as a decision-support tool for clinicians, improving renal health management in patients with type 2 diabetes mellitus (T2DM)<b>.</b> <b>Methods:</b> A retrospective examination of data was executed. Clinical characteristics and laboratory data of T2DM patients who underwent renal biopsy at The First Affiliated Hospital of Sun Yat-sen University, spanning January 2015 to September 2023, were collated and stratified into a training cohort (January 2020 to September 2023) and an internal validation cohort (January 2015 to December 2019). A distinct analysis was conducted for patients with renal transplants within the validation cohort. Partial case data from Shenzhen Third Hospital (January 2022 to July 2025) and Southern Hospital (January 2018 to December 2023) were used as external validation cohort. The training cohort data underwent both univariate and multivariate regression analyses to formulate a predictive probability model, which was subsequently subjected to validation against the validation cohort. The efficacy of the model was meticulously assessed through metrics such as the area under the ROC curve, calibration plots, DAC, and the Hosmer-Lemeshow goodness-of-fit test. <b>Results:</b> The study encompassed a total of 1091 T2DM patients, including 385 with DKD, 585 with NDKD, and 121 with a concomitant diagnosis of DKD and NDKD, denoted as MIX. Membranous nephropathy was identified as the predominant pathological entity in both NDKD and MIX cases. The probability model incorporated six variables: gender, age, diabetes duration, diabetic retinopathy status, serum uric acid, and low-density lipoprotein levels. The model demonstrated robust discrimination and calibration capabilities for patients without renal transplants but exhibited diminished applicability for those with renal transplants. <b>Conclusion:</b> The research successfully established a model capable of accurately forecasting the likelihood of NDKD in the renal biopsy findings of T2DM patients. However, the model's applicability to patients with renal transplants is constrained, suggesting that future research endeavors should focus on enhancing the model to encompass a more diverse patient demographic.</p>","PeriodicalId":14031,"journal":{"name":"International Journal of Medical Sciences","volume":"22 15","pages":"4119-4130"},"PeriodicalIF":3.2000,"publicationDate":"2025-09-27","publicationTypes":"Journal Article","fieldsOfStudy":null,"isOpenAccess":false,"openAccessPdf":"https://www.ncbi.nlm.nih.gov/pmc/articles/PMC12492356/pdf/","citationCount":"0","resultStr":"{\"title\":\"Study on Predictive Models for Differential Diagnosis of Diabetic Kidney Disease and Non-Diabetic Kidney Disease Based on Clinical and Biochemical Indicators.\",\"authors\":\"Pinning Feng, Xianlian Deng, Wenjia Gan, Yijiang Song, Yuyan Yang, Ruijie Zhang, Jin Li, Wenbin Lin\",\"doi\":\"10.7150/ijms.115709\",\"DOIUrl\":null,\"url\":null,\"abstract\":\"<p><p><b>Background:</b> The differential diagnosis of diabetic kidney disease (DKD) from non-diabetic kidney disease (NDKD) presents significant challenges in clinical practice, as current diagnostic methods, such as renal biopsy, are invasive and lack specificity. This study aims to develop a non-invasive predictive model based on clinical and biochemical indicators to enhance diagnostic accuracy in distinguishing DKD from NDKD. The model is designed to serve as a decision-support tool for clinicians, improving renal health management in patients with type 2 diabetes mellitus (T2DM)<b>.</b> <b>Methods:</b> A retrospective examination of data was executed. Clinical characteristics and laboratory data of T2DM patients who underwent renal biopsy at The First Affiliated Hospital of Sun Yat-sen University, spanning January 2015 to September 2023, were collated and stratified into a training cohort (January 2020 to September 2023) and an internal validation cohort (January 2015 to December 2019). A distinct analysis was conducted for patients with renal transplants within the validation cohort. Partial case data from Shenzhen Third Hospital (January 2022 to July 2025) and Southern Hospital (January 2018 to December 2023) were used as external validation cohort. The training cohort data underwent both univariate and multivariate regression analyses to formulate a predictive probability model, which was subsequently subjected to validation against the validation cohort. The efficacy of the model was meticulously assessed through metrics such as the area under the ROC curve, calibration plots, DAC, and the Hosmer-Lemeshow goodness-of-fit test. <b>Results:</b> The study encompassed a total of 1091 T2DM patients, including 385 with DKD, 585 with NDKD, and 121 with a concomitant diagnosis of DKD and NDKD, denoted as MIX. Membranous nephropathy was identified as the predominant pathological entity in both NDKD and MIX cases. The probability model incorporated six variables: gender, age, diabetes duration, diabetic retinopathy status, serum uric acid, and low-density lipoprotein levels. The model demonstrated robust discrimination and calibration capabilities for patients without renal transplants but exhibited diminished applicability for those with renal transplants. <b>Conclusion:</b> The research successfully established a model capable of accurately forecasting the likelihood of NDKD in the renal biopsy findings of T2DM patients. However, the model's applicability to patients with renal transplants is constrained, suggesting that future research endeavors should focus on enhancing the model to encompass a more diverse patient demographic.</p>\",\"PeriodicalId\":14031,\"journal\":{\"name\":\"International Journal of Medical Sciences\",\"volume\":\"22 15\",\"pages\":\"4119-4130\"},\"PeriodicalIF\":3.2000,\"publicationDate\":\"2025-09-27\",\"publicationTypes\":\"Journal Article\",\"fieldsOfStudy\":null,\"isOpenAccess\":false,\"openAccessPdf\":\"https://www.ncbi.nlm.nih.gov/pmc/articles/PMC12492356/pdf/\",\"citationCount\":\"0\",\"resultStr\":null,\"platform\":\"Semanticscholar\",\"paperid\":null,\"PeriodicalName\":\"International Journal of Medical Sciences\",\"FirstCategoryId\":\"3\",\"ListUrlMain\":\"https://doi.org/10.7150/ijms.115709\",\"RegionNum\":3,\"RegionCategory\":\"医学\",\"ArticlePicture\":[],\"TitleCN\":null,\"AbstractTextCN\":null,\"PMCID\":null,\"EPubDate\":\"2025/1/1 0:00:00\",\"PubModel\":\"eCollection\",\"JCR\":\"Q1\",\"JCRName\":\"MEDICINE, GENERAL & INTERNAL\",\"Score\":null,\"Total\":0}","platform":"Semanticscholar","paperid":null,"PeriodicalName":"International Journal of Medical Sciences","FirstCategoryId":"3","ListUrlMain":"https://doi.org/10.7150/ijms.115709","RegionNum":3,"RegionCategory":"医学","ArticlePicture":[],"TitleCN":null,"AbstractTextCN":null,"PMCID":null,"EPubDate":"2025/1/1 0:00:00","PubModel":"eCollection","JCR":"Q1","JCRName":"MEDICINE, GENERAL & INTERNAL","Score":null,"Total":0}
引用次数: 0

摘要

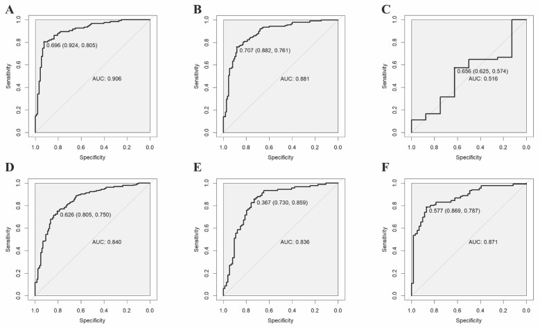
背景:糖尿病肾病(DKD)与非糖尿病肾病(NDKD)的鉴别诊断在临床实践中面临着重大挑战,因为目前的诊断方法,如肾活检,是侵入性的,缺乏特异性。本研究旨在建立一种基于临床和生化指标的无创预测模型,以提高DKD与NDKD的诊断准确性。该模型旨在为临床医生提供决策支持工具,改善2型糖尿病(T2DM)患者的肾脏健康管理。方法:对资料进行回顾性分析。对2015年1月至2023年9月中山大学第一附属医院行肾活检的T2DM患者的临床特征和实验室数据进行整理,并将其分为培训队列(2020年1月至2023年9月)和内部验证队列(2015年1月至2019年12月)。在验证队列中,对肾移植患者进行了独特的分析。采用深圳市第三医院(2022年1月至2025年7月)和南方医院(2018年1月至2023年12月)的部分病例数据作为外部验证队列。对训练队列数据进行单变量和多变量回归分析,建立预测概率模型,并对验证队列进行验证。通过ROC曲线下面积、校准图、DAC和Hosmer-Lemeshow拟合优度检验等指标仔细评估模型的有效性。结果:本研究共纳入T2DM患者1091例,其中合并DKD 385例,合并NDKD 585例,合并DKD和NDKD 121例,用MIX表示。膜性肾病被确定为NDKD和MIX病例的主要病理实体。概率模型包含6个变量:性别、年龄、糖尿病病程、糖尿病视网膜病变状态、血清尿酸和低密度脂蛋白水平。该模型对没有肾移植的患者表现出强大的识别和校准能力,但对肾移植患者的适用性有所下降。结论:本研究成功建立了一个能够准确预测T2DM患者肾活检结果中NDKD可能性的模型。然而,该模型对肾移植患者的适用性受到限制,这表明未来的研究应侧重于增强该模型,以涵盖更多样化的患者人口统计。
本文章由计算机程序翻译,如有差异,请以英文原文为准。

Study on Predictive Models for Differential Diagnosis of Diabetic Kidney Disease and Non-Diabetic Kidney Disease Based on Clinical and Biochemical Indicators.

Study on Predictive Models for Differential Diagnosis of Diabetic Kidney Disease and Non-Diabetic Kidney Disease Based on Clinical and Biochemical Indicators.

Study on Predictive Models for Differential Diagnosis of Diabetic Kidney Disease and Non-Diabetic Kidney Disease Based on Clinical and Biochemical Indicators.

Study on Predictive Models for Differential Diagnosis of Diabetic Kidney Disease and Non-Diabetic Kidney Disease Based on Clinical and Biochemical Indicators.

Background: The differential diagnosis of diabetic kidney disease (DKD) from non-diabetic kidney disease (NDKD) presents significant challenges in clinical practice, as current diagnostic methods, such as renal biopsy, are invasive and lack specificity. This study aims to develop a non-invasive predictive model based on clinical and biochemical indicators to enhance diagnostic accuracy in distinguishing DKD from NDKD. The model is designed to serve as a decision-support tool for clinicians, improving renal health management in patients with type 2 diabetes mellitus (T2DM). Methods: A retrospective examination of data was executed. Clinical characteristics and laboratory data of T2DM patients who underwent renal biopsy at The First Affiliated Hospital of Sun Yat-sen University, spanning January 2015 to September 2023, were collated and stratified into a training cohort (January 2020 to September 2023) and an internal validation cohort (January 2015 to December 2019). A distinct analysis was conducted for patients with renal transplants within the validation cohort. Partial case data from Shenzhen Third Hospital (January 2022 to July 2025) and Southern Hospital (January 2018 to December 2023) were used as external validation cohort. The training cohort data underwent both univariate and multivariate regression analyses to formulate a predictive probability model, which was subsequently subjected to validation against the validation cohort. The efficacy of the model was meticulously assessed through metrics such as the area under the ROC curve, calibration plots, DAC, and the Hosmer-Lemeshow goodness-of-fit test. Results: The study encompassed a total of 1091 T2DM patients, including 385 with DKD, 585 with NDKD, and 121 with a concomitant diagnosis of DKD and NDKD, denoted as MIX. Membranous nephropathy was identified as the predominant pathological entity in both NDKD and MIX cases. The probability model incorporated six variables: gender, age, diabetes duration, diabetic retinopathy status, serum uric acid, and low-density lipoprotein levels. The model demonstrated robust discrimination and calibration capabilities for patients without renal transplants but exhibited diminished applicability for those with renal transplants. Conclusion: The research successfully established a model capable of accurately forecasting the likelihood of NDKD in the renal biopsy findings of T2DM patients. However, the model's applicability to patients with renal transplants is constrained, suggesting that future research endeavors should focus on enhancing the model to encompass a more diverse patient demographic.

求助全文
通过发布文献求助,成功后即可免费获取论文全文。 去求助
来源期刊
International Journal of Medical Sciences
International Journal of Medical Sciences MEDICINE, GENERAL & INTERNAL-
CiteScore
7.20
自引率
0.00%
发文量
185
审稿时长
2.7 months
期刊介绍: Original research papers, reviews, and short research communications in any medical related area can be submitted to the Journal on the understanding that the work has not been published previously in whole or part and is not under consideration for publication elsewhere. Manuscripts in basic science and clinical medicine are both considered. There is no restriction on the length of research papers and reviews, although authors are encouraged to be concise. Short research communication is limited to be under 2500 words.
×
引用
GB/T 7714-2015
复制
MLA
复制
APA
复制
导出至
BibTeX EndNote RefMan NoteFirst NoteExpress
×
提示
您的信息不完整,为了账户安全,请先补充。
现在去补充
×
提示
您因"违规操作"
具体请查看互助需知
我知道了
×
提示
确定
请完成安全验证×
copy
已复制链接
快去分享给好友吧!
我知道了
右上角分享
点击右上角分享
0
联系我们:info@booksci.cn Book学术提供免费学术资源搜索服务,方便国内外学者检索中英文文献。致力于提供最便捷和优质的服务体验。 Copyright © 2023 布克学术 All rights reserved.
京ICP备2023020795号-1
ghs 京公网安备 11010802042870号
Book学术文献互助
Book学术文献互助群
群 号:604180095
Book学术官方微信