老年ICU脓毒症患者脓毒症相关脑病动态图的开发和验证:一项回顾性队列研究。

IF 2 4区 医学 Q2 MEDICINE, GENERAL & INTERNAL
International Journal of General Medicine Pub Date : 2025-09-30 eCollection Date: 2025-01-01 DOI:10.2147/IJGM.S527691
Simeng Zhu, Lianmin Ye, Jie Chen
{"title":"老年ICU脓毒症患者脓毒症相关脑病动态图的开发和验证:一项回顾性队列研究。","authors":"Simeng Zhu, Lianmin Ye, Jie Chen","doi":"10.2147/IJGM.S527691","DOIUrl":null,"url":null,"abstract":"<p><strong>Introduction: </strong>The study aimed to develop and validate a nomogram for predicting sepsis-associated encephalopathy (SAE) in elderly patients with sepsis admitted to the intensive care unit (ICU).</p><p><strong>Methods: </strong>We conducted a retrospective study at the First Affiliated Hospital of Wenzhou Medical University. The least absolute shrinkage and selection operator (LASSO) regression was employed to identify characteristic predictors for SAE, and a nomogram was subsequently developed. The nomogram's performance was evaluated using receiver operating characteristic (ROC) curves, the concordance index (C-index), calibration curves, the Brier score, and decision curve analysis (DCA) to assess discrimination, calibration, and clinical utility. Internal validation was performed using the bootstrap resampling method.</p><p><strong>Results: </strong>A total of 231 elderly sepsis patients were included in the study, among whom 66 were diagnosed with SAE. The study identified invasive mechanical ventilation (IMV), platelet count, white blood cell (WBC) count, glucose levels, lactate levels, and calcium levels as significant risk factors for SAE. The nomogram demonstrated an area under the curve (AUC) of 0.81, outperforming other predictive factors. The corrected C-index, determined through 500 bootstrap validations, was 0.842. Additionally, the calibration curve indicated strong agreement between predicted outcomes and actual observations. The Brier score of the prediction model was 0.139. Finally, DCA revealed that the nomogram had high clinical applicability.</p><p><strong>Conclusion: </strong>The prediction nomogram and online website demonstrated strong predictive performance for the occurrence of SAE in elderly patients with sepsis, which made the evaluation process of SAE more convenient and efficient.</p>","PeriodicalId":14131,"journal":{"name":"International Journal of General Medicine","volume":"18 ","pages":"5977-5987"},"PeriodicalIF":2.0000,"publicationDate":"2025-09-30","publicationTypes":"Journal Article","fieldsOfStudy":null,"isOpenAccess":false,"openAccessPdf":"https://www.ncbi.nlm.nih.gov/pmc/articles/PMC12495937/pdf/","citationCount":"0","resultStr":"{\"title\":\"Development and Validation of a Dynamic Nomogram for Sepsis-Associated Encephalopathy in Elderly ICU Patients with Sepsis: A Retrospective Cohort Study.\",\"authors\":\"Simeng Zhu, Lianmin Ye, Jie Chen\",\"doi\":\"10.2147/IJGM.S527691\",\"DOIUrl\":null,\"url\":null,\"abstract\":\"<p><strong>Introduction: </strong>The study aimed to develop and validate a nomogram for predicting sepsis-associated encephalopathy (SAE) in elderly patients with sepsis admitted to the intensive care unit (ICU).</p><p><strong>Methods: </strong>We conducted a retrospective study at the First Affiliated Hospital of Wenzhou Medical University. The least absolute shrinkage and selection operator (LASSO) regression was employed to identify characteristic predictors for SAE, and a nomogram was subsequently developed. The nomogram's performance was evaluated using receiver operating characteristic (ROC) curves, the concordance index (C-index), calibration curves, the Brier score, and decision curve analysis (DCA) to assess discrimination, calibration, and clinical utility. Internal validation was performed using the bootstrap resampling method.</p><p><strong>Results: </strong>A total of 231 elderly sepsis patients were included in the study, among whom 66 were diagnosed with SAE. The study identified invasive mechanical ventilation (IMV), platelet count, white blood cell (WBC) count, glucose levels, lactate levels, and calcium levels as significant risk factors for SAE. The nomogram demonstrated an area under the curve (AUC) of 0.81, outperforming other predictive factors. The corrected C-index, determined through 500 bootstrap validations, was 0.842. Additionally, the calibration curve indicated strong agreement between predicted outcomes and actual observations. The Brier score of the prediction model was 0.139. Finally, DCA revealed that the nomogram had high clinical applicability.</p><p><strong>Conclusion: </strong>The prediction nomogram and online website demonstrated strong predictive performance for the occurrence of SAE in elderly patients with sepsis, which made the evaluation process of SAE more convenient and efficient.</p>\",\"PeriodicalId\":14131,\"journal\":{\"name\":\"International Journal of General Medicine\",\"volume\":\"18 \",\"pages\":\"5977-5987\"},\"PeriodicalIF\":2.0000,\"publicationDate\":\"2025-09-30\",\"publicationTypes\":\"Journal Article\",\"fieldsOfStudy\":null,\"isOpenAccess\":false,\"openAccessPdf\":\"https://www.ncbi.nlm.nih.gov/pmc/articles/PMC12495937/pdf/\",\"citationCount\":\"0\",\"resultStr\":null,\"platform\":\"Semanticscholar\",\"paperid\":null,\"PeriodicalName\":\"International Journal of General Medicine\",\"FirstCategoryId\":\"3\",\"ListUrlMain\":\"https://doi.org/10.2147/IJGM.S527691\",\"RegionNum\":4,\"RegionCategory\":\"医学\",\"ArticlePicture\":[],\"TitleCN\":null,\"AbstractTextCN\":null,\"PMCID\":null,\"EPubDate\":\"2025/1/1 0:00:00\",\"PubModel\":\"eCollection\",\"JCR\":\"Q2\",\"JCRName\":\"MEDICINE, GENERAL & INTERNAL\",\"Score\":null,\"Total\":0}","platform":"Semanticscholar","paperid":null,"PeriodicalName":"International Journal of General Medicine","FirstCategoryId":"3","ListUrlMain":"https://doi.org/10.2147/IJGM.S527691","RegionNum":4,"RegionCategory":"医学","ArticlePicture":[],"TitleCN":null,"AbstractTextCN":null,"PMCID":null,"EPubDate":"2025/1/1 0:00:00","PubModel":"eCollection","JCR":"Q2","JCRName":"MEDICINE, GENERAL & INTERNAL","Score":null,"Total":0}
引用次数: 0

摘要

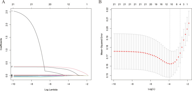
本研究旨在开发并验证一种预测重症监护病房(ICU)老年脓毒症患者脓毒症相关脑病(SAE)的nomogram。方法:在温州医科大学第一附属医院进行回顾性研究。采用最小绝对收缩和选择算子(LASSO)回归来确定SAE的特征预测因子,并随后开发了nomogram。采用受试者工作特征(ROC)曲线、一致性指数(C-index)、校准曲线、Brier评分和决策曲线分析(DCA)来评估鉴别、校准和临床应用。采用自举重采样方法进行内部验证。结果:研究共纳入231例老年脓毒症患者,其中66例诊断为SAE。该研究确定有创机械通气(IMV)、血小板计数、白细胞计数、葡萄糖水平、乳酸水平和钙水平是SAE的重要危险因素。nomogram曲线下面积(AUC)为0.81,优于其他预测因子。通过500次bootstrap验证确定的修正C-index为0.842。此外,校准曲线表明预测结果与实际观测结果非常吻合。预测模型的Brier评分为0.139。最后,DCA分析显示该图具有较高的临床适用性。结论:预测图和在线网站对老年脓毒症患者SAE的发生具有较强的预测能力,使SAE的评估过程更加方便、高效。
本文章由计算机程序翻译,如有差异,请以英文原文为准。

Development and Validation of a Dynamic Nomogram for Sepsis-Associated Encephalopathy in Elderly ICU Patients with Sepsis: A Retrospective Cohort Study.

Development and Validation of a Dynamic Nomogram for Sepsis-Associated Encephalopathy in Elderly ICU Patients with Sepsis: A Retrospective Cohort Study.

Development and Validation of a Dynamic Nomogram for Sepsis-Associated Encephalopathy in Elderly ICU Patients with Sepsis: A Retrospective Cohort Study.

Development and Validation of a Dynamic Nomogram for Sepsis-Associated Encephalopathy in Elderly ICU Patients with Sepsis: A Retrospective Cohort Study.

Introduction: The study aimed to develop and validate a nomogram for predicting sepsis-associated encephalopathy (SAE) in elderly patients with sepsis admitted to the intensive care unit (ICU).

Methods: We conducted a retrospective study at the First Affiliated Hospital of Wenzhou Medical University. The least absolute shrinkage and selection operator (LASSO) regression was employed to identify characteristic predictors for SAE, and a nomogram was subsequently developed. The nomogram's performance was evaluated using receiver operating characteristic (ROC) curves, the concordance index (C-index), calibration curves, the Brier score, and decision curve analysis (DCA) to assess discrimination, calibration, and clinical utility. Internal validation was performed using the bootstrap resampling method.

Results: A total of 231 elderly sepsis patients were included in the study, among whom 66 were diagnosed with SAE. The study identified invasive mechanical ventilation (IMV), platelet count, white blood cell (WBC) count, glucose levels, lactate levels, and calcium levels as significant risk factors for SAE. The nomogram demonstrated an area under the curve (AUC) of 0.81, outperforming other predictive factors. The corrected C-index, determined through 500 bootstrap validations, was 0.842. Additionally, the calibration curve indicated strong agreement between predicted outcomes and actual observations. The Brier score of the prediction model was 0.139. Finally, DCA revealed that the nomogram had high clinical applicability.

Conclusion: The prediction nomogram and online website demonstrated strong predictive performance for the occurrence of SAE in elderly patients with sepsis, which made the evaluation process of SAE more convenient and efficient.

求助全文
通过发布文献求助,成功后即可免费获取论文全文。 去求助
来源期刊
International Journal of General Medicine
International Journal of General Medicine Medicine-General Medicine
自引率
0.00%
发文量
1113
审稿时长
16 weeks
期刊介绍: The International Journal of General Medicine is an international, peer-reviewed, open access journal that focuses on general and internal medicine, pathogenesis, epidemiology, diagnosis, monitoring and treatment protocols. The journal is characterized by the rapid reporting of reviews, original research and clinical studies across all disease areas. A key focus of the journal is the elucidation of disease processes and management protocols resulting in improved outcomes for the patient. Patient perspectives such as satisfaction, quality of life, health literacy and communication and their role in developing new healthcare programs and optimizing clinical outcomes are major areas of interest for the journal. As of 1st April 2019, the International Journal of General Medicine will no longer consider meta-analyses for publication.
×
引用
GB/T 7714-2015
复制
MLA
复制
APA
复制
导出至
BibTeX EndNote RefMan NoteFirst NoteExpress
×
提示
您的信息不完整,为了账户安全,请先补充。
现在去补充
×
提示
您因"违规操作"
具体请查看互助需知
我知道了
×
提示
确定
请完成安全验证×
copy
已复制链接
快去分享给好友吧!
我知道了
右上角分享
点击右上角分享
0
联系我们:info@booksci.cn Book学术提供免费学术资源搜索服务,方便国内外学者检索中英文文献。致力于提供最便捷和优质的服务体验。 Copyright © 2023 布克学术 All rights reserved.
京ICP备2023020795号-1
ghs 京公网安备 11010802042870号
Book学术文献互助
Book学术文献互助群
群 号:604180095
Book学术官方微信